| Συνδεθείτε στην Υπηρεσία Νομοσκόπιο | | | | | Νέοι χρήστες | | Εάν είστε νέος χρήστης, θα πρέπει να δημιουργήσετε ένα ΔΩΡΕΑΝ λογαριασμό προκειμένου να φύγει το παράθυρο αυτό και να αποκτήσετε πλήρη πρόσβαση στην υπηρεσία Νομοσκόπιο. | | Δημιουργία νέου λογαριασμού | | |
1. Γενικές Αρχές Σχεδιασμού
Η παροχετευτικότητα μιας αποχετευτικής τάφρου εξαρτάται από το σχήμα, το μέγεθος, την κλίση και την τραχύτητα των τοιχωμάτων της. Για μια τάφρο με δεδομένη διατομή η παροχετευτικότητα γίνεται μεγαλύτερη όταν η κλίση ή το βάθος ροής αυξάνεται. Η παροχετευτικότητα της τάφρου ελαττώνεται όταν η επιφάνεια των τοιχωμάτων της τάφρου αποκτά μεγαλύτερη τραχύτητα. Για παράδειγμα, η επένδυση μιας τάφρου με λιθορριπή προσφέρει περίπου τη μισή παροχετευτικότητα από ότι η επένδυση με σκυρόδεμα, για τάφρους με την ίδια διατομή και κλίση, λόγω της διαφοράς στην τραχύτητα. Μια τάφρος με μεγάλη τραχύτητα μερικές φορές αποτελεί πλεονέκτημα σε ισχυρές κλίσεις όπου είναι επιθυμητό να εμποδίζεται η ανάπτυξη μεγάλων ταχυτήτων.
Το πλέον αποτελεσματικό σχήμα τάφρου είναι αυτό που έχει διατομή ημικυκλική, όμως η υδραυλική αποτελεσματικότητα δεν είναι το μόνο κριτήριο. Επιπλέον των υδραυλικών επιδόσεων της λειτουργίας μιας τάφρου, θα πρέπει να λαμβάνεται υπόψη η οικονομικότητα της κατασκευής που συνδυάζεται με τη διασφάλιση της ελάχιστης συντήρησης κατά τη διάρκεια της ζωής μιας οδού. Ακόμη πέραν από το σχεδιασμό που διασφαλίζει έναντι ατυχημάτων, πρέπει να λαμβάνονται υπόψη και οι βλάβες σε παρόδιες χρήσεις γης που μπορεί να προκαλούνται κατά την εκτόνωση της συλλεγόμενης απορροής. Οι περισσότερες από αυτές τις πρόσθετες απαιτήσεις κατά κανόνα ελαττώνουν την υδραυλική ικανότητα μιας τάφρου. Κατά συνέπεια, ο βέλτιστος σχεδιασμός, για ένα συγκεκριμένο τμήμα οδού, συνδυάζεται με το συμβιβασμό των ποικίλων απαιτήσεων, οι οποίες πολλές φορές έχουν η κάθε μια διαφορετική επιρροή στο σχεδιασμό.
Συνήθως το πλάτος της ζώνης απαλλοτρίωσης επιτρέπει ελάχιστες εναλλακτικές επιλογές για τη χάραξη ή την κλίση μιας τάφρου, όμως όσο είναι πρακτικά δυνατό, απότομες αλλαγές στη χάραξη ή την κλίση θα πρέπει να αποφεύγονται. Μια απότομη αλλαγή στη χάραξη δημιουργεί, σημεία επίθεσης της ροής και οι απότομες αλλαγές στην κλίση είτε προκαλούν αποθέσεις από φερτά υλικά στις περιοχές όπου η κλίση οριζοντιώνεται, είτε διάβρωση όταν η κλίση γίνεται πιο ισχυρή.
Δεν είναι απαραίτητο να τυποποιείται ο σχεδιασμός των παρόδιων τάφρων σε οποιοδήποτε μήκος της οδού. Όχι μόνο το βάθος και το πλάτος της τάφρου μπορεί να μεταβάλλεται με αντίστοιχη μεταβολή της παροχετευτικότητας, της κλίσης της τάφρου καθώς και της απόστασης μεταξύ των πλευρικών σημείων εκτόνωσης, αλλά και οι διαστάσεις της τάφρου μπορεί να ποικίλουν ανάλογα με το είδος της επένδυσης των τοιχωμάτων της.
Η συστηματική συντήρηση είναι βασικός παράγοντας για κάθε αποχετευτική τάφρο. Χωρίς την κατάλληλη συντήρηση μια καλοσχεδιασμένη τάφρος μπορεί να γίνει ένα αποκρουστικό θέαμα. Οι μέθοδοι συντήρησης θα πρέπει να λαμβάνονται υπόψη κατά το σχεδιασμό έτσι ώστε οι διατομές των τάφρων να είναι κατάλληλες για τις μεθόδους και τον εξοπλισμό που θα χρησιμοποιείται.
2. Σχεδιασμός Επενδυμένων Τάφρων
2.1. Βασικές αρχές
Οι παρόδιες τάφροι συνήθως χρησιμοποιούνται σε οδούς χωρίς κράσπεδα για να παραλαμβάνουν και μεταφέρουν την απορροή του καταστρώματος της οδού αλλά και την απορροή που προσέρχεται από επιφάνειες γύρω από την οδό. Τμήμα μιας τάφρου μπορεί επίσης να χρησιμοποιείται σε τμήματα οδών με κράσπεδα για να διακόπτει την εκτός του καταστρώματος απορροή έτσι ώστε να ελαχιστοποιούνται οι αποθέσεις φερτών επί της οδού, καθώς και να ελαττώνουν την ποσότητα του νερού που πρέπει να μεταφέρεται από το ρείθρο της οδού. Ακόμη και σε σχετικά ήπιες κατά μήκος κλίσεις της οδού, συνθήκες έντονης διαβρωσιμότητας μπορεί να συμβαίνουν στις παρόδιες τάφρους. Κατά συνέπεια, ο σχεδιασμός επενδεδυμένης τάφρου γίνεται κρίσιμος παράγοντας στο σχεδιασμό των παρόδιων τάφρων.
Η ανάγκη για την πρόβλεψη της διάβρωσης δεν περιορίζεται στις παρόδιες τάφρους, αλλά εκτείνεται σε όλο το εύρος της ζώνης απαλλοτρίωσης και είναι ουσιαστικής σημασίας ο επαρκής σχεδιασμός της αποχέτευσης. Η διάβρωση και συντήρηση ελαχιστοποιούνται με τη χρήση των πολύ ήπιας κλίσης πρανών και την προσαρμογή τους με τη φυσική επιφάνεια εδάφους, τον σχεδιασμό αποχετευτικών τάφρων με την οφειλόμενη θεώρηση της θέσης, του πλάτους, του βάθους, των κλίσεων των πρανών, της χάραξης και των μέτρων προστασίας, των κατάλληλων μέτρων για τη διακοπή του υπόγειου ορίζοντα, των αναχωμάτων, των αναβαθμών, καθώς και άλλων μέτρων προστασίας όπως φύτευση πρασίνου.
Το είδος της επένδυσης των τάφρων θα πρέπει να συμβαδίζει με τον απαιτούμενο βαθμό προστασίας, το συνολικό κόστος, τις απαιτήσεις της οδικής ασφάλειας, καθώς και την αισθητική θεώρηση.
2.2. Υλικά επένδυσης
Τα υλικά επένδυσης μπορεί να ταξινομούνται ως εύκαμπτα ή άκαμπτα. Οι εύκαμπτες επενδύσεις είναι ικανές να προσαρμόζονται στις αλλαγές του σχήματος της τάφρου και μπορούν να διατηρούν τέτοιες αλλαγές, ενώ παράλληλα να υποστηρίζουν και τη συνολική ακεραιότητα της τάφρου. Αντιθέτως, οι άκαμπτες επενδύσεις δε μπορούν να αλλάζουν σχήμα και τείνουν να καταρρέουν όταν ένα τμήμα της επένδυσης καταστρέφεται. Το σχήμα της τάφρου μπορεί να αλλάζει λόγω της διόγκωσης του υποκείμενου εδάφους από παγετό, από κατεισδίοντα νερά κ.τ.λ. Τυπικά υλικά επένδυσης είναι οι χλοοτάπητες, οι λιθορριπές και συρματοκλωβοί (συρματοκιβώτια ή συρματοστρώματα), ενώ μια τυπική άκαμπτη επένδυση είναι το σκυρόδεμα.
