| Συνδεθείτε στην Υπηρεσία Νομοσκόπιο | | | | | Νέοι χρήστες | | Εάν είστε νέος χρήστης, θα πρέπει να δημιουργήσετε ένα ΔΩΡΕΑΝ λογαριασμό προκειμένου να φύγει το παράθυρο αυτό και να αποκτήσετε πλήρη πρόσβαση στην υπηρεσία Νομοσκόπιο. | | Δημιουργία νέου λογαριασμού | | |
1. Εισαγωγή
Τα υδραυλικά προβλήματα που εμφανίζονται στις θέσεις τεχνικών έργων των οδών αντιμετωπίζονται με τις υδραυλικές μελέτες οι οποίες αφορούν:
α. την αποχέτευση - αποστράγγιση του καταστρώματος των γεφυρών με σκοπό τη διασφάλιση της ομαλής κυκλοφορίας, την προστασία της ίδιας της κατασκευής και του περιβάλλοντα χώρου,
β. την προστασία των γεφυρών από τη ροή των νερών ποταμών ή ρεμάτων με τα κατάλληλα έργα διευθέτησης της ροής αυτών (βλέπε κεφάλαιο 10).
Κατά το στάδιο της μελέτης ο σχεδιασμός των διατάξεων που αντιμετωπίζουν τα υδραυλικά προβλήματα πρέπει να λαμβάνει υπόψη και το βασικό στατικό σχεδιασμό των τεχνικών έργων (βλέπε ΟΜΟΕ - Τεχνικά Έργα Οδών).
2. Αποχέτευση Καταστρώματος Γεφυρών
Το σύστημα αποχέτευσης γέφυρας συνίσταται από τις διατάξεις υδροσυλλογής επί του καταστρώματος και στα άκρα της γέφυρας. Στα επόμενα περιγράφεται ο τρόπος προσέγγισης της μελέτης του συστήματος αποχέτευσης γεφυρών που θα πρέπει να εφαρμόζεται με συνέπεια στο σχεδιασμό γεφυρών.
2.1. Διαδικασία μελέτης
Για τη μελέτη αποχέτευσης μιας γέφυρας εφαρμόζεται η ακόλουθη διαδικασία.
(1) Προσδιορίζεται εάν υπάρχει ανάγκη τοποθέτησης διατάξεων αποχέτευσης του καταστρώματος της γέφυρας.
(2) Εφόσον τέτοιες χρειάζονται, προσδιορίζεται το μέγεθος και η απόσταση μεταξύ των στομίων υδροσυλλογής.
(3) Ερευνώνται εκείνες οι συνθήκες όπου ο κίνδυνος υδροολίσθησης των οχημάτων θα πρέπει να αντιμετωπισθεί.
(4) Αξιολογείται η ορατότητα του οδηγού για τις συνθήκες βροχόπτωσης.
(5) Αξιολογείται και προβλέπεται η αποχέτευση στις περιοχές ακροβάθρων της γέφυρας, όπως αρμόζει.
Για την υλοποίηση αυτής της διαδικασίας χρειάζεται μόνο η πληροφορία για:
| • | Την κατά μήκος διάταξη του καταστρώματος (μήκος γέφυρας και πλακών πρόσβασης). |
| • | Την κατά πλάτος διάταξη του καταστρώματος (πλάτος γέφυρας, κατάστρωμα και πεζοδρόμια, στηθαία). |
| • | Τις κατά μήκος και εγκάρσιες κλίσεις του καταστρώματος. |
| • | Την ταχύτητα μελέτης της οδού. |
Οι εξισώσεις που χρησιμοποιούνται προσδιορίζουν την έκταση στην οποία η γέφυρα χρειάζεται αποχετευτικά στοιχεία.
Η άρτια μελέτη αποχέτευσης απαιτεί να προϋπάρχει γνώση για τον τρόπο ροής των ομβρίων επί της οδού και μεταξύ αυτής και της κατασκευής της γέφυρας. Σημειωτέον ότι ενώ μπορεί να μη είναι αναγκαία η αποχέτευση του καταστρώματος, η αποχέτευση στα ακρόβαθρα της γέφυρας είναι πάντα απαραίτητη. Η πλήρης εκτόνωση της απορροής, που προσέρχεται από τα ανάντη (ως προς τη γέφυρα), πρόσβαση της οδού, χρειάζεται ώστε αυτή να μη εισρέει στο κατάστρωμα της γέφυρας. Αντιστοίχως στα κατάντη η διάταξη αποχέτευσης στη θέση του ακροβάθρου της γέφυρας θα πρέπει να έχει επαρκή παροχετευτικότητα, για την πλήρη απομάκρυνση κάθε ροής που προέρχεται από το κατάστρωμα της γέφυρας ώστε να μη δημιουργείται κίνδυνος για τις ευπαθείς περιοχές γύρω από τα ακρόβαθρα.
Στην περιγραφόμενη εδώ διαδικασία αναμένεται αλλά και ενθαρρύνεται η χρήση της κρίσης του μηχανικού. Εντούτοις, εφόσον ο μελετητής αποφασίζει να παρεκκλίνει από τις περιγραφόμενες διαδικασίες, τότε οι λόγοι της παρέκκλισης πρέπει να δηλώνονται με πλήρη σαφήνεια και να αποφασίζονται πριν από την εκπόνηση της οριστικής μελέτης της γέφυρας.
2.2. Ορισμοί
W (m): Το πλάτος της αποχετευόμενης επιφάνειας. Τυπικά είναι το 1/2 του πλάτους της οδού σε αμφικλινή επιφάνεια καταστρώματος της γέφυρας ή ολόκληρο το πλάτος σε μονοκλινή επιφάνεια καταστρώματος της γέφυρας.
T (m): Το πλάτος κατακλυσμού της μελέτης. Είναι το μέγιστο αποδεκτό κατακλυζόμενο από νερά πλάτος ροής ρείθρου. Για ταχύτητες μελέτης ≥80 km/h το Τ εξισώνεται με το πλάτος του ρείθρου και δεν επιτρέπεται κατακλυσμός καθόλου των λωρίδων κυκλοφορίας. Για ταχύτητες μελέτης <80 km/h μπορεί να επιτρέπεται ο κατακλυσμός πλάτους που φτάνει μέχρι το αναμενόμενο ίχνος των εξωτερικών τροχών των οχημάτων, δηλαδή περίπου 90 cm μέσα στην κυκλοφορούμενη λωρίδα.
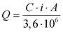
Ο σκοπός των συστημάτων αποχέτευσης καταστρώματος γεφυρών είναι η απομάκρυνση των ομβρίων (η δημιουργούμενη ροή) από το κατάστρωμα της γέφυρας πριν αυτά κατακλύσουν το κυκλοφορούμενο πλάτος πέραν από το όριο που ορίζεται ως επιτρεπόμενο πλάτος κατακλυσμού της μελέτης Τ.
n (s/m1/3): Ο συντελεστής Manning. Λαμβάνεται η τιμή n = 0,018 για τα συνήθη καταστρώματα γεφυρών.
C (-): Ο συντελεστής απορροής. Λαμβάνεται η τιμή C = 0,90 (max 0,95) επειδή αναγνωρίζεται ότι μέρος της απορροής παγιδεύεται και αποθηκεύεται στα κενά και τις ατέλειες του καταστρώματος της γέφυρας.
i (mm/h): Η ένταση της βροχόπτωσης.
LS (m): Το μέγιστο μήκος καταστρώματος χωρίς στόμια υδροσυλλογής.
Lb (m): Το πραγματικό μήκος της αποχετευόμενης επιφάνειας καταστρώματος.
L (m): Το μήκος από το ψηλό σημείο της γέφυρας μέχρι το χαμηλό.
