pz

Παράρτημα Z: Ενδεικτική αναλυτική μέθοδος για τον υπολογισμό του οριακού φορτίου ορθογωνικής επιφανειακής θεμελιώσεως


Συνδεθείτε στην Υπηρεσία Νομοσκόπιο
Είσοδος στην υπηρεσία Νομοσκόπιο.
   
Χρήστης
Κωδικός
  Υπενθύμιση στοιχείων λογαριασμού
   
 
Νέοι χρήστες
Εάν είστε νέος χρήστης, θα πρέπει να δημιουργήσετε ένα ΔΩΡΕΑΝ λογαριασμό προκειμένου να φύγει το παράθυρο αυτό και να αποκτήσετε πλήρη πρόσβαση στην υπηρεσία Νομοσκόπιο.
Δημιουργία νέου λογαριασμού

 

 

Ζ.1. Γενικά

 

1. Για τον υπολογισμό του κατακόρυφου οριακού φορτίου (φέρουσας ικανότητας) RNd, οριζόντιας και ορθογωνικής επιφάνειας έδρασης, επιτρέπεται να χρησιμοποιούνται οι προσεγγιστικές σχέσεις που δίνονται παρακάτω. Οι σχέσεις αυτές έχουν προκύψει από τον συνδυασμό θεωρίας (πλαστικότητας) και πειραματικών αποτελεσμάτων, ισχύουν δε για ομοιογενές έδαφος. Οι ακόλουθες παράμετροι επηρεάζουν εν γένει την φέρουσα ικανότητα και η επίδραση τους πρέπει να λαμβάνεται υπόψη:

 

η γωνία τριβής φ' και η συνοχή c', ή η αστράγγιστη διατμητική αντοχή Su (τιμές σχεδιασμού),

 

η εκκεντρότητα e = Μ/Ν και η τέμνουσα δύναμη V. Όπου Ν, Μ και V είναι αντίστοιχα η ορθή δύναμη, η ροπή και η τέμνουσα δύναμη που μεταφέρονται στο έδαφος μέσω της έδρασης (οι Μ και V ασκούνται εν γένει σε κάθε μία από τις δύο διευθύνσεις),

 

το σχήμα, το βάθος, και η κλίση της θεμελίωσης,

 

οι πιέσεις των υπογείων υδάτων και, σε περίπτωση ροής, οι υδραυλικές κλίσεις και

 

η μεταβολή της αντοχής από σημείο σε σημείο, και ειδικώς η στρωματογένεια του εδάφους.

 

2. Οι παράμετροι που υπεισέρχονται στον υπολογισμό που περιγράφεται εδώ είναι οι εξής:

 

δ η γωνία συνάφειας - τριβής στη βάση του θεμελίου (τιμή σχεδιασμού σύμφωνα με την παράγραφο 5.2.3.2.β. (2)),

q η ολική πίεση επιφορτίσεως στη στάθμη της βάσης του θεμελίου,

q' η ενεργός πίεση επιφορτίσεως στη στάθμη της βάσης του θεμελίου,

γ το ολικό ειδικό βάρος του εδάφους,

γ' το υπό-άνωση (ενεργό) ειδικό βάρος του εδάφους κάτω από τη στάθμη της θεμελίωσης γ' = γ-γw. Τούτο μειώνεται σε γ' = γ - γw(1 + j) στην περίπτωση ροής ύδατος με υδραυλική κλίση προς τα άνω ίση με j.

B' = B - 2eB το ενεργό πλάτος του θεμελίου, όπου eB η εκκεντρότητα στην διεύθυνση του πλάτους Β,

L' = L - 2eL το ενεργό μήκος του θεμελίου, όπου eL η εκκεντρότητα παράλληλα προς την διεύθυνση του μήκους L ≥ Β,

A' = B' L' η ενεργός επιφάνεια του θεμελίου, η οποία ορίζεται ως η βάση της θεμελίωσης ή, στην περίπτωση έκκεντρης φόρτισης, η μειωμένη επιφάνεια του θεμελίου της οποίας το κέντρο βάρους είναι το σημείο στο οποίο εφαρμόζεται η συνισταμένη των φορτίων και

κ, ι οι τιμές των αδιάστατων συντελεστών σχήματος του θεμελίου και της κλίσης του φορτίου αντιστοίχως. Οι δείκτες c, q και γ υποδεικνύουν τις επιρροές λόγω συνοχής, επιφόρτισης και βάρους του εδάφους. Οι συντελεστές αυτοί ισχύουν μόνο όταν οι διατμητικές παράμετροι είναι ανεξάρτητες της διεύθυνσης.