Οι εύκαμπτες επενδύσεις γενικά είναι μικρότερου κόστους, προσφέρουν περισσότερο φυσική εμφάνιση, και είναι τυπικά περισσότερο αποδεκτές περιβαλλοντικά. Εντούτοις, οι εύκαμπτες επενδύσεις έχουν περιορισμένη αντοχή στις διαβρωτικές δυνάμεις, στις οποίες δεν αντιστέκονται χωρίς να υφίστανται φθορές. Μια άκαμπτη επένδυση μπορεί τυπικά να παρέχει μεγαλύτερη ικανότητα και αντίσταση στη διάβρωση και σε μερικές περιπτώσεις μπορεί να αποτελεί τη μόνη εφικτή εναλλακτική λύση.
Οι άκαμπτες επενδύσεις μπορεί να είναι μόνιμες ή προσωρινές. Οι προσωρινές συνήθως χρησιμοποιούνται για να παρέχουν προστασία από διάβρωση μέχρις ότου μια μόνιμη επένδυση, όπως ο χλοοτάπητας, αναπτυχθεί επαρκώς. Οι προσωρινές εύκαμπτες επενδύσεις είναι τυπικά ένα δίχτυ ή στρώμα από φυσικές ή συνθετικές ίνες που επιστρώνονται επί της τάφρου μετά από τις διαδικασίες σποράς του μόνιμου χλοοτάπητα, και στερεώνεται με κατάλληλες αγκυρώσεις. Οι μόνιμες εύκαμπτες επενδύσεις περιλαμβάνουν φύτευση και βραχώδης λιθορριπές. Οι λιθορριπές εκφορτώνονται επάνω σε φίλτρο κοκκώδες ή γαιοϋφάσματος, σε προετοιμασμένα πρανή και έτσι ώστε αυτές να σχηματίσουν μια καλά διαμορφωμένη μάζα με ελάχιστα κενά. Τα βραχώδη προϊόντα που χρησιμοποιούνται στις λιθορριπές πρέπει να είναι σκληρά, ανθεκτικά, κατά προτίμηση γωνιώδους σχήματος και καθαρά από επιστρώσεις αργιλικού και οργανικού υλικού. Η αντίσταση στην αποδιοργάνωση, λόγω της διάβρωσης που δημιουργεί η λειτουργία της τάφρου, πρέπει να προσδιορίζεται με προδιαγραφόμενες δοκιμές επιτόπου και εργαστηριακά.
Η κατασκευή άκαμπτης επένδυσης σκυροδέματος απαιτεί ειδικό εξοπλισμό και δαπανηρά υλικά. Αποτέλεσμα αυτού του γεγονότος είναι ότι η άκαμπτη επένδυση είναι υψηλού κόστους. Οι προκατασκευασμένες επενδύσεις μπορεί να είναι μικρότερου κόστους αν οι αποστάσεις μεταφοράς δεν είναι πολύ μεγάλες. Τυπικά προκατασκευασμένα στοιχεία επένδυσης είναι τα διασυνδεόμενα τεμάχια σκυροδέματος π.χ. οι κυβόλιθοι.
Γενικά όταν απαιτείται μια επένδυση, θα πρέπει να επιλέγεται αυτή που έχει το χαμηλότερο κόστος και παρέχει επαρκή προστασία από τη διάβρωση. Σε περιοχές με υγρασία συνήθως η επένδυση με φυτοκάλυψη είναι καταλληλότερη, ή / και ο συνδυασμός αυτής με άλλα είδη επένδυσης. Ως εκ τούτου μια τάφρος μπορεί να επενδύεται με χλοοτάπητα στα τμήματα με πολύ μικρές κλίσεις και με περισσότερο ανθεκτικά υλικά σε τμήματα με ισχυρές κλίσεις. Κατά την έννοια της διατομής μια τάφρος μπορεί να επενδύεται με υψηλής αντοχής υλικό μέχρι το βάθος που απαιτείται για τις συνήθεις συνθήκες πλημμύρας ενώ το υπόλοιπο τμήμα (καθ' ύψος) μπορεί να επενδύεται με χλοοτάπητα για την προστασία από τις σπάνιες πλημμύρες. Ως παράδειγμα αναφέρεται η κατασκευή μέρους του πλάτους μιας αβαθούς τάφρου κυκλικής διατομής με σκυρόδεμα ενώ το υπόλοιπο με χλοοτάπητα. Το πλάτος σκυροδέματος σε αυτή την τάφρο υπολογίζεται με βάση την κατανομή των ταχυτήτων που αναπτύσσονται μέσα στο εύρος της διατομής.
2.3. Σχεδιασμός σταθεροποιημένων τάφρων
Ο σχεδιασμός σταθεροποιημένης τάφρου μπορεί να στηρίζεται στις παραδοχές στατικής ή δυναμικής ισορροπίας. Η στατική ισορροπία υπάρχει όταν τα τοιχώματα της τάφρου είναι ουσιαστικά άκαμπτα και τα υλικά που σχηματίζουν τα τοιχώματα αντιστέκονται στις διαβρωτικές δυνάμεις της ροής. Κάτω από τέτοιες συνθήκες η τάφρος παραμένει ουσιαστικά αμετάβλητη κατά τη διάρκεια της ροής σχεδιασμού και οι αρχές της υδραυλικής για άκαμπτα τοιχώματα μπορεί να εφαρμόζονται. Η δυναμική ισορροπία υπάρχει όταν τα τοιχώματα της τάφρου είναι κινούμενα και οι μικρές αλλαγές στην κοίτη και στις πλευρές της τάφρου συμβαίνουν. Ένα δυναμικό σύστημα θεωρείται σταθερό όσο το δίκτυο των αλλαγών δεν υπερβαίνει αποδεκτά επίπεδα. Ο σχεδιασμός σταθεροποιημένης τάφρου κάτω από συνθήκες δυναμικής ισορροπίας πρέπει να στηρίζεται στις παραδοχές μεταφοράς φερτών. Στις περισσότερες περιπτώσεις παρόδιων τάφρων η αστάθεια της κοίτης και των πλευρών και/ή πιθανή πλευρική κίνηση των υλικών δε μπορεί να αντιμετωπισθεί και ο σχεδιασμός πρέπει να στηρίζεται στις παραδοχές της στατικής ισορροπίας, με τη χρήση υλικών επένδυσης εάν είναι απαραίτητο για να επιτυγχάνεται η συνθήκη άκαμπτων τοιχωμάτων.
Έχουν αναπτυχθεί δυο μέθοδοι και συνήθως εφαρμόζονται για το σχεδιασμό με συνθήκες στατικής ισορροπίας: την επιτρεπόμενη ταχύτητα και την επιτρεπόμενη συρτική δύναμη. Με την προσέγγιση της επιτρεπόμενης ταχύτητας η τάφρος θεωρείται σταθεροποιημένη αν η υιοθετούμενη μέση ταχύτητα είναι μικρότερη από τη μέγιστη επιτρεπόμενη ταχύτητα για δεδομένες συνθήκες τοιχωμάτων της τάφρου. Ομοίως, η προσέγγιση της συρτικής δύναμης απαιτεί ότι η διατμητική ένταση επί της κοίτης και των όχθεων της τάφρου δεν υπερβαίνουν τα επιτρεπόμενα μεγέθη για δεδομένα τοιχώματα τάφρου.
Ο ορισμός και η εξίσωση υπολογισμού της συρτικής δύναμης παρέχεται στο κεφάλαιο 4, εξίσωση (4.3.3-1). Αυτή η εξίσωση ορίζει τη μέση συρτική δύναμη στην τάφρο. Η μέγιστη διατμητική ένταση κατά μήκος της κοίτης της τάφρου μπορεί να εκτιμάται αντικαθιστώντας το βάθος ροής, y, για την υδραυλική ακτίνα, R στην εξίσωση. Η επιτρεπόμενη συρτική δύναμη για διάφορα υλικά επένδυσης δίνεται στον επόμενο Πίνακα 5.2.3-1. Εάν η υπολογιζόμενη συρτική δύναμη είναι μεγαλύτερη από την επιτρεπόμενη για ένα συγκεκριμένο υλικό επένδυσης η τάφρος δε θα είναι σταθεροποιημένη. Ο υπολογισμός των υδραυλικών γεωμετρικών συνθηκών μπορεί να βασίζεται σε συνθήκες κανονικού βάθους ροής. Οι τιμές του συντελεστή n του manning για εύκαμπτες επενδύσεις χωρίς βλάστηση δίνονται στον επόμενο Πίνακα 5.2.3-2. Οι τιμές του n θα ποικίλουν ανάλογα με το βάθος με μεγαλύτερη τραχύτητα στα μικρά βάθη και λιγότερη τραχύτητα στα μεγάλη βάθη ροής. Στην εγκύκλιο HEC-15 της FHWA περιγράφονται η διαδικασία μελέτης της συρτικής δύναμης σε σταθεροποιημένες τάφρους, όπου αναφέρονται και ειδικές θεωρήσεις για το σχεδιασμό λιθορριπών με ισχυρές κλίσεις καθώς και σύνθετων επενδύσεων.