LV (m): Το μήκος από το προηγούμενο μέχρι το ν-στο στόμιο υδροσυλλογής.
ω (m): Το πλάτος του ορθογώνιου στομίου υδροσυλλογής.
S (m/m): Η κατά μήκος κλίση του καταστρώματος της γέφυρας. Αυτή η παράμετρος μεταβάλλεται όταν το κατάστρωμα εμπεριέχεται σε κατακόρυφη καμπύλη της χάραξης. Για τον υπολογισμό του μήκους LS για τα απαιτούμενα στόμια υδροσυλλογής, χρησιμοποιείται η κλίση S στην περιοχή του χαμηλότερου σημείου της γέφυρας και για τον υπολογισμό της θέσης του στομίου χρησιμοποιείται η κλίση S στην υπόψη θέση.
SX (m/m): Η εγκάρσια κλίση του καταστρώματος. Χρησιμοποιείται η μέση εγκάρσια κλίση, εκτός όταν υπολογίζονται οι θέσεις των στομίων, οπότε χρησιμοποιείται η κλίση SX σε εκείνη τη θέση.
3. Μελέτη
3.1. Επιλογή Βροχόπτωσης Σχεδιασμού - Εφαρμογή
(1) Επιλέγεται η εξίσωση υπολογισμού της βροχόπτωσης που έχει εφαρμογή στην περιοχή μελέτης. Υπολογίζεται η ένταση για περίοδο επαναφοράς πενταετή και για χρόνο συγκέντρωσης 10 min.
(2) Υπολογίζεται το πάχος μεμβράνης νερού στην επιφάνεια οδοστρώματος (βλέπε Σχήμα 7.3.1-1). Υπολογίζεται η συνισταμένη κλίση Sr της διαδρομής της ροής επί της επιφάνειας οδοστρώματος (βλέπε Σχήμα 7.3.1-2).
(7.3.1-1)
Υπολογίζεται το μήκος της υπόψη διαδρομής:
(7.3.1-2)
όπου:
Sr (mm): Η συνισταμένη κλίση
Lf (m): Το μήκος διαδρομής της ροής

ΒΥ: Βάθος Υφής οδοστρώματος, ΒΝ: Βάθος Νερού
Σχήμα 7.3.1-1: Σχηματισμός πάχους νερού στην επιφάνεια οδοστρώματος

Σχήμα 7.3.1-2: Συνισταμένη πορεία της ροής στο οδόστρωμα
Οι παράγοντες που επηρεάζουν και χρησιμοποιούνται για τον υπολογισμό του βάθους νερού ΒΝ επί της επιφάνειας οδοστρώματος είναι: το μήκος της διαδρομής ροής (Lf), το βάθος υφής της επιφάνειας κυκλοφορίας ΒΥ, η συνισταμένη κλίση Sr και η ένταση βροχόπτωσης i. Η εξίσωση με την οποία υπολογίζεται το βάθος νερού αναπτύχθηκε από το GALLAWAY (βλέπε Highway Drainage Guidelines AASHTO 1999) και είναι:
(7.3.1-3)
όπου:
ΒΝ (mm): το βάθος νερού πάνω από την ανώτατη επιφάνεια του οδοστρώματος (δεν περιλαμβάνεται το βάθος της υφής)
Lf (m): μήκος ροής
BY (mm): το μέσο βάθος της υφής
i (mm/h): ένταση βροχόπτωσης
Sr (m/m): συνισταμένη των κλίσεων εγκαρσίως και κατά μήκος
Το βάθος νερού σε σχέση με τις παραμέτρους S και SX για συγκεκριμένη ένταση βροχόπτωσης παρουσιάζεται στον Πίνακα 7.3.1-1.
Διεθνώς από πειραματικά δεδομένα έχει συμφωνηθεί ένα πεδίο τιμών του βάθους νερού που χρειάζεται για να παραχθεί το σπινάρισμα του τροχού οχήματος με απώλεια της επαφής του ελαστικού με το οδόστρωμα. Αυτό το κατά προσέγγιση επικίνδυνο βάθος είναι της τάξης των 1,5 έως 5 mm.
Με βάση την προηγούμενη εξίσωση, ανάλογα με τις συνθήκες της επιφάνειας του οδοστρώματος και της έντασης βροχόπτωσης (για δεκαετή περίοδο επαναφοράς) για μια ώρα, όταν προκύπτει βάθος νερού μεγαλύτερο από 1,5 - 5 mm τότε πρέπει να λαμβάνονται μέτρα πρόληψης της υδροολίσθησης ή / και μείωσης της σοβαρότητας των συνεπειών από τις αναμενόμενες εκτροπές οχημάτων.
Εφόσον η υδροολίσθηση αποτελεί αντικείμενο αντιμετώπισης, τα απαιτούμενα μέτρα κρίνονται από την άποψη της ασφάλειας του οδηγού. Για τον προσδιορισμό της ανάγκης υλοποίησης ή μη διορθωτικών μέτρων, συνεκτιμάται η συγχωρετικότητα της επιφάνειας επί και γύρω από τη γέφυρα. Λαμβάνονται υπόψη παράμετροι ό-πως: το μήκος της γέφυρας, το πλάτος ερεισμάτων, η θέση των στηθαίων, η κλίση πρανών όταν είναι μεγαλύτερη από υ:β=1:3, τα παρόδια ακλόνητα εμπόδια σε απόσταση μικρότερη των 9 m από την οριογραμμή κυκλοφορίας της οδού και το μήκος ευθυγραμμίας της χάραξης.
Τα διορθωτικά μέτρα που λαμβάνονται είναι : η εφαρμογή αντιολισθηρών στρώσεων ή αντιμετώπιση με άλλες μεθόδους για την αύξηση του βάθους υφής (αδρότητας) της επιφάνειας κυκλοφορίας. Αυτά τα μέτρα πρέπει να εφαρμόζονται έτσι ώστε να μην επιφέρονται αρνητικές συνέπειες στα χαρακτηριστικά της ροής του ρείθρου.
Μερικές από τις πλέον σημαντικές παραμέτρους που επηρεάζουν την υδροολίσθηση γίνονται περισσότερο αντιληπτές με τα εξής:
Η κατά 1% αύξηση της αδρότητας του οδοστρώματος αυξάνει το αποδεκτό μέγιστο βάθος νερού, όπου δεν αναμένεται υδροολίσθηση, κατά 1,6%. Η κατά 1% αύξηση του βάθους του πέλματος των ελαστικών αυξάνει το μέγιστο αποδεκτό βάθος νερού, όπου δεν αναμένεται υδροολίσθηση, κατά 0,8%. Η κατά 1% αύξηση της πίεσης των ελαστικών αυξάνει το αποδεκτό μέγιστο βάθος, όπου δεν αναμένεται υδροολίσθηση, κατά 2,4%.
Σε συνθήκες μέσης κατάστασης επιφάνειας κυκλοφορίας και ελαστικών οχήματος, η ταχύτητα V=90 km/h είναι εκείνη που ενδιαφέρει πρακτικά τον έλεγχο για υδροολίσθηση. Για μικρότερες ταχύτητες, η κατά 1% μείωση της ταχύτητας, αυξάνει το αποδεκτό μέγιστο βάθος νερού, όπου δεν αναμένεται υδροολίσθηση, κατά 25%. Σε μικρότερες ταχύτητες, η έντονη βροχόπτωση από μόνη της γενικά δεν επαρκεί για να δημιουργηθεί αιτία υδροολίσθησης. Για ταχύτητες μεγαλύτερες από 90 km/h, η κατά 1% αύξηση της ταχύτητας μειώνει το αποδεκτό μέγιστο βάθος, όπου δεν αναμένεται υδροολίσθηση, κατά 25%. Το τελευταίο σημαίνει ότι για ταχύτητες μεγαλύτερες από 90 km/h η υδροολίσθηση μπορεί να συμβεί σε εξαιρετικά λεπτές μεμβράνες νερού σε συνδυασμό με πολύ ασθενείς βροχοπτώσεις της τάξης των 25 mm/h και λιγότερο, οι οποίες συνήθως είναι μικρότερες από εκείνες που χρησιμοποιούνται για το σχεδιασμό των ρείθρων, των στομίων υδροσυλλογής και των αγωγών ομβρίων. Οι προαναφερόμενες σχέσεις μεταβολής των παραμέτρων που επηρεάζουν την ανάπτυξη του κρίσιμου βάθους υδροολίσθησης συνοψίζονται στον επόμενο Πίνακα.
