| Συνδεθείτε στην Υπηρεσία Νομοσκόπιο | | | | | Νέοι χρήστες | | Εάν είστε νέος χρήστης, θα πρέπει να δημιουργήσετε ένα ΔΩΡΕΑΝ λογαριασμό προκειμένου να φύγει το παράθυρο αυτό και να αποκτήσετε πλήρη πρόσβαση στην υπηρεσία Νομοσκόπιο. | | Δημιουργία νέου λογαριασμού | | |
1. Με την επιφύλαξη των ειδικότερα οριζόμενων στον Κώδικα ΕΣΦΑ ή σε Συμφωνία Διασυνδεδεμένου Συστήματος, έως την πέμπτη (5η) Εργάσιμη Ημέρα του Μήνα Μ+1, ο Διαχειριστής λαμβάνει από τον ανάντη διαχειριστή, σε ηλεκτρονική και επεξεργάσιμη μορφή, για κάθε Ημέρα d του Μήνα (Μ):
(i) τη συνολική Ποσότητα Φυσικού Αερίου η οποία μετρήθηκε στο ΣΕΔΔ, Qd,ΣΕΔΔ
(ii) τους Χρήστες Μεταφοράς οι οποίοι ενεργοποιήθηκαν στο ΣΕΔΔ, σύμφωνα με τις Συμβάσεις Μεταφοράς τους, και
(iii) για έκαστο των Χρηστών Μεταφοράς, οι οποίοι ενεργοποιήθηκαν στο ΣΕΔΔ, τους Χρήστες Δικτύου Διανομής τους οποίους εξυπηρέτησε.
2. Ως Ημερήσια Ποσότητα Κατανομής Χρήστη Διανομής i κατά την Ημέρα d, HKXdI , ορίζεται η Ποσότητα που κατανέμεται στο Χρήστη στο σύνολο των Σημείων Παράδοσης του Δικτύου Διανομής που εξυπηρετεί κατά τη διάρκεια της Ημέρας d, σύμφωνα με τις παραγράφους 4-8 κατωτέρω.
3. Ως Ημερήσια Φαινόμενη Ποσότητα Φυσικού Αερίου Qd,ΗΦΠ νοείται η οριζόμενη στο άρθρο 46. Η ποσότητα αυτή επιμερίζεται στους Χρήστες Διανομής αναλογικά προς την Ποσότητα Φυσικού Αερίου των Τελικών Πελατών που εξυπηρέτησαν την Ημέρα d σύμφωνα με τα ειδικότερα οριζόμενα στις παραγράφους 4-8 και το άρθρο 46 κατωτέρω.
4. Ορίζονται τα ακόλουθα μεγέθη ως εξής:
QJ,D : η ποσότητα φυσικού αερίου (σε kWh) που μετράται στο Ωρομετρούμενο Σημείο Παράδοσης j την Ημέρα d.
HΔXJ,dI: η ποσότητα Φυσικού Αερίου (σε kWh/Ημέρα) που δηλώνει ο Χρήστης Διανομής i στο Διαχειριστή ότι επιθυμεί να παραδοθεί στο Σημείο Παράδοσης j την Ημέρα d για την τροφοδοσία του Τελικού Πελάτη του.
η: το πλήθος των Χρηστών Διανομής που δραστηριοποιούνται στο Σημείο Παράδοσης j
m: το πλήθος των Ωρομετρούμενων Σημείων Παράδοσης
ρ: το πλήθος των Μη Ωρομετρούμενων Σημείων Παράδοσης
QAΠ: η ποσότητα αερίου που εγχέει ο Διαχειριστής στο Δίκτυο ως Αέριο Πλήρωσης κατά τα οριζόμενα στο άρθρο 45.
5. Στην περίπτωση που Σημείο Εισόδου τροφοδοτεί Δίκτυο Διανομής αποκλειστικά με Ωρομετρούμενους Τελικούς Πελάτες, η Ημερήσια Κατανομή του Χρήστη Διανομής i σε κάθε Σημείο Παράδοσης j για κάθε Ημέρα d, HΔXJ,dI, προκύπτει από τον εξής μαθηματικό τύπο:

Η συνολική ημερήσια κατανομή του Χρήστη i την Ημέρα d είναι HKXdI =Σ(k,q) HKXK,dI ,
όπου q το σύνολο k των Ωρομετρούμενων Σημείων Παράδοσης που εξυπηρετεί ο Χρήστης i.