Πίνακας 5.2.3-1: Επιτρεπόμενες διατμητικές εντάσεις σε υλικά επένδυσης τάφρων
Κατηγορία επένδυσης
|
Τύπος επένδυσης
|
Διατμητική ένταση (Pa)
|
Προσωρινή
|
Πλεκτά δίχτυα
|
7,2
|
Δίχτυα ιούτας (Jute)
|
21,6
|
Άχυρα με δίχτυα
|
69,4
|
Στρώματα με ροκανίδια
|
74,2
|
Συνθετικά στρώματα
|
95,8
|
Χλοοτάπητας
|
Ανάλογα με την ποιότητα και το ύψος του
|
177,2 έως 16,8
|
Λιθορριπή
|
25 mm
|
15,8
|
50 mm
|
32,1
|
150 mm
|
95,8
|
300 mm
|
191,5
|
Γυμνά εδάφη
|
Μη συνεκτικά
|
Βλέπε HEC-15
|
Συνεκτικά
|
* Μερικές προσωρινές επενδύσεις γίνονται μόνιμες όταν επικαλύπτονται.
Πίνακας 5.2.3-2: Συντελεστές n τραχύτητας Manning
Κατηγορία επένδυσης
|
Τύπος επένδυσης
|
Τιμή n
|
Πεδίο βάθους y (cm)
|
y ≤ 15
|
15 <y ≤ 60
|
60<y
|
Άκαμπτη
|
Σκυρόδεμα
|
0,015
|
0,013
|
0,013
|
Λιθόδεμα
|
0,040
|
0,030
|
0,028
|
Λιθοδομή
|
0,042
|
0,032
|
0,030
|
Έδαφος με τσιμέντο
|
0,025
|
0,022
|
0,020
|
Ασφαλτική επίστρωση
|
0,018
|
0,016
|
0,016
|
Χωρίς επένδυση
|
Γυμνό έδαφος
|
0,023
|
0,020
|
0,020
|
Βραχώδες όρυγμα
|
0,045
|
0,035
|
0,025
|
Προσωρινή *
|
Πλεκτά δίχτυα
|
0,016
|
0,015
|
0,015
|
Δίχτυα ιούτας (Jute)
|
0,028
|
0,022
|
0,019
|
Άχυρα με δίχτυα
|
0,065
|
0,033
|
0,025
|
Στρώματα με ροκανίδια
|
0,066
|
0,035
|
0,028
|
Συνθετικά στρώματα
|
0,036
|
0,025
|
0,021
|
Λιθορριπή
|
25 mm D50
|
0,044
|
0,033
|
0,030
|
50 mm D50
|
0,066
|
0,041
|
0,034
|
150 mm D50
|
0,104
|
0,069
|
0,035
|
300 mm D50
|
-
|
0,078
|
0,040
|
* Μερικές προσωρινές επενδύσεις γίνονται μόνιμες όταν επικαλύπτονται.
Σημείωση: Οι αναγραφόμενες τιμές n του Πίνακα είναι αντιπροσωπευτικές για τα αντίστοιχα πεδία βάθους. Οι συντελεστές n τραχύτητας Manning μεταβάλλονται ανάλογα με το βάθος ροής.
3. Αποχέτευση Οδοστρώματος
3.1. Βασικές αρχές
Η μελέτη αποχέτευσης οδοστρώματος παρέχει την αποτελεσματική απομάκρυνση των ομβρίων από την επιφάνεια κυκλοφορίας. Η αποχέτευση οδοστρώματος σε παράπλευρο ρείθρο ή αβαθή επιφάνεια παραπλεύρως της οδού είναι μια άλλη περίπτωση ροής ανοικτού αγωγού.
Το νερό επί του οδοστρώματος επιβραδύνει την κυκλοφορία των οχημάτων και συνεισφέρει σε ατυχήματα, λόγω υδροολίσθησης και απώλειας της ορατότητας από την εκτίναξη των σταγονιδίων νερού. Η μελέτη αποχέτευσης οδοστρώματος τυπικά βασίζεται σε παραδοχές για το επιτρεπόμενο κατακλυζόμενο πλάτος της διατομής των οδών. Το εύρος κατάκλυσης μπορεί να γίνεται αποδεκτό ανάλογα με τον κυκλοφοριακό φόρτο και την ταχύτητα σε κάθε οδό. Σε οδούς υψηλών ταχυτήτων και με μεγάλους φόρτους όπως είναι οι αυτοκινητόδρομοι, η μελέτη πρέπει να στοχεύει στην ελαχιστοποίηση του εύρους κατάκλυσης των λωρίδων κυκλοφορίας για το επεισόδιο βροχόπτωσης που τίθεται ως στόχος σχεδιασμού.
Τα πρότυπα της γεωμετρικής μελέτης των στοιχείων της οδού επηρεάζουν σε μεγάλο βαθμό το σχεδιασμό αποχέτευσης του οδοστρώματος. Τέτοια στοιχεία είναι τα κράσπεδα, τα ρείθρα, οι κατά μήκος και εγκάρσιες κλίσεις της οδού, τα ερείσματα και οι πρόσθετες λωρίδες.
Η κατά μήκος κλίση της οδού επηρεάζει το εύρος κατάκλυσης του οδοστρώματος. Σε οδοστρώματα με κράσπεδα, τυπικά απαιτείται μια ελάχιστη κλίση 0,3% που υποβοηθά την αποχέτευση. Οι ελάχιστες κλίσεις μπορεί να επιτυγχάνονται στις περιπτώσεις οδών σε επίπεδα εδάφη με κατάλληλο σχεδιασμό της μηκοτομής και των επικλίσεων, ώστε να επιτυγχάνεται επαρκής κατά μήκος κλίση στα ρείθρα της οδού. Επαρκής επίκλιση ελαττώνει το αναπτυσσόμενο βάθος νερού επί του οδοστρώματος και ως εκ τούτου προσφέρει μια σημαντική δυνατότητα στην εφαρμογή μέτρων έναντι της υδροολίσθησης.
Σε περιοχές όπου η φυτική κάλυψη δε μπορεί χρησιμοποιηθεί για την πρόληψη ζημιών από διάβρωση υψηλών επιχωμάτων στα ερείσματα της οδού πρέπει να εφαρμόζεται κατάλληλη διάταξη η οποία θα παραλαμβάνει την απορροή του οδοστρώματος και θα την καθοδηγεί στον πόδα του πρανούς.
3.2. Ροή σε αβαθείς πλευρικές τάφρους
Σε υπεραστικές οδούς κατηγορίας ΑΙ έως AIV και σε αστικές οδούς κατηγορίας ΒΙ (βλέπε ΟΜΟΕ-ΛΚΟΔ) η αποχέτευση του οδοστρώματος, όπου απαιτείται, επιτυγχάνεται με την κατασκευή αβαθών τάφρων (gutters) που τοποθετούνται παράπλευρα της οδού και σε συνέχεια με το οδόστρωμα.
Το πλάτος της επιφάνειας Ζ του πρίσματος της ροής (βλέπε Σχήμα 5.3.2-1) που δημιουργείται μέσα στην αβαθή τάφρο θα πρέπει να περιορίζεται στο πλάτος του ερείσματος και ενδεχομένως επιπλέον σε μέρος του πλάτους της συνεχόμενης λωρίδας κυκλοφορίας (βλέπε Πίνακες 2.4-3 και 2.4-4). Το βάθος ροής σε αυτές τις τάφρους δε θα πρέπει να υπερβαίνει τα 35 cm. Σε καμία περίπτωση δε θα πρέπει η ταχύτητα της ροής να είναι τόσο μεγάλη ώστε να προκαλείται υπερβολική διάβρωση ή να παρουσιάζεται κίνδυνος από άποψη οδικής ασφάλειας.