Πίνακας 7.3.1-1: Σχέση χαρακτηριστικών παραμέτρων - βάθους νερού
#
|
Παράμετρος
|
Βάθος νερού υδροολίσθησης
|
Ιδιότητα
|
Μεταβολή μεγέθους
|
Μεταβολή μεγέθους
|
1
|
Αδρότητα οδοστρώματος
|
+1%
|
+1,6%
|
2
|
Βάθος πέλματος ελαστικού
|
+1%
|
+0,8%
|
3
|
Πίεση ελαστικών
|
+1%
|
+2,4%
|
4
|
Ταχύτητα < 90 km/h
|
-1%
|
+25,0%
|
5
|
Ταχύτητα > 90 km/h
|
+1%
|
-25,0%
|
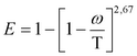
(3) Ένταση βροχόπτωσης σε σχέση με την ορατότητα του Οδηγού.
Η ένταση βροχόπτωσης i =100 mm/h είναι η στάθμη βροχόπτωσης πάνω από την οποία η ορατότητα φτάνει σε επίπεδα που δεν συνδράμουν την οδήγηση. Από την άποψη της ασφάλειας του οδηγού η τιμή της έντασης i =100 mm/h αποτελεί το άνω αποδεκτό όριο μελέτης. Ο έλεγχος της αποχέτευσης του οδοστρώματος για εντάσεις μεγαλύτερες από 100 mm/h έχει αμελητέα αξία από την άποψη της ασφάλειας του οδηγού. Κατά τη διάρκεια βροχοπτώσεων με i > 100 mm/h οι οδηγοί απομακρύνονται από τις λωρίδες κυκλοφορίας ενώ εκείνοι οι οδηγοί που παραμένουν, αναγκαστικά περιορίζονται σε πολύ χαμηλές ταχύτητες.
Όταν το κατάστρωμα της γέφυρας βρίσκεται σε κοίλη κατακόρυφη καμπύλη της μηκοτομής, τότε η πιθανότητα για σχηματισμό λιμνών νερού πρέπει να αναλύεται για περίοδο επανάληψης 50 ή 100 έτη. Σε αυτή την περίπτωση οι αντίστοιχες υψηλές τιμές της i γίνονται αποδεκτές για τα μέτρα αποχέτευσης.
(4) Επιλέγεται η ένταση βροχόπτωσης i μελέτης.
Η ένταση βροχόπτωσης δίνεται από εξισώσεις που έχουν καθορισθεί για κάθε συγκεκριμένη περιοχή.
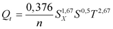
3.2. Απαίτηση για στόμια υδροσυλλογής
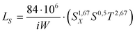
Το επιτρεπόμενο μήκος LS χωρίς στόμια προσδιορίζεται από την εξίσωση:
(7.3.2-1)
Χρησιμοποιώντας τις τιμές C=0,9 και n=0,018 η εξίσωση γίνεται:
(7.3.2-2)
Σημειώνεται ότι πρέπει να χρησιμοποιείται ως τιμή κατά μήκος κλίσης S η κλίση που επικρατεί στο χαμηλότερο άκρο της γέφυρας.
3.3. Τοποθέτηση των στομίων υδροσυλλογής
Πριν από τον υπολογισμό των αποστάσεων για τις θέσεις των στομίων υδροσυλλογής συνοψίζονται τα στοιχεία που καθορίζουν τις παραδοχές για σωστή αποχέτευση.
Τα συστήματα αποχέτευσης καταστρώματος γεφυρών δημιουργούν το πρόβλημα για συνεχή συντήρηση. Η μόνη ασφαλής μέθοδος για την αποφυγή της συντήρησης είναι η κατάργηση των στομίων υδροσυλλογής όταν αυτά δεν είναι απαραίτητα.
Όταν είναι εφικτό πρέπει να χρησιμοποιείται η ελεύθερη πτώση των νερών σε σχέση βέβαια με τις χρήσεις του χώρου κάτω από τη γέφυρα. Συστήματα ελεύθερης πτώσης θα πρέπει να επεκτείνονται ώστε τα σημεία εκροής να βρίσκονται κάτω από την ανωδομή και να τοποθετούνται μακριά από τα βάθρα ώστε να αποφεύγεται η διαβροχή των μελών της γέφυρας με την επιρροή των ανέμων. Τα χημικά συστατικά της απορροής θα προκαλούν διάβρωση και καταστροφή, γιαυτό πρέπει η αποχέτευση να καθοδηγείται πάντα μακριά από τα μέλη της γέφυρας. Επίσης τέτοια συστήματα θα πρέπει να τοποθετούνται έτσι ώστε η πτώση του νερού να μη προκαλεί βλάβη σε οτιδήποτε είναι κάτω από τη γέφυρα. Μια ελεύθερη πτώση που υπερβαίνει σε ύψος τα 7,5 m θα διασπείρει επαρκώς το νερό έτσι ώστε να μη συμβαίνει καμία βλάβη από διάβρωση στις επιφάνειες του εδάφους κάτω από τη γέφυρα. Για ύψος < 7,5 m στη θέση της πτώσης του νερού μπορεί να χρειάζεται η τοποθέτηση τεχνικών ή φυσικών ογκολίθων ή λιθορριπής επάνω σε γαιοΰφασμα. Η απορροή δεν πρέπει να πέφτει επάνω σε οδούς, σιδηροδρομικές γραμμές, πεζοδρόμους κ.τ.λ.
3.4. Στόμια υδροσυλλογής και σωλήνες εκτόνωσης
Εφόσον μια εκτόνωση με σωλήνα είναι απαραίτητη για τη μεταφορά της ροής σε συλλεκτήρια τάφρο ή άλλο αγωγό κάτω από τη γέφυρα τότε τα στόμια υδροσυλλογής θα πρέπει να τοποθετούνται κοντά στα βάθρα. Έτσι θα δίνεται η δυνατότητα για τη στήριξη κατακόρυφης σωλήνωσης και για να αποφεύγεται η μεγάλη διαδρομή του σωλήνα εκτόνωσης η οποία θα χρειάζεται ειδικά στοιχεία στήριξης κ.τ.λ.
Γενικά οι θεωρητικές θέσεις τοποθέτησης που προσδιορίζονται με την παρούσα μεθοδολογία είναι προσεγγιστικές. Εναπόκειται στο μελετητή, επιπρόσθετα από τις τιμές που θα προκύψουν με τους υδραυλικούς υπολογισμούς, να λαμβάνει υπόψη και άλλα στοιχεία, όπως η υποχρεωτική τοποθέτηση των στομίων υδροσυλλογής στα ανάντη των αρμών των γεφυρών κ.τ.λ.