6. Στην περίπτωση που στο Δίκτυο Διανομής βρίσκονται συνδεδεμένοι τόσο Ωρομετρούμενοι όσο και Μη Ωρομετρούμενοι Τελικοί Πελάτες:
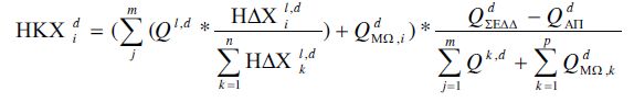
Α. Με την επιφύλαξη της παραγράφου 7, έως την έβδομη Εργάσιμη Ημέρα του Μήνα Μ+1, ο Διαχειριστής προσδιορίζει την πραγματική καμπύλη κατανάλωσης Φυσικού Αερίου από Μη Ωρομετρούμενους Τελικούς Πελάτες, ιδίως βάσει των πραγματικών κλιματολογικών συνθηκών που σημειώθηκαν την Ημέρα d και της συνολικής Ποσότητας Φυσικού Αερίου που καταναλώθηκε στο Δίκτυο από Μη Ωρομετρούμενους Τελικούς Πελάτες. Με βάση την καμπύλη αυτή και τη μεθοδολογία του άρθρου 21, ο Διαχειριστής προσδιορίζει για κάθε Χρήστη Διανομής i που εξυπηρετεί Μη Ωρομετρούμενους Τελικούς Πελάτες την ποσότητα QdΜΩ,I που αντιστοιχεί στο σύνολο των Μη Ωρομετρούμενων Τελικών Πελατών που αυτός εξυπηρετεί.
Β. Με την επιφύλαξη της παραγράφου 7, η ημερήσια κατανομή HKXdI σε κάθε Χρήστη Διανομής i για την Ημέρα d του μήνα Μ δίνεται από τον παρακάτω μαθηματικό τύπο:

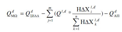
7. Έως την έγκριση της μεθοδολογίας καθορισμού των τυπικών χαρακτηριστικών κατανάλωσης των κατηγοριών Τελικών Πελατών από τη Ρυθμιστική Αρχή Ενέργειας, σύμφωνα με το άρθρο 21 του παρόντος Κώδικα, τη διαφορά μεταξύ της μέτρησης στα Σημεία Εισόδου του Δικτύου Διανομής και του αθροίσματος του συνόλου των μετρήσεων των Ωρομετρούμενων Τελικών Πελατών και της ποσότητας του Φυσικού Αερίου που χρησιμοποιεί ο Διαχειριστής ως Αέριο Πλήρωσης, ο Διαχειριστής την κατανέμει στους Χρήστες Διανομής που εξυπηρετούν Μη Ωρομετρούμενους Τελικούς Πελάτες, ήτοι:

Η ημερήσια κατανομή ποσοτήτων στο Χρήστη i προκύπτει από τον ακόλουθο τύπο:

όπου: q το σύνολο των Ωρομετρούμενων Σημείων Παράδοσης που εξυπηρετεί ο Χρήστης i,
n το πλήθος των Χρηστών Διανομής που δραστηριοποιούνται στο Σημείο Παράδοσης j, και
r το πλήθος των Χρηστών Διανομής που εξυπηρετούν Μη Ωρομετρούμενα Σημεία Παράδοσης.
8. Σε περίπτωση που το Σημείο Παράδοσης ενός Ωρομετρούμενου Τελικού Πελάτη τροφοδοτείται μόνο από ένα Χρήστη Διανομής, ο όρος
στις παραγράφους 5-7 ανωτέρω απαλείφεται (ισούται με τη μονάδα).
9. Χρήστες που δραστηριοποιούνται στο ίδιο Ωρομετρούμενο Σημείο Παράδοσης δύνανται να συνάψουν συμφωνία για αντιστοίχιση της ποσότητας με τρόπο διαφορετικό από την αναλογία των Ημερήσιων Δηλώσεών τους. Στην περίπτωση αυτή, οι εν λόγω Χρήστες κοινοποιούν τη συμφωνία τους στον Διαχειριστή μέχρι την έβδομη Εργάσιμη Ημέρα του Μήνα (Μ + 1). Ο Διαχειριστής αποδέχεται την προτεινόμενη από τους Χρήστες Δικτύου Διανομής αντιστοίχιση ποσοτήτων εφόσον:
Α) Αντιστοιχίζεται το σύνολο της ποσότητας Φυσικού Αερίου η οποία μετρήθηκε στις εγκαταστάσεις των Ωρομετρούμενων Τελικών Πελατών τη συγκεκριμένη Ημέρα.