Σχήμα 5.3.2-1: Τυπική διατομή αβαθούς τριγωνικής τάφρου (Gutter)
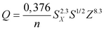
Η εξίσωση υπολογισμού της παροχετευτικότητας της ροής σε αβαθή τάφρο είναι μια τροποποιημένη έκδοση της εξίσωσης του Manning. Αυτή βασίζεται σε μια τιμή τραχύτητας n=0,015 s/m 1/3. Συνήθως η παροχή, η κατά μήκος και εγκάρσια κλίση είναι γνωστές και απαιτείται ο προσδιορισμός του βάθους και του πλάτους της ροής. Η εξίσωση που χρησιμοποιείται για τον υπολογισμό είναι:

και εξ αυτής με βάση τη σχέση Z=d/SX προκύπτουν οι εξισώσεις:


όπου:
d (mm): το βάθος ροής στην όψη του κρασπέδου
Q (m3/s): η παροχετευτικότητα της τάφρου με βάθος ροής d
S (m/m): η κατά μήκος κλίση της τάφρου
SX (m/m): η εγκάρσια κλίση της τάφρου
Z (m): το πλάτος της επιφάνειας του πρίσματος της ροής.
Οι συνιστώμενες τιμές του συντελεστή n δίνονται στον επόμενο Πίνακα 5.3.2-1.
Πίνακας 5.3.2-1: Τιμές συντελεστή n τραχύτητας Manning σε ρείθρα
Είδος επιφάνειας ρείθρου ή οδοστρώματος
|
Συντελεστής n
|
Σκυρόδεμα μυστρισμένο
|
0,012
|
Ασφαλτική:
|
Λεία υφή
|
0,013
|
Αδρή υφή
|
0,016
|
Ρείθρο σκυροδέματος με οδόστρωμα ασφαλτικό:
|
Λείο
|
0,013
|
Αδρό
|
0,015
|
Οδόστρωμα σκυροδέματος:
|
Λεία επιφάνεια (επεξεργασία με ελικοπτεράκι)
|
0,014
|
Επιφάνεια επεξεργασμένη με βούρτσα
|
0,016
|
Σε ρείθρα με μικρή κατά μήκος κλίση, όπου αναμένεται συσσώρευση φερτών προσαυξάνονται οι προηγούμενες τιμές κατά
|
+ 0,002
|
Σημείωση: Εκτιμώμενες τιμές από FHWA
3.3. Συστήματα αποχέτευσης με υπόνομο και στόμια υδροσυλλογής σχισμής
Είναι γεγονός ότι, οι συνθήκες που προϋποθέτουν τη χρήση συστήματος αποχέτευσης με υπόνομο και στόμια υδροσυλλογής σχισμής μπορεί στην πραγματικότητα να εμποδίζουν την αποδοτικότητα του. Τα στόμια υδροσυλλογής με σχισμή συνήθως τοποθετούνται σε τμήματα με ελάχιστη κατά μήκος κλίση και επίκλιση για μεγαλύτερη απόδοση στην απορρόφηση της διάχυτης επί του οδοστρώματος απορροής. Όμως επειδή η κλίση του πυθμένα του υπονόμου κατασκευάζεται παράλληλη με την επιφάνεια του οδοστρώματος, ως συνέπεια προκύπτει ότι η ροή εντός του υπονόμου γίνεται με πολύ μικρές ταχύτητες οι οποίες δεν εμποδίζουν την κατακάθιση λεπτόκοκκων υλικών.
Ένα σχετικώς πρόσφατο (τελευταία 5-7 έτη) είδος αποχετευτικού συστήματος επονομαζόμενο σχαρωτός αγωγός (βλέπε Σχήμα 5.2-1) αποτελείται από προκατασκευασμένα τεμάχια μήκους 1 m με αφαιρετή σχάρα και πυθμένα είτε στο ίδιο βάθος από αυτή είτε με κλίση 0,5% ως προς αυτή. Οι εσωτερικές παρειές του συστήματος είναι στρογγυλεμένες λείες ώστε να εξασφαλίζεται η βελτιωμένη ροή και να ελαχιστοποιείται η κατακάθιση φερτών.
Αυτά τα συστήματα σχαρωτών αγωγών με τη συνεχή σχάρα είναι τα καταλληλότερα για τη διακοπή και συλλογή της διάχυτης απορροής σε επιφάνειες περίπου επίπεδες, όπως συμβαίνει σε οδοστρώματα με μικρή ή και καθόλου κατά μήκος κλίση. Ένας περιοριστικός παράγοντας στη χρήση τους είναι ότι αυτά δεν έχουν την ικανότητα να παροχετεύουν ροές > 0,14 m3/s σε μεγάλο μήκος επειδή, με τα προκατασκευασμένα τεμάχια που διατίθενται στο εμπόριο, μπορεί να υλοποιηθεί μεταβολή βάθους από περίπου 125 mm έως 300 mm σε μήκος 90 m (συνήθως κυκλοφορούν τεμάχια με κλίση πυθμένα 0,5% που υλοποιούν τουλάχιστον συνολικό μήκος 20 m).
Ως προς τις άλλες παραμέτρους όπως είναι η κατασκευασιμότητα και η συντήρηση τα εν λόγω συστήματα είναι συγκρίσιμα με τα συνήθη συστήματα υπόνομος - φρεάτια υδροσυλλογής. Το υψηλότερο κόστος αγοράς αυτών των προκατασκευασμένων συστημάτων αντισταθμίζεται από το μικρότερο κόστος των εργασιών τοποθέτησης, επειδή δε χρειάζονται βαριά μηχανήματα.
Τα υπόψη συστήματα κατασκευάζονται από ελαφρύ σκυρόδεμα πολυμερών, αν και διατίθενται στη διεθνή αγορά και από άλλα υλικά. Οι σχάρες κατασκευάζονται από ποικιλία υλικών, ανάλογα με τη θέση εφαρμογής τους, όπως είναι τα υλικά fiberglass, ανοξείδωτος και γαλβανισμένος χάλυβας, ορείχαλκος, συνθετικές ρυτίνες, καθώς και ελατός χυτοσίδηρος.

Σχήμα 5.3.3-1: Σχαρωτός αγωγός
3.4. Αποχέτευση νησίδων, πλευράς οδού με πρανή επιχωμάτων
Ο διαχωρισμός μεταξύ των οδοστρωμάτων των δυο αντιθέτων κατευθύνσεων κυκλοφορίας σε αυτοκινητοδρόμους ή μεταξύ αυτοκινητοδρόμου και παράπλευρης οδού γίνεται με διάταξη κεντρικής ή διαχωριστικής νησίδας αντιστοίχως. Σ' αυτές τις νησίδες συνήθως οδηγείται η απορροή από την επιφάνεια των οδοστρωμάτων λόγω των επικλίσεων που εφαρμόζονται. Αναλόγως με τη διαμόρφωση των νησίδων η παραλαβή της απορροής από τα οδοστρώματα μπορεί να γίνεται είτε με υπονόμους (περίπτωση νησίδας με στηθαία τύπου NJ ή ασφαλτοστρωμένης νησίδας) είτε με τη διαμόρφωση αβαθούς τάφρου (σε όλο το πλάτος της χωμάτινης νησίδας) πίσω από μεταλλικά στηθαία. Στην τελευταία περίπτωση χρειάζεται η κατασκευή ανά διαστήματα κατάλληλων φρεατίων υδροσυλλογής για τη σύλληψη και καθοδήγηση της ροής σε εγκάρσιους αγωγούς (υπονόμους ή οχετούς) και στη συνέχεια σε κατάλληλους τεχνητούς ή φυσικούς αποδέκτες.
Υπό ορισμένες συνθήκες απαιτούνται πρόσθετα μέτρα για την προστασία των πρανών επιχωμάτων της οδού από την προσερχόμενη απορροή σε αυτά από το οδόστρωμα. Συνήθως αυτά τα μέτρα αφορούν, την κατασκευή αβαθούς τάφρου στη συνέχεια του οδοστρώματος ή άλλης μορφής τάφρου πίσω από τα απαιτούμενα στηθαία, και τις εγκαρσίως της οδού διατάξεις για την κατά διαστήματα εκτόνωση της τάφρου. Η εκτόνωση γίνεται είτε με φρεάτια υδροσυλλογής και αγωγούς τοποθετούμενους μέσα στο σώμα του επιχώματος, κατά μήκος ή και εγκαρσίως της οδού, είτε με βαθμιδωτά ρείθρα (τοποθετούνται εγκαρσίως) επί των πρανών που τερματίζουν στο πόδι του επιχώματος.