Οι βλάβες που έχουν σχέση με διάβρωση συνήθως παρατηρούνται κοντά σε αρμούς και ελαττωματικά αποχετευτικά στοιχεία, όπου συμβαίνει διαρροή. Αυτές οι βλάβες συμβαίνουν όταν προκαλείται διάβρωση των τενόντων προέντασης, των χαλύβδινων πλακών αγκύρωσης και του συνήθους σιδηρού οπλισμού. Είναι σημαντικό να συνεκτιμάται ο κίνδυνος από τα αντιπαγετικά άλατα που χρησιμοποιούνται κατά τη χειμερινή περίοδο, τα οποία επιταχύνουν τα αποτελέσματα της διάβρωσης.
Για να αποφεύγεται ο διπλασιασμός της πιθανότητας διάβρωσης σε μια θέση, συνιστάται τα στόμια υδροσυλλογής να τοποθετούνται σε απόσταση 2-3 m από τους αρμούς και στα ανάντη αυτών.
Όλες οι σχάρες στα στόμια υδροσυλλογής θα πρέπει να είναι ανοιγόμενες και θα πρέπει να έχουν επαρκές μέγεθος με διαστάσεις από 20 x 20 έως 60 x 50 cm. Επίσης οι σχάρες θα πρέπει να παρέχουν κάποιο στοιχείο προστασίας από βανδαλισμούς. Ένα τέτοιο στοιχείο είναι η τοποθέτηση κοχλία τύπου alen.
3.5. Προσδιορισμός της θέσης στομίων υδροσυλλογής
Υπολογίζεται η απόσταση L, από το υψηλό σημείο μέχρι το πρώτο σημείο υδροσυλλογής.
Χρησιμοποιώντας την εξίσωση Manning, για ροή σε τριγωνικό ρείθρο υπολογίζεται η παροχή σε (m3/s):
(7.3.5-1)
και χρησιμοποιώντας n=0,018 η εξίσωση γίνεται:
(7.3.5-2)
Η απορροή σε (m3/s) για επιφάνεια Α σε (m2) με την εξίσωση της ορθολογικής μεθόδου είναι:
(7.3.5-3)
Συνδυάζοντας την εξίσωση Manning με την ορθολογική μέθοδο και λύνοντας ως προς L προκύπτει από την επόμενη εξίσωση η απαιτούμενη απόσταση των σημείων υδροσυλλογής σε (m).
(7.3.5-4)
Χρησιμοποιώντας τις τιμές C=0,9, n=0,018 η εξίσωση γίνεται:
(7.3.5-5)
Σημειώνεται ότι για τον υπολογισμό της θέσης του στομίου υδροσυλλογής χρησιμοποιείται η κλίση S που υπάρχει στο σημείο της γέφυρας όπου αναμένεται να τοποθετηθεί το στόμιο υδροσυλλογής.
Σε μια κατακόρυφη καμπύλη η κλίση μεταβάλλεται γραμμικά. Ως εκ τούτου λαμβάνεται κλίση S=0 στο υψηλό και χαμηλό σημείο και μεταβαλλόμενη προς τα άκρα της κατακόρυφης καμπύλης σε συνάρτηση με την απόσταση.
Όταν η τιμή της κλίσης S μεταβάλλεται τότε υπολογίζεται η απόσταση L με τη μέθοδο παλινδρόμησης η οποία απαιτεί μια αρχική υπόθεση. Όταν η κλίση S είναι σταθερή προφανώς η διαδικασία υπολογισμού με παλινδρόμηση περιττεύει. Για αυτόν τον τρόπο υπολογισμού της τιμής L συνιστάται να συντάσσεται ένας πίνακας όπως:
Αρχική υποθετική τιμή απόστασης
|
Κατά μήκος κλίση που υπολογίζεται μεταξύ των άκρων της απόστασης LV
|
Υπολογιζόμενη απαιτούμενη απόσταση L στομίου για την κλίση SV
|
LV
|
SV
|
L
|
Όταν η υπολογιζόμενη L είναι μεγαλύτερη από την υποθετική, αυξάνεται η υποθετική LV και γίνεται επαναϋπολογισμός. Εάν η υπολογιζόμενη L είναι μικρότερη από την υποθετική LV, μειώνεται η υποτιθέμενη LV και γίνεται επαναϋπολογισμός. Όταν η υπολογιζόμενη L εξισώνεται με την υποθετική L τότε αυτή είναι η τιμή εφαρμογής.
Οι αποστάσεις L μπορούν να αναθεωρούνται και να μετακινούνται προς τα ανάντη προ-κειμένου να διευκολυνθεί η τοποθέτηση των στομίων. Για παράδειγμα, η απόσταση L μπορεί να ελαττώνεται έτσι ώστε να βρίσκεται ένα στόμιο 2 - 3 m ανάντη από έναν αρμό και για να είναι κοντά σε ένα βάθρο που θα διευκολύνει τη στερέωση του κατακόρυφου σωλήνα εκτόνωσης.
ω (m): Πλάτος στομίου. Επιλέγεται το πλάτος. Υποτίθεται ότι οι μικρές ορθογώνιες σχάρες έχουν πλάτος από 20 έως 50 cm. Συνιστάται να χρησιμοποιείται πλάτος μεγαλύτερο από 30 cm για καταστρώματα όπου η διαδρομή της ροής είναι μεγαλύτερη από 240 m.
Ε (-): Παροχετευτικότητα στομίου. Αυτή είναι το κλάσμα της τριγωνικής διατομής ροής που προσέρχεται και απορροφάται από το στόμιο που βρίσκεται δίπλα στο στηθαίο ή κράσπεδο.
(7.3.5-6)
Υπολογίζεται η παροχή QR1 της ροής στο πρώτο στόμιο.

Τότε λαμβάνοντας C=0,9

Υπολογίζεται η απορροφώμενη ροή q1 στο πρώτο στόμιο

Υπολογίζεται η απόσταση μέχρι το δεύτερο στόμιο l1. Επιλέγεται η απόσταση l1 με την διαδικασία παλινδρόμησης όπως ακριβώς για την εύρεση της L, (αυτή καθορίζει την κλίση S2 στο μήκος L + l1).
Υπολογίζεται η ροή στο δεύτερο στόμιο αφαιρούμενης της απορροφώμενης ροής q1.

Τίθεται QR2 = QT2 και λύνεται η εξίσωση για t, το οποίο είναι το πραγματικό πλάτος που κατακλύζεται.
Εάν το πραγματικό πλάτος που κατακλύζεται t είναι ίσο με το αποδεκτό πλάτος κατακλυσμού της μελέτης Τ τότε οι αποστάσεις των στομίων είναι σωστές.
Εάν t<T αυξάνεται η l1
Εάν t>T μειώνεται η l1
Πάλι, αναθεωρείται η θεωρητική απόσταση l1 (l2, l3 κ.τ.λ.) στα ανάντη για πρακτικούς λόγους.
Σημειώνεται, ότι σε τμήματα ευθυγραμμίας, η απόσταση l1 είναι σταθερή και ισούται με τη μέγιστη απαιτούμενη απόσταση μεταξύ των στομίων.
Προσδιορίζεται η απορροφώμενη ροή q2 στο δεύτερο στόμιο:

Με QR2, που υπολογίζεται στη θέση L+l1 βρίσκεται η απόσταση l2 μέχρι το τρίτο στόμιο. Αυτή η θέση έχει κλίση S3.
(1) Επιλέγεται η l2 (αυτή καθορίζει την S3 ως την κλίση στο μήκος L + l1 + l2)
(2) QR2 =0,250 i W (L+l1+l2)- q1- q2
(3) Βρίσκεται το πλάτος κατακλυσμού t χρησιμοποιώντας την εξίσωση QR3 = 21 SX1,67 S0,5 T2,67
(4) Εάν t=T η απόσταση είναι σωστή.