 

Ζ.2. Φόρτιση αργιλωδών εδαφών υπό αστράγγιστες συνθήκες

 

1. Το οριακό αξονικό φορτίο RNd (φέρουσα ικανότητα) υπό την ταυτόχρονη παρουσία V και Μ υπολογίζεται από τη σχέση:

 

Eqn429 (Z.1)

με τις ακόλουθες τιμές των αδιάστατων συντελεστών για :

 

το σχήμα του θεμελίου :

 

Eqn430 (Z.2)

 

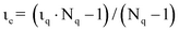
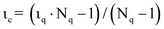
την κλίση του φορτίου, η οποία προκαλείται από την τέμνουσα V :

 

Eqn431 (Z.3)

 

Για σύγχρονη δράση τεμνουσών στις δύο διευθύνσεις εφαρμόζεται η γραμμική παρεμβολή, που ορίζεται στο τέλος της επομένης παραγράφου, σε τιμές ι)ε που λαμβάνονται από την σχέση (Ζ.3) σε κάθε μία από τις δύο διευθύνσεις.

 

Ζ.3. Φόρτιση χωρίς ανάπτυξη υδατικών υπερπιέσεων πόρων στο έδαφος

 

1. Το οριακό αξονικό φορτίο RNd (φέρουσα ικανότητα) υπό την ταυτόχρονη παρουσία V και Μ υπολογίζεται από τη σχέση :

 

Eqn432 (Z.4)

 

με τις ακόλουθες τιμές των αδιάστατων συντελεστών για :

 

την εδαφική αντίσταση ομοιογενούς εδάφους :

 

Eqn433 (Z.5.α)

 

Eqn434 (Z.5.β)

 

Eqn435 (Z.5.γ)

με την προϋπόθεση δ ≥ φ'/2 (τραχεία έδραση).

 

το σχήμα του θεμελίου :

 

Eqn436 (Z.6.α)

 

Eqn437 (Z.6.β)

 

Eqn438 (Z.6.γ)

 

την κλίση του φορτίου, η οποία προκαλείται από την τέμνουσα VL παράλληλη προς το L :

 

Eqn439 (Z.7.α)

 

Eqn440 (Z.7.β)

 

Eqn441 (Z.7.γ)

 

 

ή την κλίση του φορτίου, η οποία προκαλείται από την τέμνουσα VΒ παράλληλη προς το Β :

 

Eqn442 (Z.8.α)

 

Eqn443 (Z.8.β)

 

Eqn444 (Z.8.γ)

 

για σύγχρονη δράση τεμνουσών VL παράλληλα προς L, και VΒ παράλληλα προς Β, οι τιμές των ι θα υπολογίζονται με γραμμική παρεμβολή ανάμεσα στις τιμές ιΒ και ιL, όπως προκύπτουν από τις σχέσεις (Ζ-8) και (Ζ-7), ως εξής :

 

Eqn445 (Z.9)

 

όπου:

 

Eqn446 (Z.10)

 

Ζ.4. Περιορισμοί

 

1. Στις σχέσεις που αναφέρονται παραπάνω δεν λαμβάνεται υπόψη η επίδραση των ακολούθων παραγόντων:

 

στρωματογραφική ανομοιογένεια του εδάφους μέχρι το βάθος επιρροής του θεμελίου

 

κλίση της επιφάνειας του εδάφους ή της ίδιας της θεμελίωσης (λοξή έδραση) ή γειτνίαση άκρου του θεμελίου προς πρανές

 

ανάπτυξη αδρανειακών δυνάμεων στο ίδιο το έδαφος (λόγω της σεισμικής επιτάχυνσης) την στιγμή της υποτιθέμενης αστοχίας

 

διατμητική αντοχή του εδάφους που υπέρκειται της στάθμης εδράσεως του θεμελίου (σημαντικό μόνον για αρκετά μεγάλο βάθος εγκιβωτισμού).

 

2. Η ύπαρξη των παραγόντων αυτών πρέπει να λαμβάνεται υπόψη είτε έμμεσα με κατάλληλες τιμές παραμέτρων ή συντελεστών είτε με συμπληρωματικούς ή ακριβέστερους ελέγχους.