Υποδείγματα διατάξεων κατάλληλων για τις προαναφερόμενες λειτουργίες παρουσιάζονται στο κεφάλαιο 15 Πρότυπα Κατασκευής.
Όταν συντρέχει μια από τις τρεις επόμενες συνθήκες επιβάλλεται η συγκέντρωση της απορροής σε τάφρους, όπως προαναφέρεται, στην πλευρά των πρανών επιχωμάτων:
α. το πλάτος του οδοστρώματος που συνεισφέρει απορροή είναι ≥ 13 m,
β. το μέσο ύψος των πρανών (ΔΗ, πόδι - στέψη) είναι 3 ≤ Η < 6 m και η κατά μήκος κλίση της οδού ≥2%,
γ. το μέσο ύψος των πρανών Η ≥ 6 m ανεξαρτήτως της κατά μήκος κλίσης της οδού.
Προϋπόθεση για την ασφαλή διάχυση της απορροής σε μορφή λεπτού πάχους υμένα είναι και η κατασκευή των φυτικών ερεισμάτων με εγκάρσια κλίση 12% αλλά και η συντήρηση της ανάπτυξης χλοοτάπητα επί των πρανών.
4. Στόμια Υδροσυλλογής
4.1. Γενικά
Η απορροφητικότητα (interception capacity) ενός στομίου υδροσυλλογής ορίζεται ως το ποσοστό της συνολικής ροής που το στόμιο απορροφά κάτω από ορισμένο σύνολο συνθηκών. Η ικανότητα απορρόφησης του στομίου μεταβάλλεται με την αλλαγή της εγκάρσιας (ως προς αυτό) κλίσης της κοίτης (του ρείθρου) ροής, της κατά μήκος κλίσης, της συνολικής ροής, καθώς και, σε μικρότερο βαθμό, με την τραχύτητα της κοίτης της ροής.
Η ποσότητα απορρόφησης οποιουδήποτε είδους διάταξης στομίου, αυξάνεται με την αύξηση της ποσότητας ροής, ενώ η αποδοτικότητα γενικώς μειώνεται με την αύξηση της ποσότητας ροής. Το βάθος νερού στην πλευρά του στομίου είναι ο σπουδαιότερος παράγοντας για την απορροφούμενη ποσότητα από στόμια που βρίσκονται τόσο επί του ρείθρου όσο και στα πλευρά της ροής (π.χ. στη όψη του κρασπέδου). Η απορροφούμενη ποσότητα από ένα στόμιο με σχάρα εξαρτάται από την ποσότητα του νερού που ρέει επάνω στη σχάρα, το μέγεθος και τη μορφή της σχάρας και την ταχύτητα ροής. Η αποδοτικότητα μιας σχάρας εξαρτάται από τους ίδιους παράγοντες και τη συνολική ροή στο ρείθρο.
Η αποδοτικότητα ενός στομίου στην όψη του κρασπέδου κατά το μεγαλύτερο μέρος εξαρτάται από το βάθος νερού στην πλευρά του κράσπεδου και το μήκος του στομίου. Το αποτελεσματικό βάθος ροής και κατά συνέπεια η απορροφητικότητα και αποδοτικότητα ενός πλευρικού στομίου, αυξάνεται με την υλοποίηση ταπείνωσης (βάθεμα) είτε τοπικά, (περιοχή στομίου) είτε σε όλο το μήκος του ρείθρου (σε σχέση με το οδόστρωμα της οδού), ώστε να αυξάνεται το βάθος του μέρους εκείνου, από το συνολικό πλάτος της ροής, που βρίσκεται στην πλευρά του στομίου. Στην περίπτωση που το μήκος στομίου επιβάλλει την κατασκευή ενδιάμεσων στοιχείων στήριξης της πλάκας του φρεατίου υδροσυλλογής, τότε αυτά τα στοιχεία πρέπει να τοποθετούνται με υποχώρηση μερικών εκατοστών του μέτρου, ως προς την όψη του στομίου. Στοιχεία στήριξης που κατασκευάζονται σε περασιά με την όψη του στομίου, έχει αποδειχθεί ότι μειώνουν κατά 50% την απορροφητικότητα ή και επιφέρουν μηδενισμό αυτής όταν συμβαίνει να συγκρατούν φερτά υλικά.
Η λειτουργία στομίων σχισμής είναι βασικά όμοια με εκείνη των πλευρικών στομίων, δηλαδή λειτουργούν ως υπερχειλιστές με τη ροή εισερχόμενη πλευρικά. Η απορροφητικότητα εξαρτάται από το βάθος ροής και το μήκος του στομίου. Η αποδοτικότητα εξαρτάται από το βάθος ροής, το μήκος του στομίου και τη συνολική ροή του ρείθρου.
Η απορροφητικότητα ενός συνθέτου στομίου, αποτελούμενου από μία σχάρα που τοποθετείται μπροστά από το πλευρικό (π.χ. στην όψη κρασπέδου) στόμιο, δεν διαφέρει ουσιαστικά από εκείνη που προσφέρει μόνο η σχάρα. Η απορροφητικότητα και η αποδοτικότητα εξαρτώνται από τους ίδιους παράγοντες οι οποίοι επηρεάζουν αντιστοίχως το στόμιο με σχάρα. Ένα σύνθετο στόμιο αποτελούμενο από ένα πλευρικό στόμιο τοποθετούμενο στα ανάντη της ροής ως προς τη σχάρα έχει μια αθροιστική ικανότητα που προκύπτει από τις δύο χωριστές απορροφητικότητες, λαμβάνοντας όμως υπόψη την ελάττωση του πλάτους και βάθους ροής επάνω στη σχάρα που οφείλεται στην απορρόφηση η οποία συντελείται από το προηγούμενο στα ανάντη της ροής πλευρικό στόμιο. Αυτό το σύνθετο στόμιο υδροσυλλογής έχει το πρόσθετο πλεονέκτημα της παρεμπόδισης της έμφραξης της σχάρας από φερτά, επειδή αυτά εισέρχονται στο πλευρικό στόμιο.
Ένα σύνθετο στόμιο αποτελούμενο από ένα στόμιο σχισμής στα ανάντη (ως προς τη ροή) και μιας σχάρας μπορεί να παρουσιάζεται ότι έχει το πλεονέκτημα της απορρόφησης κατά 100% της ροής όταν υπάρχει τέτοια ανάγκη. Εντούτοις, οι σχάρες απορροφούν λίγο περισσότερο από τη μετωπική ροή και συνήθως απαιτείται να έχουν πλάτος μεγαλύτερο από 90 cm για να συνεισφέρουν σημαντικά στην απορροφητικότητα.
4.2. Απορροφητικότητα Στομίων Υδροσυλλογής με Σχάρα
Στην περίπτωση στομίων υδροσυλλογής με σχάρα, που τοποθετούνται είτε μπροστά από κράσπεδο αστικών οδών είτε σε τριγωνικά ρείθρα (Gutters) υπεραστικών οδών και αυτοκινητοδρόμων, η ικανότητα απορρόφησης υπολογίζεται σύμφωνα με την εξίσωση:
(5.4.2-1)
όπου:
Q (L/s): η παροχή που ρέει επί του ρείθρου όπου τοποθετείται το στόμιο.
Qi (L/s): η παροχή που απορροφάται από τη σχάρα του στομίου.
Οι συντελεστές Rf, Rs και το μέγεθος E0 προκύπτουν από τα διαγράμματα στα Σχήματα 5.4.2-1, 5.4.2-2 και 5.4.2-3 που παρουσιάζονται στο Παράρτημα Α. Στα διαγράμματα αυτά τα υδραυλικά μεγέθη που συμμετέχουν είναι:
V (m/s): η ταχύτητα ροής κατά μήκος του ρείθρου όπου τοποθετείται το στόμιο υδροσυλλογής,
V0 (m/s): η τιμή της ταχύτητας ροής πάνω από την οποία δημιουργείται υπερπήδηση της σχάρας του στομίου υδροσυλλογής και που αποτελεί χαρακτηριστικό μέγεθος για κάθε τύπο σχάρας.
L (m): το μήκος της σχάρας
SX (m/m): η εγκάρσια κλίση του ρείθρου, στη θέση του στομίου υδροσυλλογής
Στη σχέση (5.4.2-1) το μέγεθος E0 παριστάνει το λόγο της παροχής QW που προσπερνά πάνω από τη σχάρα, προς τη συνολική παροχή Q του ρείθρου, και προκύπτει από το διάγραμμα στο Σχήμα 5.4.2-3, (βλέπε Παράρτημα Α)
όπου:
W (m): το πλάτος της σχάρας ή της ταπείνωσης του πυθμένα του ρείθρου στην είσοδο του στομίου υδροσυλλογής, για την τοποθέτηση της σχάρας (λαμβάνεται το μεγαλύτερο από τα δύο).