Εάν t<T αυξάνεται η l2
Εάν t>T μειώνεται η l2
Συνεχίζεται το ίδιο για τις αποστάσεις l3, l4, .., lV , μέχρις ότου η L συν το άθροισμα των αποστάσεων γίνει ίση με το μήκος της γέφυρας.
Ο αριθμός των στομίων είναι ν. Εφόσον η τελευταία υπολογιζόμενη απόσταση lV ορίζει θέση στομίου εκτός της γέφυρας (πέραν του άκρου αυτής) τότε αυτό δεν κατασκευάζεται και η λειτουργία του υποκαθίσταται από μια κατάλληλη διάταξη με φρεάτιο υδροσυλλογής που παραλαμβάνει όλη την απορροή από τη γέφυρα.
4. Αποχέτευση στα Άκρα Γέφυρας
4.1. Γενικά
(1) Η αποχέτευση στο άκρο της γέφυρας συνήθως συνιστάται από ένα τύπο στομίου που τοποθετείται σε απόσταση περίπου 10 m όπου η εγκάρσια κλίση του ερείσματος περιστρέφεται βαθμιαία ώστε η ροή να καθοδηγείται στο φρεάτιο αποχέτευσης να μη απορρέει προς πρανή. Από το φρεάτιο τα όμβρια οδηγούνται στο πόδι των πρανών, όπου κατά περίπτωση προβλέπεται κατασκευή διάταξης π.χ. από λιθορριπή επάνω σε γαιοΰφασμα (εφόσον αυτό είναι απαραίτητο), ή σε φυσικό αποδέκτη.
Εάν το άκρο της γέφυρας βρίσκεται σε κοίλη κατακόρυφη καμπύλη τότε θα πρέπει να εγκαθίσταται ένα σύστημα υπονόμων όπως αναφέρεται στα επόμενα.
(2) Για την απομάκρυνση της απορροής που συγκεντρώνεται στο ακρόβαθρο της γέφυρας πρέπει να διασφαλίζεται μια υδραυλικά κατάλληλη διαδρομή μέχρι το σημείο απόρριψης. Αυτή η διαδρομή συνήθως υλοποιείται με ανοικτό αγωγό ή με υπόνομο.
Εάν δεν υπάρχει υδραυλικά αποδεκτή φυσική διαδρομή τότε αυτή θα πρέπει να διαμορφώνεται.
Σε κάθε περίπτωση τα νερά της απορροής πρέπει να καθοδηγούνται μακριά από όλα τα δομικά στοιχεία της γέφυρας και κατά τέτοιο τρόπο ώστε να μη δημιουργούνται προϋποθέσεις για διάβρωση.
(3) Απορροή επί των πρανών μακριά από τη γέφυρα.
Πρέπει να μελετούνται και τοποθετούνται διατάξεις υδροσυλλογής στα ανάντη της γέφυρας με τις οποίες να απορροφάται κατά 100% η προσρέουσα ροή, από την οδό, χρησιμοποιώντας ως περίοδο επανάληψης εκείνη που επιλέγεται για το σύστημα αποχέτευσης της οδού. Αυτές οι διατάξεις θα πρέπει να τοποθετούνται και στις δυο πλευρές της οδού εκτός εάν οι επικλίσεις αποκλείουν τη ροή στη μια πλευρά της οδού. Αυτά τα στόμια θα πρέπει να τοποθετούνται πριν (στα ανάντη) από τους αρμούς, τις πλάκες πρόσβασης, και τους πτερυγότοιχους.
Η ομαλή βαθμιαία αλλαγή στη χάραξη του ρείθρου, σε απόσταση 10 m και στα ανάντη του στομίου, αποτελούν σημαντικά στοιχεία για την καθοδήγηση όλης της ροής μέσα στο στόμιο.
Η απορροή του καταστρώματος της γέφυρας μέχρι το χαμηλότερο άκρο της γέφυρας θα πρέπει να παραλαμβάνεται κατά 100% (ακόμη και αν υποτεθεί ότι μπορεί κάποια από τα στόμια του καταστρώματος να εμφραχθούν) χρησιμοποιώντας την ένταση βροχόπτωσης που επιλέγεται για τη μελέτη αποχέτευσης της οδού.
(4) Αποχέτευση σε κοίλες κατακόρυφες καμπύλες.
Εάν το χαμηλό σημείο κοίλης καμπύλης συμβαίνει μετά το άκρο της γέφυρας (εκτός του καταστρώματος αυτής) πρέπει σε εκείνο το σημείο να τοποθετούνται αποχετευτικά στόμια. Εκατέρωθεν του χαμηλού σημείου συνιστάται να τοποθετούνται ανακουφιστικά αποχετευτικά στόμια επειδή μπορεί στο χαμηλό σημείο να συμβεί έμφραξη.
5. Καθοδήγηση της Απορροής στα Κατάντη της Γέφυρας
5.1. Γενικά
Η καθοδήγηση της απορροής στα κατάντη της γέφυρας είναι η λειτουργία της μεταφοράς της ροής που έχει απορροφηθεί από το τελευταίο ακραίο στόμιο στα κατάντη του πρανούς επιχώματος και σε κατάλληλο σημείο εκβολής. Τα βαθμιδωτά ρείθρα δεν συνιστώνται για αυτή την καθοδήγηση στα κατάντη, επειδή αυτά παρουσιάζουν δυσκολίες στη συντήρηση αλλά και στην πλήρη σύλληψη και στη συνέχεια καθοδήγηση της ροής. Τα βαθμιδωτά ρείθρα επίσης παρουσιάζουν σημαντικό κίνδυνο για το προσωπικό συντήρησης και επιθεώρησης όταν αυτά καλύπτονται από χιόνι.
5.2. Παροχετευτικότητα
Επειδή η κλίση στα στοιχεία των διατάξεων καθοδήγησης της ροής στα κατάντη είναι συνήθως πολύ μεγάλη, η παροχετευτικότητα τους περιορίζεται μόνο από το στόμιο υδροσυλλογής προς το σωλήνα. Το άνοιγμα στην είσοδο του σωλήνα λειτουργεί ως υπερχειλιστής απλός ή φορτίου στέψης σε συνάρτηση με το βάθος νερού επάνω στο φρεάτιο υδροσυλλογής. Ένας σωλήνας διαμέτρου τουλάχιστον 40 cm είναι συνήθως επαρκής για τέτοιες περιπτώσεις.
5.3. Σημείο εκβολής
Ο αγωγός καθοδήγησης στα κατάντη από το άκρο της γέφυρας εκτονώνεται μέσα σε ανοικτό αγωγό ή υπόνομο. Και στις δυο περιπτώσεις η έξοδος του σωλήνα θα πρέπει να διατηρείται καθαρή. Επειδή στο σημείο εκβολής η ταχύτητα της ροής είναι μεγάλη λόγω των ισχυρών κλίσεων μπορεί να χρειάζεται προστασία από διάβρωση (όπως κατασκευή λιθορριπής) στην περίπτωση εξόδου σε ανεπένδυτες τάφρους.
5.4. Υλικά
Η διάταξη για την καθοδήγηση στα κατάντη της γέφυρας (μέσα από τα πρανή του επιχώματος) συνιστάται να είναι από ελαφρά υλικά όπως πλαστικοί ή χαλύβδινοι σωλήνες. Βαρύτεροι σωλήνες ή βαθμιδωτά ρείθρα σκυροδέματος επί των πρανών είναι δύσκολο να στηρίζονται και επειδή τείνουν να ολισθήσουν επάνω στα πρανή με μεγάλη κλίση δε συνιστώνται εγγύς των ακροβάθρων των γεφυρών που θεωρούνται ευαίσθητες θέσεις.