Β) Η προτεινόμενη αντιστοίχιση ποσοτήτων δεν αποβαίνει εις βάρος ή δεν αποτελεί διακριτική μεταχείριση έναντι των υπολοίπων Χρηστών και δεν επηρεάζει αρνητικά τη λειτουργία του Δικτύου Διανομής.
10. Εάν για μια Ημέρα το άθροισμα
σε ένα Σημείο Παράδοσης j του Δικτύου Διανομής είναι ίσο k=1 με μηδέν και η Ποσότητα Φυσικού Αερίου Qj,d που συνολικά καταμετράται στο Σημείο αυτό είναι διάφορη του μηδενός, η ποσότητα Qj,d κατανέμεται στους Χρήστες Διανομής αναλογικά, βάσει της Δεσμευμένης Δυναμικότητας Σημείου Παράδοσης στο συγκεκριμένο σημείο.
11. Έως το πέρας της δέκατης Εργάσιμης Ημέρας του Μήνα Μ+1, ο Διαχειριστής Δικτύου Διανομής αποστέλλει στον Διαχειριστή του Εθνικού Συστήματος Φυσικού Αερίου, την Ποσότητα Φυσικού Αερίου η οποία αντιστοιχεί σε έκαστο των Χρηστών Μεταφοράς που δραστηριοποιήθηκε στο ΣΕΔΔ, για κάθε Ημέρα d του Μήνα Μ βάσει των ποσοτήτων αερίου που αντιστοιχήθηκαν στους Χρήστες Διανομής, που έκαστος των Χρηστών Μεταφοράς εξυπηρετεί, σύμφωνα με τα οριζόμενα στις ως άνω παραγράφους 6 έως 10, πλέον τυχόν Αερίου Πλήρωσης έχει εγχυθεί στο Δίκτυο από τον εν λόγω Χρήστη Διανομής την Ημέρα d κατά τα οριζόμενα στο άρθρο 45. Σε περίπτωση μη αποστολής από τον Διαχειριστή της Ποσότητας Φυσικού Αερίου η οποία αντιστοιχεί σε Χρήστη Μεταφοράς, κατά τα ανωτέρω, αυτή θεωρείται μηδενική. Σε κάθε περίπτωση και σε κάθε Σημείο Εξόδου Δικτύου Διανομής, το άθροισμα των Ποσοτήτων Φυσικού Αερίου που αντιστοιχήθηκαν στους Χρήστες Μεταφοράς, που δραστηριοποιούνται στο ΣΕΔΔ, θα πρέπει να ισούται με την Ποσότητα Φυσικού Αερίου η οποία μετρήθηκε στο ΣΕΔΔ (Qd,ΣΕΔΔ). Εφόσον διαπιστωθεί ότι το άθροισμα των ποσοτήτων που αντιστοιχήθηκαν στους Χρήστες Μεταφοράς δεν ισούται με την μέτρηση στο ΣΕΔΔ, ο Διαχειριστής, κατόπιν σχετικής ενημέρωσης ανάντη διαχειριστή, ενημερώνει τον ή τους εμπλεκόμενους Διαχειριστές Δικτύου Διανομής οι οποίοι οφείλουν να αποστείλουν άμεσα και το αργότερο μέχρι το πέρας της ενδέκατης (11ης) εργάσιμης Ημέρας, τις Ποσότητες Φυσικού Αερίου ανά Χρήστη Μεταφοράς σύμφωνα με τις παραγράφους 6-8 ανωτέρω ώστε αυτές να αθροίζουν στη μέτρηση του ΣΕΔΔ. Η επικοινωνία του Διαχειριστή με τους διαχειριστές των Διασυνδεδεμένων Δικτύων γίνεται μέσω τηλεομοιοτύπου ή ηλεκτρονικής επιστολής.
12. Σε περίπτωση διασυνδεδεμένων Δικτύων Διανομής, η κατανομή ποσοτήτων Χρηστών Διανομής του ανάντη Δικτύου Διανομής στα Σημεία Εισόδου των κατάντη Δικτύων Διανομής, γίνεται κατ' αναλογία των ποσοτήτων που προκύπτουν από τις κατανομές στους Χρήστες Διανομής του κατάντη Δικτύου Διανομής.