Τ (m): το πλάτος της ελεύθερης επιφάνειας ροής κατά μήκος του ρείθρου στην θέση του στομίου υδροσυλλογής.
Όταν τα στόμια υδροσυλλογής τοποθετούνται στον πυθμένα τάφρου πρισματικής διατομής (τριγωνική, ορθογωνική ή τραπεζοειδής) τότε το υδραυλικό μέγεθος E0 της σχέσης (5.4.2-1) προκύπτει από το διάγραμμα στο Σχήμα 5.4.2-3, (βλέπε Παράρτημα Α),
όπου:
Β (m): το πλάτος του πυθμένα της τάφρου πρισματικής διατομής,
Z (-): ο λόγος των διαστάσεων των παρειών της τάφρου, (Z = β:υ)
d (m): το βάθος ροής, εντός της τάφρου υπεράνω της επιφάνειας της σχάρας.
Στην περίπτωση αυτή, η απορροφητικότητα των στομίων υδροσυλλογής προκύπτει πάλι από τη σχέση (5.4.2-1) και οι συντελεστές Rf και Rs από τα διαγράμματα στα Σχήματα 5.4.2-1 και 5.4.2-2, (βλέπε Παράρτημα Α).
Στην περίπτωση στομίων υδροσυλλογής με σχάρα, που τοποθετούνται σε θέσεις κρασπέδου αστικών οδών ή τριγωνικών ρείθρων (Gutters) υπεραστικών οδών και αυτοκινητοδρόμων, όπου υπάρχει συσσώρευση ποσοτήτων νερού λόγω μηδενικών κατά μήκος κλίσεων, τα στόμια υδροσυλλογής λειτουργούν είτε σαν υπερχειλιστές είτε σαν οπές αντιστοίχως για μικρά ή μεγάλα βάθη ροής. Στην περίπτωση αυτή η ικανότητα απορρόφησης του στομίου, υπολογίζεται από τα διαγράμματα στα Σχήματα 5.4.2-4)α και 5.4.2-4)β (βλέπε Παράρτημα Α). Στα διαγράμματα αυτά τα υδραυλικά μεγέθη που συμμετέχουν είναι:
Qi (L/s): η απορροφητικότητα, του στομίου υδροσυλλογής.
d (m): το βάθος του συσσωρευμένου νερού στη θέση του στομίου υδροσυλλογής.
Α (m2): η καθαρή επιφάνεια των κενών της σχάρας.
P (m): η περίμετρος της σχάρας σε m, που ισούται είτε με (2W+L) όταν στην μία πλευρά της σχάρας υπάρχει κατακόρυφο μέτωπο, είτε με 2(W+L) όταν δεν υπάρχει τέτοιο (πανταχόθεν ελεύθερη).
Στις συνήθεις περιπτώσεις, η ωφέλιμη επιφάνεια των σχαρών υδροσυλλογής κυμαίνεται μεταξύ 60% και 80% της συνολικής τους επιφάνειας.
4.3. Απορροφητικότητα Στομίων Υδροσυλλογής με Πλευρικό Άνοιγμα
Η απορροφητικότητα πλευρικών στομίων υπολογίζεται από τις εξισώσεις:
α. Για λειτουργία υπερχειλιστή (χωρίς τοπική ταπείνωση του ρείθρου στη θέση του στομίου
(5.4.3-1)
β. Για λειτουργία οπής (χωρίς τοπική ταπείνωση ρείθρου)
(5.4.3-2)
όπου:
Qi (m3/s): η απορροφούμενη παροχή
L (m): το μήκος του στομίου
D (m): το βάθος του νερού στην όψη του στομίου
Ag (m2): η επιφάνεια του ανοίγματος (οπής)
di (m) : το βάθος του κάτω χείλους του ανοίγματος από την επιφάνεια του νερού
h (m): το ύψος του στομίου, που υποτίθεται για κατακόρυφο μέτωπο του ανοίγματος. Άλλες διαμορφώσεις μπορεί να αλλάζουν σημαντικά τη λειτουργία της οπής.
Η ικανότητα απορρόφησης των εν λόγω στομίων, σε συνδυασμό με την κατά μήκος και την εγκάρσια κλίση του ρείθρου, υπολογίζεται από τα διαγράμματα στα Σχήματα σειράς 5.4.3-1.
Στα διαγράμματα αυτά τα υδραυλικά μεγέθη που συμμετέχουν είναι:
Qi (L/s): η παροχή που απορροφάται από τη σχισμή του στομίου υδροσυλλογής.
Q (L/s): η παροχή που ρέει κατά μήκος του ρείθρου στο οποίο τοποθετείται το στόμιο υδροσυλλογής.
n (s/m1/3): συντελεστής τραχύτητας κατά Manning, του πυθμένα ροής του ρείθρου όπου τοποθετείται το στόμιο υδροσυλλογής.
S (m/m): η κατά μήκος κλίση του πυθμένα του ρείθρου όπου τοποθετείται το στόμιο υδροσυλλογής.
SX (m/m): η εγκάρσια κλίση του ρείθρου στη θέση του στομίου υδροσυλλογής.
L (m): το μήκος του στομίου υδροσυλλογής
Στην περίπτωση στομίων υδροσυλλογής με πλευρικό άνοιγμα, που τοποθετούνται σε θέσεις κρασπέδου αστικών οδών ή τριγωνικών ρείθρων υπεραστικών οδών ή αυτοκινητοδρόμων, όπου υπάρχει συσσώρευση ποσοτήτων νερού λόγω μηδενικών κατά μήκος κλίσεων, τα στόμια υδροσυλλογής λειτουργούν είτε ως υπερχειλιστές όταν το βάθος νερού στην είσοδο του στομίου είναι μικρότερο από το ύψος του ανοίγματος είτε ως οπές όταν το βάθος νερού στην είσοδο του στομίου είναι μεγαλύτερο τουλάχιστον κατά 40% από το ύψος του ανοίγματος του στομίου υδροσυλλογής. Στις περιπτώσεις ενδιάμεσου βάθους ροής στην είσοδο του στομίου, λαμβάνεται ο μέσος όρος της απορροφητικότητας του στομίου για λειτουργία είτε ως υπερχειλιστής είτε ως οπή.
Στην προηγούμενη περίπτωση η απορροφητικότητα των στομίων υδροσυλλογής τύπου πλευρικού ανοίγματος, υπολογίζεται αντιστοίχως για τις δύο προηγούμενες περιπτώσεις συνθηκών ροής, από τα διαγράμματα στα Σχήματα 5.4.3-2 και 5.4.3-3 (βλέπε Παράρτημα Α).
Τα υπόψη διαγράμματα κυρίως αποτελούν βοήθημα για τον έλεγχο του σχεδιασμού των φρεατίων υδροσυλλογής. Ο μελετητής μπορεί να χρησιμοποιεί κατάλληλο λογισμικό που υπάρχει στο εμπόριο ή να συνθέσει δικό του λογισμικό κατ' ελάχιστο με τη χρήση του Microsoft Excel.
Σ' αυτά τα διαγράμματα τα υδραυλικά μεγέθη που συμμετέχουν είναι:
Qi (L/s): η απορροφητικότητα του στομίου υδροσυλλογής.
d (m): το βάθος του συσσωρευμένου νερού στην θέση εισόδου του στομίου υδροσυλλογής.
h (m): το ύψος του πλευρικού ανοίγματος του στομίου.
L (m): το μήκος ανοίγματος του πλευρικού στομίου.
d0 (m): η διαφορά ύψους μεταξύ της ανώτατης στάθμης του νερού και του μέσου του ύψους του πλευρικού ανοίγματος, στην είσοδο του στομίου υδροσυλλογής
di (m): η διαφορά ύψους μεταξύ της ανώτατης στάθμης του νερού και του κάτω χείλους του πλευρικού ανοίγματος, στην είσοδο του στομίου υδροσυλλογής.