Οι αγωγοί (σωλήνες) οι οποίοι χρησιμοποιούνται στο τμήμα του δικτύου αποχέτευσης που παραμένει εκτεθειμένο στην ατμόσφαιρα συνιστάται να είναι από ελατό χυτοσίδηρο.
6. Πιθανά Προβλήματα
6.1. Συντονισμός
Η έλλειψη συντονισμού μεταξύ των μελών της ομάδας μελέτης αποτελεί συνήθως σημαντικό πρόβλημα. Εάν ο σχεδιασμός αποχέτευσης στα άκρα γεφυρών δεν επισκοπείται από όλα τα μέλη της ομάδας μελέτης, μπορεί να συμβούν ανεπιθύμητες αντισυγκρουόμενες κατασκευές μεταξύ της γέφυρας και της οδού. Για παράδειγμα μπορεί οι ορθοστάτες των μεταλλικών στηθαίων να τοποθετηθούν μπροστά από στοιχεία αποχέτευσης του άκρου της γέφυρας ή άλλοι ιστοί (πινακίδων σήμανσης, οδοφωτισμού κ.λ.π.) μπορεί να τοποθετούνται έτσι που να παρεμβάλλονται στη ροή.
6.2. Προβλήματα από καιρικές συνθήκες
Ο παγετός δημιουργεί εμφράξεις στα στόμια, στα φρεάτια και στις εξόδους των σωλήνων. Κατά τη διαδικασία εκχιονισμού του καταστρώματος των γεφυρών τα στόμια υδροσυλλογής καλύπτονται ή/και εμφράσσονται. Συστήματα (βλέπε 10.6.2-1) που λειτουργούν επιτυχώς έναντι αυτών των προβλημάτων συνίστανται από ένα μήκος σωλήνα με σχισμή επί του καταστρώματος ο οποίος εκτείνεται κατά μήκος του οδοστρώματος πέρα από το πλάτος όπου στοιβάζεται το χιόνι κατά τον εκχιονισμό. Έτσι η ροή από το χιόνι που λιώνει και ρέει πέρα από το κατάστρωμα μπορεί να συλλέγεται στο άκρο της γέφυρας.
Είναι απαραίτητο να γνωρίζει ο μελετητής τον τρόπο συντήρησης κατά τον εκχιονισμό ώστε να προβλέπει την κατάλληλη θέση του σωλήνα με σχισμή στο άκρο της γέφυρας.
6.3. Δομικές θεωρήσεις
Θα πρέπει να τηρείται ελάχιστη κατά μήκος κλίση 2% σε όλο το μήκος των γεφυρών που υπερβαίνουν τα 50 m ώστε να εμποδίζεται ο σχηματισμός λιμνών ακόμη και αν αυτό απαιτεί κυρτώσεις με αλλεπάλληλες κατακόρυφες καμπύλες στη μηκοτομή.
Οι εγκάρσιες κλίσεις των ερεισμάτων (σε αυτοκινητόδρομους περιλαμβάνεται και η Λωρίδα Έκτακτης Ανάγκης) θα πρέπει να τηρούνται κατ' ελάχιστον 3% (εφόσον αυτή η κλίση προσφέρει λύση σημαντικής μείωσης του αριθμού των στομίων υδροσυλλογής επί της γέφυρας) επάνω σε κοιλαδογέφυρες όταν η κατά μήκος κλίση είναι μικρότερη από 2%. Η διαφοροποίηση της επίκλισης μεταξύ λωρίδων κυκλοφορίας και ερείσματος (+ Λωρίδα Έκτακτης Ανάγκης) μπορεί να υλοποιείται είτε με κατασκευή μόνο με μεταβλητό πάχος της ανωτάτης ασφαλτικής στρώσης είτε με πρόσθετο σκυρόδεμα κατηγορίας C20/25. Ο έλεγχος της ροής εγκαρσίως του καταστρώματος ό-ταν συμβαίνουν αλλαγές επικλίσεων επί της γέφυρας, συνήθως δεν μπορεί να επιτυγχάνεται με το σωστό τρόπο και δημιουργούνται επικίνδυνες συνθήκες για την οδική ασφάλεια (υδροολίσθηση). Συνιστάται τοποθέτηση επί πλέον στομίων υδροσυλλογής μέσα σε 15 m στα ανάντη του σημείου αλλαγής της επίκλισης.
Η μεταβολή επίκλισης επάνω σε γέφυρα πρέπει να θεωρείται ως απορριπτέα σχεδίαση και η διατήρηση της πρέπει να δικαιολογείται επαρκώς από τη μελέτη της χάραξης. Έτσι π.χ. στην περίπτωση που έστω μέρος της γέφυρας βρίσκεται σε οριζόντια καμπύλη της χάραξης και δεν είναι δυνατή αλλαγή της χάραξης τότε πρέπει να διατηρείται η μέγιστη επίκλιση καθ' όλο το μήκος της γέφυρας ακόμη και σε τμήμα ευθυγραμμίας. Εφαρμόζοντας σταθερή επίκλιση επί των γεφυρών με χωριστά καταστρώματα ανά κατεύθυνση κυκλοφορίας, εκτός από την υποστήριξη προς το σωστό σχεδιασμό της αποχέτευσης, επιτυγχάνεται και η μη επιβάρυνση του φορέα της γέφυρας με πρόσθετα φορτία από σκυρόδεμα μόρφωσης επικλίσεων.
Στο σχεδιασμό της αποχέτευσης γεφυρών πρέπει να λαμβάνονται, υπόψη και οι δυνατότητες που προσφέρουν κατασκευαστικές καινοτομίες των τελευταίων ετών. Συγκεκριμένα στη διεθνή αγορά προσφέρονται έτοιμα κιβώτια από πολυεστερικό υλικό που υποκαθιστούν μέρος του πεζοδρομίου των γεφυρών και ταυτόχρονα το εσωτερικό τους αποτελεί αγωγό αποχέτευσης ο οποίος τροφοδοτείται με πλευρικά ανοίγματα κατά μήκος της πλευράς η οποία αποτελεί το κράσπεδο του πεζοδρομίου. Το πολυεστερικό υλικό αυτών των κιβωτίων έχει μεγάλο χρόνο ζωής και ταυτόχρονα αντέχει επαρκώς στα φορτία των φορτηγών οχημάτων.

Σχήμα 7.6.2-1: Πρόσθετη Διάταξη υδροσυλλογής
7. Στράγγιση των κατεισδύοντων Νερών από το Κατάστρωμα Γεφυρών
7.1. Εισαγωγή
Η διασφάλιση της καλής αποχέτευσης της επιφάνειας του οδοστρώματος επί των γεφυρών, με την υιοθέτηση ελάχιστης εγκάρσιας κλίσης 2,5% και κατά μήκος κλίσεις 1 έως 2%, συνεισφέρουν και στη μείωση των επιπτώσεων της διαβρωτικής ενέργειας των χρησιμοποιούμενων αντιπαγετικών αλάτων επί του σιδηρού οπλισμού του φορέα των γεφυρών. Όμως τα εν λόγω μέτρα δεν επαρκούν για την επιθυμητή προστασία από διάβρωση, που δημιουργείται τόσο στο ίδιο το σκυρόδεμα (αντίδραση μεταξύ των υλικών του σκυροδέματος και των χλωριδίων των αντιπαγετικών αλάτων) όσο και στο σιδηρό οπλισμό.
Η υδροστεγάνωση του φορέα των γεφυρών επιτυγχάνει τη μακροζωία της κατασκευής τουλάχιστον μέχρις 100 χρόνια. Αυτή επιτυγχάνεται με την εφαρμογή επί της επιφάνειας του φορέα διπλής στεγανωτικής μεμβράνης και κατάλληλης αντοχής ασφαλτικών στρώσεων.