 

3. Στις σχέσεις της Ζ.3 δεν λαμβάνεται υπόψη επιρροή υδατικών υπερπιέσεων πόρων. Επομένως η μέθοδος μπορεί να εφαρμοστεί αυτούσια είτε σε ακόρεστα εδάφη γενικώς είτε σε κορεσμένα εδάφη των οποίων η δομή ή/ και οι συνθήκες στράγγισης επιτρέπουν την παράλειψη της επιρροής υδατικών υπερπιέσεων. Προσεγγιστική αντιμετώπιση της επιρροής αυτής σε κορεσμένα κοκκώδη εδάφη δίνεται στην επόμενη παράγραφο Ζ.5

 

Ζ.5. Προσεγγιστική αντιμετώπιση ανάπτυξης υπερπιέσεων πόρων

 

1. Σε κορεσμένους και σχετικά χαλαρούς αμμοϊλυώδεις εδαφικούς σχηματισμούς που υπόκεινται σε μεγάλες παραμορφώσεις κατά την διάρκεια του σεισμού σχεδιασμού, μπορεί να αναπτυχθούν και να συσσωρευθούν, κατά τους επάλληλους κύκλους σεισμικής παραμόρφωσης, σημαντικές υπερπιέσεις πόρων Δu.

 

2. Η μέγιστη αναπτυσσόμενη υπερπίεση πόρων Δu αυξάνεται με το εύρος της διατμητικής παραμόρφωσης και με την δυσκολία αποτόνωσής της λόγω διαπερατότητας του εδάφους. Η επιρροή της υπερπίεσης πόρων μπορεί να ληφθεί υπόψη υπολογιστικά με μείωση της τιμής της γωνίας τριβής από φ' στην ενεργό τιμή φΕ σύμφωνα με την σχέση:

 

Eqn447 (Z.11)

 

όπου ο λόγος Δu/σ'0 = υπερπίεση / ενεργός κατακόρυφη τάση, πρέπει να θεωρηθεί ως μέση τιμή στο μήκος της τελικής επιφάνειας αστοχίας, η οποία θα προκύψει υπό την φόρτιση σεισμικού σχεδιασμού με τις εδαφικές παραμέτρους c' και φΕ.

 

3. Εάν και εφόσον δεν γίνει ακριβέστερος υπολογισμός, επιτρέπεται να χρησιμοποιούνται οι ακόλουθες ενδεικτικές τιμές της φΕ :

 

φΕ = 0.60 x φ' στις ζώνες σεισμικής επικινδυνότητας I

φΕ = 0 40 x φ' στις ζώνες σεισμικής επικινδυνότητας II και III.

 

Ζ.6 Εκτίμηση φέρουσας ικανότητας από προϋπάρχουσα εμπειρία

 

1. Σε κτίρια σπουδαιότητας Σ1 επί εδάφους κατηγορίας Α, Β, ή Γ καθώς και σε κτίρια σπουδαιότητας Σ2 ή και μονώροφα σπουδαιότητας Σ3 επί εδάφους κατηγορίας Α ή Β, επιτρέπεται η εκτίμηση της φέρουσας ικανότητας του εδάφους με βάση υπάρχουσα εμπειρία από παρακείμενες κατασκευές, θεμελιωμένες σε όμοιους εδαφικούς σχηματισμούς. Οι κατασκευές αυτές πρέπει να μην έχουν εμφανίσει αξιόλογες υποχωρήσεις και να έχουν επιδείξει καλή συμπεριφορά σε προγενέστερες σημαντικές σεισμικές δράσεις.

 

2. Όταν η εμπειρία βασίζεται σε τιμή σΕ της επιτρεπόμενης τάσης υπό τα συνήθη φορτία λειτουργίας (χωρίς επαύξηση), η φέρουσα ικανότητα του θεμελίου μπορεί να εκτιμηθεί ως εξής:

 

Eqn448 (Z.12)

 

Ο μειωτικός συντελεστής i, λόγω ύπαρξης συνολικής οριζόντιας τέμνουσας V (συνισταμένη των τεμνουσών στις 2 διευθύνσεις), μπορεί να λαμβάνεται από την σχέση:

 

Eqn449 (Z.13)

 

και η ενεργός επιφάνεια του θεμελίου Α' θα υπολογίζεται από τις εκκεντρότητες σύμφωνα με τους ορισμούς της Ζ.1.



Copyright © 2017 TechnoLogismiki. Με την επιφύλαξη παντός δικαιώματος.