4.4. Απορροφητικότητα Στομίων Υδροσυλλογής με Σχάρα και Πλευρικό Άνοιγμα
Η απορροφητικότητα σύνθετων στομίων υδροσυλλογής, που είναι συνδυασμός σχάρας και πλευρικού ανοίγματος τα οποία κατασκευάζονται στην ίδια θέση, όταν αυτά λειτουργούν με συνθήκες υπερχείλισης στην είσοδό τους, είναι ίση με την απορροφητικότητα μόνο της σχάρας τους, ενώ το πλευρικό άνοιγμα δεν προσθέτει τίποτα για την αύξηση αυτής. Αντίθετα όταν λειτουργούν με συνθήκες οπής, τότε η απορροφητικότητά τους είναι το άθροισμα της απορροφητικότητας του πλευρικού ανοίγματος και της σχάρας.
4.5. Απορροφητικότητα Στομίων Υδροσυλλογής με Επιμήκη Σχισμή (π.χ. κοίλο ρείθρο)
Τα στόμια οριζόντιας σχισμής σε θέσεις χαμηλών σημείων (κοίλα μηκοτομής) λειτουργούν ως υπερχειλιστές για βάθος νερού περίπου 6 cm, σε συνάρτηση με το πλάτος της σχισμής. Για βάθη μεγαλύτερα από 12 cm λειτουργούν ως οπές. Μεταξύ αυτών των βαθών η ροή βρίσκεται σε μεταβατική κατάσταση. Η απορροφητικότητα των στομίων σχισμής μπορεί να υπολογίζεται από τις εξισώσεις:
α. με λειτουργία υπερχειλιστή
(5.4.5-1)
β. με λειτουργία οπής
(5.4.5-2)
για το σύνηθες πλάτος οπής 4 cm η εξίσωση γίνεται:
(5.4.5-3)
όπου:
CW (-): συντελεστής υπερχειλιστή, παίρνει ποικίλες τιμές αναλόγως του βάθους της ροής και του μήκους της σχισμής, η τυπική τιμή είναι 1,4
L (m): το μήκος της σχισμής
d (m): το βάθος νερού στην όψη του κρασπέδου μετρούμενο από την κανονική εγκάρσια κλίση για την περίπτωση λειτουργίας υπερχειλιστή και για βάθος νερού πάνω από τη σχισμή d ≤ 12 cm στην περίπτωση λειτουργίας οπής.
Η εφαρμογή στομίων σχισμής σε χαμηλά σημεία της μηκοτομής επιτρέπεται με την προϋπόθεση ότι ο υποδοχέας αγωγός κάτω από το στόμιο κατασκευάζεται με ελάχιστη κατά μήκος κλίση 0,5%. Αυτή η κατασκευή είναι δυνατή με προκατασκευασμένα τεμάχια (υπάρχουν στο εμπόριο από βιομηχανική παραγωγή) μεταβλητού βάθους που επιτυγχάνουν κλίση 0,5% επί μήκους τουλάχιστον 20 m.
Τα εν λόγω στόμια υδροσυλλογής όταν τοποθετούνται σε συνεχή κατά μήκος κλίση και με βάθος ροής d ≤ 0,12 m υπεράνω του στομίου, τότε η απορροφητικότητα τους σε συνδυασμό με την κατά μήκος και την εγκάρσια κλίση του ρείθρου, προκύπτει με βάση τα διαγράμματα στα Σχήματα σειράς 5.4.5-1 ((m)). Σ' αυτά τα διαγράμματα τα υδραυλικά μεγέθη που συμμετέχουν είναι:
Qi (L/s): η απορροφητικότητα του στομίου υδροσυλλογής.
d (m): βάθος νερού υπεράνω της σχισμής του στομίου υδροσυλλογής.
L (m): το μήκος της σχισμής.
W (m): το πλάτος της σχισμής του στομίου υδροσυλλογής.
Όταν τα στόμια υδροσυλλογής τύπου επιμήκους σχισμής τοποθετούνται σε σημεία ρείθρων όπου υπάρχει κοίλωμα ερυθράς και συμβαίνει βάθος ροής d > 0,12 m, τότε η απορροφητικότητα του στομίου υπολογίζεται από το διάγραμμα στο Σχήμα 5.4.5-2. Από το υπόψη διάγραμμα υπολογίζεται η παροχετευτικότητα επιμήκους στομίου με σχισμή πλάτους W = 1 cm. Για οποιοδήποτε άλλο πλάτος σχισμής W', η απορροφητικότητα που προκύπτει από το διάγραμμα στο Σχήμα 5.4.5-2 πολλαπλασιάζεται με το λόγο (W'/W).
4.6. Απορροφητικότητα Στομίων Υδροσυλλογής σε Γέφυρες
Η απορροφητικότητα στομίων υδροσυλλογής, είτε τύπου σχάρας είτε πλευρικού ανοίγματος, τα οποία τοποθετούνται σε γέφυρες, υπολογίζεται σύμφωνα με τα όσα αναπτύσσονται στις προηγούμενες παραγράφους 5.4.1 έως 5.4.5. Επισημαίνεται ότι η απορροφητικότητα τους δεν μπορεί να υπερβαίνει την ικανότητα απαγωγής της οπής εκτόνωσης των στομίων προς τα οριζόντια και κατακόρυφα τμήματα των στηλών αποχέτευσης των γεφυρών, η οποία συνήθως συνίσταται από σωλήνα διαμέτρου 100 ή 150 mm.
Στα διαγράμματα των Σχημάτων 5.4.6-1 και 5.4.6-2 παρουσιάζεται η ικανότητα απαγωγής από οπή στομίου υδροσυλλογής γέφυρας διαμέτρου 100 mm, για διάφορες κατά μήκος κλίσεις S της ακμής του πέρατος του οδοστρώματος κατά μήκος του κρασπέδου της γέφυρας, για εγκάρσια κλίση SX στην είσοδο του στομίου υδροσυλλογής ίση με 3%, και για βάθος ροής d στη θέση της εισόδου του στομίου υδροσυλλογής. Το διάγραμμα στο Σχήμα 5.4.6-1 έχει εφαρμογή σε συνεχή κατά μήκος κλίση της ροής επί της γέφυρας ενώ το διάγραμμα στο Σχήμα 5.4.6-2 σε κοίλα σημεία της ερυθράς της ροής επί της γέφυρας και με συνθήκες λιμνάσματος των προς αποχέτευση νερών.
4.7. Απορροφητικότητα στομίων υδροσυλλογής σε συνεχή κατωφέρεια
Η απορροφητικότητα ενός στομίου υδροσυλλογής σε συνεχή κατωφέρεια μπορεί να υπολογίζεται προσδιορίζοντας την παροχή του μέρους του ρείθρου που είναι αμέσως μετά το πλάτος του στομίου. Από την έρευνα και την πείρα έχει βρεθεί ότι αυτή αποδίδει πολύ λογικά την παροχή που προσπερνά το στόμιο για τις συνήθεις εφαρμογές σε οδούς. Αυτή η μέθοδος υπολογισμού είναι ελαφρώς συντηρητική για πολύ ήπιες κατά μήκος κλίσεις, καθώς η διακοπή της παράπλευρης ροής αγνοείται, ενώ είναι μη συντηρητική για πολύ ισχυρές κλίσεις όπου συμβαίνει εκτίναξη των νερών. Αυτή η μέθοδος είναι η πλέον ακριβής όταν οι ταχύτητες βρίσκονται μεταξύ 1 έως 1,5 m/s σε κατά μήκος κλίση από 2 έως 3% (περισσότερες λεπτομέρειες δίνονται στην εγκύκλιο No 12 της FHWA).
Η ροή που προσπερνά το πρώτο στόμιο θα πρέπει να υπολογίζεται και να προστίθεται στη ροή που φθάνει στο επόμενο κατάντη στόμιο. Αυτή η διαδικασία της συνεχούς μεταφοράς των ποσοτήτων που προσπερνούν το κάθε στόμιο υδροσυλλογής πρέπει να συνεχίζεται μέχρι το τέλος της κατωφέρειας ή το τελευταίο στόμιο υδροσυλλογής του συστήματος. Από το τελευταίο στόμιο ενός συστήματος επιτρέπεται να προσπερνά ποσότητα 0,003 m3/s για τη μέγιστη ένταση βροχόπτωσης δεκαετίας χωρίς να προβλέπεται τίποτε επιπλέον.