Η ελλιπής προστασία του σκυροδέματος του φορέα γεφυρών έναντι της κατείσδυσης (διαμέσου του οδοστρώματος) των νερών και των αντιπαγετικών αλάτων μπορεί να οδηγήσει, στη μείωση της αντοχής του σκυροδέματος με φαινόμενα έκπλυσης που συμβαίνουν και στον κίνδυνο ζημιών από παγετό.
Οι κύριες λειτουργικές απαιτήσεις για το ρόλο της υδατοστεγάνωσης και του ασφαλτικού οδοστρώματος επί των φορέων των γεφυρών είναι:
| • | Η υδροστεγάνωση πρέπει να διατηρεί τη στεγανότητα με όλες τις συνθήκες. |
| • | Η υδροστεγάνωση και οι ασφαλτικές στρώσεις πρέπει να έχουν μηχανική σταθερότητα και αντοχή για να αντιστέκονται στα φορτία της κυκλοφορίας, καθώς και στις θλιπτικές και διατμητικές δυνάμεις που αναπτύσσονται στις καμπύλες της χάραξης αλλά και κατά τη διάρκεια τροχοπέδησης και επιτάχυνσης των οχημάτων. |
| • | Οι υδροστεγάνωση και οι ασφαλτικές στρώσεις πρέπει να αντιστέκονται στη ρωγμάτωση και στο διαχωρισμό των στρώσεων υπό την επιρροή των θερμοκρασιακών μεταβολών και των φορτίων της κυκλοφορίας. |
| • | Η υδροστεγάνωση και οι ασφαλτικές στρώσεις πρέπει να διατηρούν την αντοχή τους σε μηχανικές καταπονήσεις από συνήθη φορτία, καθώς και σε διαβρωτικές καθώς και τις αντιπαγετικές χημικές ουσίες. |
Τα διαθέσιμα υλικά για την υδροστεγάνωση διασφαλίζουν την απαιτούμενη προστατευτική λειτουργία για 50 χρόνια ενώ αντίστοιχα για την ασφαλτική στρώση κυκλοφορίας προσφέρεται δυνατότητα ζωής μέχρι και 25 χρόνια. Δηλαδή στον τυπικό χρόνο ζωής μιας γέφυρας μπορεί να απαιτηθεί αλλαγή της στεγάνωσης μαζί με τις ασφαλτικές στρώσεις μια φορά ενώ για τη στρώση κυκλοφορίας επιπλέον δύο φορές (βλέπε Σχήμα 7.7.1-1).

Σχήμα 7.7.1-1: Κατασκευαστική τομή στρώσεων στεγάνωσης
7.2. Μεμβράνες υδατοστεγάνωσης
Η επιφάνεια του σκυροδέματος επί της οποίας εφαρμόζεται η υδροστεγάνωση θα πρέπει να έχει κατά μήκος κλίση S≥1%, η οποία διασφαλίζει τη λειτουργία ροής μέσα στη στραγγιστική στρώση που ενσωματώνεται επί της επιφάνειας του ασφαλτικού σκυροδέματος. Η κατά μήκος κλίση αποτελεί σημαντικό παράγοντα, αφού η έλλειψή της έχει επιδείξει κατά τη διεθνή εμπειρία ποικίλες βλάβες σε γέφυρες σκυροδέματος λόγω της αναπόφευκτης διείσδυσης του νερού.
Όταν το σκυρόδεμα του φορέα της γέφυρας σκληρυνθεί και αποκτήσει επαρκή αντοχή, τότε καθαρίζεται, με υδροβολή ή καλύτερα με αμμοβολή, όλη η επιφάνεια ώστε να αποκτήσει υφή (βάθος υφής 0,4 - 1,3 mm, αυτό πρέπει να ελέγχεται με τη μέθοδο της άμμου), η οποία διασφαλίζει την καλή σύνδεση της πρώτης απισωτικής επάλειψης (primer), που εφαρμόζεται αμέσως ώστε να αποκατασταθεί πλήρης ομαλότητα, καλύπτοντας τα κενά στην επιφάνεια του σκυροδέματος του φορέα. Η απάλειψη γίνεται με καθαρή και ξηρή την επιφάνεια και έχει σκοπό να ελαχιστοποιήσει τον κίνδυνο σχηματισμού πτυχώσεων ή φουσκωμάτων μεταξύ της επιφάνειας του σκυροδέματος και των στεγανωτικών μεμβρανών. Η σφράγιση της επιφάνειας του σκυροδέματος με δυο στρώσεις εποξειδικού υλικού που περιέχει διάσπαρτη άμμο, χρησιμοποιείται όταν είναι επιθυμητή η πλήρης διασφάλιση έναντι του σχηματισμού πτυχώσεων. Το εποξειδικό υλικό πρέπει να έχει εγγύηση αντοχής στην επαφή του με τη φλόγα της συσκευής που χρησιμοποιείται για τη συγκόλληση των δυο φύλλων των στεγανωτικών μεμβρανών.
Μετά την απισωτική επάλειψη (primer) της επιφάνειας του σκυροδέματος, οι δυο μεμβράνες πολυμερούς με τροποποιημένο ασφαλτικό (ΠΤΑ) συγκολλιούνται πλήρως με φλόγα επί της επιφάνειας του φορέα. Σε γέφυρες με μικρή μέση ημερήσια κυκλοφορία (ΕΜΗΚ<2 000), που δεν θεωρούνται σημαντικές για την τοπική ή υπερτοπική κυκλοφορία, δεν εξυπηρετούν βαριά κυκλοφορία ή δεν υφίστανται καταπονήσεις από πεδήσεις ή στρέφουσα κυκλοφορία, επαρκεί η τοποθέτηση μόνο μιας μεμβράνης (της ανώτερης).
Οι μεμβράνες ΠΤΑ συντίθενται από εντοπισμένο μη υφαντό πλέγμα οπλισμού πολυεστέρα καλυπτόμενο από πολυμερές τροποποιημένου ασφαλτικού και στις δυο όψεις. Το πάχος της μεμβράνης είναι 4,5 mm, η κατώτερη μεμβράνη φέρει πολυμερές πάχους 1 mm στην άνω όψη του πλέγματος οπλισμού και αντίστοιχα 2,5 mm στην κάτω όψη. Η ανώτερη μεμβράνη στην άνω όψη του πλέγματος οπλισμού καλύπτεται με πολυμερές πάχους μόνο 0,1 - 0,2 mm, ενώ η κάτω όψη καλύπτεται αντίστοιχα από πολυμερές πάχους 3,3 - 3,4 mm. Είναι σημαντικό να υπάρχει ελάχιστο πάχος πολυμερούς στην άνω όψη της ανώτερης μεμβράνης επειδή το πολύ ασφαλτικό μπορεί να δημιουργήσει κίνδυνο έμφραξης της στραγγιστικής στρώσης που τοποθετείται πάνω από την ανώτερη μεμβράνη. Οι μεμβράνες συνήθως έχουν πλάτος 1 m και μήκος 10 m. Οι μεμβράνες κανονικά συνδέονται συγκολλούμενες με φλόγα. Στην κατά μήκος ένωση τους οι μεμβράνες τοποθετούνται με επικάλυψη 100 mm (το μήκος των φύλλων των μεμβρανών συμπίπτει με το μήκος της γέφυρας), ενώ εγκαρσίως τηρείται επικάλυψη τουλάχιστον 150 mm. Οι επικαλύψεις γίνονται έτσι ώστε το κάθε φύλλο της μεμβράνης προς τα ανάντη της κλίσης να επικαλύπτει το φύλλο προς τα κατάντη. Οι λοιπές λεπτομέρειες για τον τρόπο τοποθέτησης και τις επιτρεπόμενες συνθήκες κατά τη διάρκεια των εργασιών ορίζονται από τον κατασκευαστή των μεμβρανών.
Στις πλευρές των γεφυρών όπου συγκεντρώνονται τα στραγγίδια νερά, η μορφή του τελειώματος της κατασκευής επίστρωσης των μεμβρανών είναι ιδιαίτερα σημαντικό για τη στεγάνωση χωρίς προβλήματα. Στις πλευρές των γεφυρών (κατά την έννοια του μήκους) εφαρμόζεται περίπου 10 cm ψηλότερα από την επιφάνεια του φορέα όπως δείχνεται στο Σχήμα 7.7.2-1. Η σύσφιξη των περικοχλίων των αγκυρίων γίνεται δυο φορές, η πρώτη κατά την τοποθέτησή τους και η τελευταία πριν από την επίστρωση των ασφαλτικών ταπήτων. Με αυτό τον τρόπο ρυθμίζεται η πίεση που επιφέρεται από τα αγκύρια μέσω της διατομής του ανοξείδωτου χάλυβα που δείχνεται στο σχήμα.

Σχήμα 7.7.2-1: Τελείωμα στερέωσης των μεμβρανών στις πλευρές του φορέα
7.3. Στραγγιστική στρώση
Έχει ιδιαίτερη σημασία η ανακούφιση της στεγάνωσης από κάθε πίεση νερού. Αυτό επιτυγχάνεται με στράγγιση της άνω επιφάνειας των μεμβρανών μέσω στραγγιστικής στρώσης και καθοδήγησης των στραγγιδίων σε αποχετευτικά στόμια ή κατακόρυφους σωλήνες, με τη βοήθεια της κατά μήκος αλλά και της εγκάρσιας κλίσης του φορέα.
Η στράγγιση της στεγάνωσης παρέχεται από τη στραγγιστική ασφαλτική στρώση που είναι ανοικτής διαβάθμισης και με πάχος 15 - 20 mm. Ο σκοπός αυτής της στρώσης είναι η απορροή οποιασδήποτε εισροής, από τον υπερκείμενο ασφαλτικό τάπητα προς τα αποχετευτικά στόμια μέσω στραγγιστικών καναλιών που διαμορφώνονται (βλέπε Σχήμα 7.7.3-1).

Σχήμα 7.7.3-1: Αποστραγγιστικά κανάλια και σωλήνες
Η ανοικτής διαβάθμισης στραγγιστική ασφαλτική στρώση πρέπει να διατηρεί περιεκτικότητα σε κενά το 20% του όγκου της, όταν συμπυκνώνεται κατά την κατασκευή της, αλλά και μετά από τη συμπύκνωση στην οποία υπόκειται από την κυκλοφορία. Επιπλέον η σταθερότητα της στρώσης πρέπει να επαρκεί για τη λειτουργία της ως στρώσης βάσης του οδοστρώματος.
Το ανοικτής διαβάθμισης ασφαλτικό σκυρόδεμα της στρώσης συντίθεται από πολύ σκληρό θραυστό αδρανές υλικό και 4 - 5% του βάρους της από ασφαλτικό. Το ποσοστό του βάρους του υλικού που διέρχεται από κόσκινο 8 mm πρέπει να είναι 100%, ενώ από κόσκινο 2 mm το αντίστοιχο ποσοστό πρέπει να είναι λιγότερο από 25%. Μετά την τοποθέτηση του υλικού της στρώσης αυτή συμπυκνώνεται αμέσως.
Τα στραγγιστικά κανάλια υλοποιούνται στις βαθιές γραμμές που προβλέπονται κατά μήκος των πλευρών του φορέα (κατά μήκος της γέφυρας). Τα στραγγιστικά κανάλια δημιουργούνται με τοποθέτηση λωρίδας εποξειδικού ασφαλτικού σκυροδέματος πολύ ανοικτής διαβάθμισης, με διατομή διαστάσεων τουλάχιστον 25 mm πάχους και 100 έως 150 mm πλάτους. Κάτω από τα στραγγιστικά κανάλια τοποθετούνται κατακόρυφοι σωλήνες απορροής από υλικό με υψηλή αντοχή σε διάβρωση. Ο κάθε σωλήνας έχει εσωτερική διάμετρο Ø≥50 mm και καλύπτει περίπου 100 m2 καταστρώματος γέφυρας. Όλοι οι σωλήνες πρέπει να τοποθετούνται μακριά από την κυρίως κυκλοφορούμενη επιφάνεια, ώστε να είναι προσβάσιμοι στην περίπτωση που το νερό παγώσει μέσα σε αυτούς. Το άνω μέρος των σωλήνων τοποθετείται κάτω από τη στεγάνωση, με κατάλληλη διαμόρφωση χοάνης (βάθους 10 - 20 mm) στην επιφάνεια του σκυροδέματος του φορέα.
7.4. Ασφαλτικές στρώσεις προστασίας και κυκλοφορίας
Επάνω στην στραγγιστική στρώση κατασκευάζεται το ασφαλτικό οδόστρωμα πάχους 80 έως 100 mm. Το οδόστρωμα αποτελείται από την προστατευτική στρώση και την κυκλοφοριακή στρώση. Η προστατευτική στρώση στις περισσότερες περιπτώσεις μπορεί να είναι ασφαλτικό σκυρόδεμα, τροποποιημένο σε σχέση με το παραδοσιακό ασφαλτικό σκυρόδεμα της οδού, με υψηλή περιεκτικότητα σκύρων διαστάσεων μεγαλύτερων από 4 mm και με χαμηλή περιεκτικότητα κενών (<4% του όγκου). Η χρησιμοποιούμενη άσφαλτος είναι σκληρής διαβάθμισης (penetration, 100 g, 5 seconds, 25 °C, είναι μεταξύ 50 και 70 1/10 mm) και πλούσια σε περιεκτικότητα σφραγιστικού υλικού.
Η προστατευτική στρώση είναι σταθερή και πυκνή σφραγιστική ασφαλτική στρώση, της οποίας η λειτουργία περιλαμβάνει και την προστασία της στεγάνωσης από βλάβες λόγω μηχανικών καταπονήσεων, ενώ εμποδίζει την κατείσδυση του επιφανειακού νερού. Για την απαιτούμενη σταθερότητα του οδοστρώματος, αλλά και για χάρη της προστασίας των στεγανωτικών μεμβρανών από την επιρροή της θερμότητας, επιβάλλεται πάχος προστατευτικής στρώσης ≥ 50 mm.
Σε μικρές γέφυρες το υλικό της στρώσης κυκλοφορίας είναι το ίδιο με του εκατέρωθεν της γέφυρας οδικού τμήματος. Σε μεγάλες γέφυρες συνιστάται το υλικό Stone Mastic Asphalt. Η στρώση κυκλοφορίας επίσης κατασκευάζεται με σκληρή άσφαλτο ή πολυμερές τροποποιημένου ασφαλτικού.
Η κατασκευή των ασφαλτικών οδοστρωμάτων επί γεφυρών βασίζεται στις προδιαγραφές που εφαρμόζονται και στα εκατέρωθεν οδικά τμήματα, αλλά με περισσότερη αυστηρότητα στην τήρηση των απαιτήσεων για υλικά μεγαλύτερης αντοχής και έλεγχο των επιδόσεων, μαζί με περιεκτικές επιθεωρήσεις κατά την διάρκεια της κατασκευής. Ο έλεγχος εξειδικεύεται κυρίως με τη λήψη δοκιμίων από το οδόστρωμα και εκτέλεση των απαιτούμενων εργαστηριακών δοκιμών.