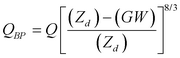
Η ποσότητα της ροής που προσπερνά το στόμιο σε μια συνεχή κατωφέρεια υπολογίζεται ως εξής:

όπου:
QBP (m3/s): το μέρος της ροής έξω από το πλάτος της σχάρας
Q (m3/s): η ποσότητα ροής του ρείθρου πριν από το στόμιο υδροσυλλογής
Zd (m): το πλάτος της επιφάνειας του πρίσματος της ροής
GW (m): το συνολικό πλάτος της σχάρας που μετράται καθέτως προς τη ροή
4.8. Απορροφητικότητα σε χαμηλά σημεία (κοίλες καμπύλες μηκοτομής οδού)
Η λειτουργία των στομίων σε θέσεις χαμηλών σημείων της μηκοτομής είναι διαφορετική από εκείνων που βρίσκονται σε συνεχή κατωφέρεια. Εξ ορισμού ένα χαμηλό σημείο σε οποιοδήποτε τμήμα της οδού συμβαίνει όπου η κατά μήκος κλίση αλλάζει από αρνητική σε θετική (από κατωφέρεια σε ανωφέρεια).
Τα μέτρα αντιμετώπισης της αποχέτευσης σε μια θέση χαμηλού σημείου έχουν ιδιαίτερη προτεραιότητα όταν μάλιστα η κατακλυζόμενη επιφάνεια καλύπτει περισσότερο από το μισό πλάτος της όμορης (ως προς την κατά μήκος ροή) λωρίδας κυκλοφορίας, λόγω της έμφραξης όλων των στομίων υδροσυλλογής από φερτά υλικά. Η δημιουργούμενη λίμνη των νερών συνήθως περιορίζεται από ένα κράσπεδο, ένα στηθαίο ασφαλείας New Jersey, ένα τοίχο αντιστήριξης, ή άλλο εμπόδιο που εμποδίζουν την απομάκρυνση της απορροής από την όμορη λωρίδα κυκλοφορίας.
Η αντιμετώπιση της αποχέτευσης σε χαμηλά σημεία όπου είναι δυνατή η υπερπήδηση του κρασπέδου και η απομάκρυνση της απορροής από το κυκλοφορούμενο πλάτος της οδού έχει δευτερεύουσα σημασία, επειδή το συσσωρευόμενο νερό συνήθως εκτείνεται σε πλάτος λιγότερο από το ήμισυ της όμορης λωρίδας κυκλοφορίας. Με αυτή τη συνθήκη υπάρχει μικρός κίνδυνος για την οδική ασφάλεια ακόμη και όταν τα στόμια υδροσυλλογής δε λειτουργούν όπως έχουν σχεδιαστεί.
Θεωρητικώς, τα στόμια υδροσυλλογής που τοποθετούνται σε χαμηλά σημεία της μηκοτομής μπορεί να λειτουργούν με δυο τρόπους. Στα μικρά βάθη συγκέντρωσης νερών το στόμιο θα λειτουργεί ως υπερχειλιστής, ενώ στα μεγαλύτερα βάθη νερού το στόμιο λειτουργεί ως οπή. Είναι πολύ σπάνιο σε θέσεις όπου λιμνάζουν νερά επί της οδού να επιτρέπεται η αύξηση του βάθους τους, προκειμένου τα στόμια να λειτουργήσουν ως οπές. Ως αποτέλεσμα προκύπτει πως μπορεί να θεωρείται ασφαλώς ότι το στόμιο λειτουργεί ως υπερχειλιστής με τη ροή να υπερχειλίζει εντός αυτού και από τις τρεις πλευρές του στομίου που είναι εκτεθειμένες στη ροή η οποία συγκεντρώνεται.
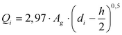
Η παροχετευτικότητα ενός στομίου που λειτουργεί ως υπερχειλιστής υπολογίζεται από την εξίσωση:
(5.4.8-1)
όπου:
Q (m3/s): η παροχετευτικότητα του στομίου
P (m): η περίμετρος της σχάρας
d (m): το βάθος του λιμνάζοντος νερού
Για τον υπολογισμό του βάθους όταν η παροχή Q είναι γνωστή χρησιμοποιείται η εξίσωση:
(5.4.8-2)
Οποιοδήποτε τμήμα της οδού βρίσκεται σε κοίλη καμπύλη μηκοτομής θα πρέπει να σχεδιάζεται με τέσσερα κριτήρια:
α. Ένα στόμιο θα πρέπει να τοποθετείται στη χαμηλότερη στάθμη της κοίλης διαμόρφωσης. Σε αυτή τη θέση θα πρέπει να χρησιμοποιείται ένα συνδυασμένο στόμιο (σχάρα και πλευρικό άνοιγμα) για να παρέχει συνεχή απορρόφηση της ροής, όταν η σχάρα εμφράσσεται από φερτά. Για τον προσδιορισμό αυτού του χαμηλού σημείου πρέπει να ελέγχεται η κατά μήκος τομή της τάφρου και όχι η μηκοτομή της οδού. Το βάθος του λιμνάζοντος νερού πάνω από αυτό το στόμιο ονομάζεται dB.
β. Δυο πρόσθετα παράπλευρα στόμια θα πρέπει να τοποθετούνται εκατέρωθεν του στομίου που προαναφέρεται στο πρώτο κριτήριο. Αυτά τα στόμια μπορεί να είναι κανονικά στόμια μόνο με σχάρα, και θα πρέπει να τοποθετούνται έτσι ώστε το λιμνάζον νερό να έχει βάθος d = 0,5 dB, πάνω από αυτά τα στόμια όταν το ήμισυ της όμορης λωρίδας κυκλοφορίας καλύπτεται από το λιμνάζον νερό.
γ. Η ένταση της βροχόπτωσης για πεντηκονταετή περίοδο επαναφοράς θα πρέπει να χρησιμοποιείται για το σχεδιασμό των προαναφερόμενων τριών στομίων.
δ. Ως προϋπόθεση για το σχεδιασμό λαμβάνεται ότι τα τρία στόμια βρίσκονται υπό έμφραξη κατά 50%. Αυτό σημαίνει ότι κατά τους υπολογισμούς η συνολική διαθέσιμη περίμετρος θα πρέπει να μειώνεται κατά το ήμισυ. Αυτή η διόρθωση είναι επιπρόσθετη από τη μείωση της περιμέτρου που γίνεται για να ληφθεί υπόψη το εμπόδιο που προκαλούν οι ράβδοι της σχάρας.
Οδός: ________ Τμήμα: ΧΘ________ - ________
|
Στόμιο
υδροσυλλογής
|
Υπολογιζόμενη παροχή ρείθρου
|
Παροχή ρείθρου
|
Απορρόφηση στομίου
|
Παρατηρήσεις
|
Περίοδος επαναφοράς σχεδιασμού:
|
Επιτρεπόμενο πλάτος επιφάνειας ροής
|
Αριθμός
|
Θέση
|
Εισφέρουσα επιφάνεια
|
Συντελεστής απορροής
|
Χρόνος
συγκέντρωσης
|
Ένταση βροχόπτωσης
|
Q=C i A/(3.6 x 106)
|
Κατά μήκος κλίση
|
Εγκάρσια κλίση
|
Προηγούμενη προσπερνούσα ροή
|
Συνολική ροή Gutter
|
Βάθος ροής
|
Πλάτος σχάρας ή ρείθρου
|
Πλάτος
κατακλυζόμενο
|
Λόγος
|
Τύπος στομίου
|
Απορροφούμενη παροχή (ροή)
|
Προσπερνούσα παροχή (ροή)
|
|
|
Α
|
C
|
tC
|
i
|
a
|
S
|
SX
|
Qb-1
|
QG
|
d
|
W
|
T
|
W/T
|
|
Qi
|
Qb
|
No
|
ΧΘ
|
(m2)
|
(-)
|
(min)
|
(mm/h)
|
(m3/s)
|
(m/m)
|
(m/m)
|
(m3/s)
|
(m3/s)
|
(m)
|
(m)
|
(m)
|
(-)
|
(-)
|
(m3/s)
|
(m3/s)
|
1
|
2
|
3
|
4
|
5
|
6
|
7
|
8
|
9
|
10
|
11
|
12
|
13
|
14
|
15
|
16
|
17
|
18
|
19
|
|
|
|
|
|
|
|
|
|
|
|
|
|
|
|
|
|
|
|
|
|
|
|
|
|
|
|
|
|
|
|
|
|
|
|
|
|
|
|
|
|
|
|
|
|
|
|
|
|
|
|
|
|
|
|
|
|
|
|
|
|
|
|
|
|
|
|
|
|
|
|
|
|
|
|
|
|
|
|
|
|
|
|
|
|
|
|
|
|
|
|
|
|
|
|
|
|
|
|
|
|
|
|
|
|
|
|
|
|
|
|
|
|
|
|
|
|
|
|
|
|
|
|
|
|
|
|
|
|
|
|
|
|