| Συνδεθείτε στην Υπηρεσία Νομοσκόπιο | | | | | Νέοι χρήστες | | Εάν είστε νέος χρήστης, θα πρέπει να δημιουργήσετε ένα ΔΩΡΕΑΝ λογαριασμό προκειμένου να φύγει το παράθυρο αυτό και να αποκτήσετε πλήρη πρόσβαση στην υπηρεσία Νομοσκόπιο. | | Δημιουργία νέου λογαριασμού | | |
1. Ευθυγραμμία
1.1. Εφαρμογή
Ως στοιχείο μελέτης, η ευθυγραμμία μπορεί να θεωρηθεί ότι υπερτερεί
- στην περίπτωση των οδών της ομάδας Α:
| • | σε εδάφη με ανάγλυφο, που ευνοεί την εφαρμογή ευθυγραμμιών, όπως σε πεδιάδες, οροπέδια, κοιλάδες κ.λ.π., |
| • | σε περιοχές ισόπεδων και ανισόπεδων κόμβων, |
| • | προκειμένου να εξασφαλισθούν τα αναγκαία μήκη ορατότητας για προσπέραση σε οδούς δύο λωρίδων κυκλοφορίας και ιδιαίτερα σε κοίλες κατακόρυφες καμπύλες, |
| • | προκειμένου να προσαρμοσθεί η χάραξη σε τμήματα σιδηροδρομικών γραμμών, σε αγωγούς και σε άλλα τεχνικά έργα. |
- στην περίπτωση των οδών της ομάδας Β:
| • | προκειμένου να ικανοποιηθούν απαιτήσεις του πολεοδομικού σχεδιασμού, |
| • | σε περιοχές ισόπεδων και ανισόπεδων κόμβων. |
Σε αντίθεση με τα προηγούμενα πλεονεκτήματα, η εφαρμογή μεγάλων ευθυγραμμιών με σταθερή κατά μήκος κλίση, ιδιαίτερα στις οδούς της ομάδας Α, παρουσιάζει τα εξής μειονεκτήματα:
| • | δυσχεραίνεται η εκτίμηση των αποστάσεων και των ταχυτήτων των κινούμενων οχημάτων τόσο στην ίδια όσο και στην αντίθετη κατεύθυνση, |
| • | αυξάνεται ο κίνδυνος θάμβωσης από τα φώτα των αντίθετα κινουμένων οχημάτων κατά τη διάρκεια της νύκτας, |
| • | προκαλούν κόπωση στους οδηγούς και |
| • | προσαρμόζονται δύσκολα στο ανάγλυφο των λοφωδών και ορεινών εδαφών. |
Για τους υπόψη λόγους σε νέες κατασκευές οδών της ομάδας Α πρέπει να αποφεύγονται οι μεγάλες ευθυγραμμίες με σταθερή κατά μήκος κλίση. Ακόμη μεταξύ ομόρροπων καμπυλών πρέπει να αποφεύγονται οι μικρές ευθυγραμμίες, κυρίως για αισθητικούς λόγους. Αν είναι αναπόφευκτη η διάταξη τέτοιου είδους ευθυγραμμιών, τότε η αισθητική της οδού μπορεί να βελτιωθεί με την εφαρμογή μίας κοίλης κατακόρυφης καμπύλης συναρμογής.
1.2. Τυπικές τιμές
Λόγω της πιθανότητας θάμβωσης από τα φώτα και της κόπωσης των οδηγών το μέγιστο μήκος της ευθυγραμμίας με σταθερή κατά μήκος κλίση max L (m) δεν επιτρέπεται να υπερβαίνει το εικοσαπλάσιο της ταχύτητας μελέτης VE (km/h).
Σε οδούς της ομάδας κατηγορίας Α, οι ευθυγραμμίες μικρού μήκους μεταξύ ομόρροπων καμπυλών πρέπει να αποφεύγονται. Αν αυτό δεν είναι δυνατό, τότε το ελάχιστο μήκος της ευθυγραμμίας min L (m) κυρίως για λόγους αισθητικής πρέπει να είναι ίσο τουλάχιστον με το εξαπλάσιο της ταχύτητας μελέτης VE (km/h).
Για τις οδούς της ομάδας Α οι ευθυγραμμίες μικρού μήκους πρέπει να συνδυάζονται με κυκλικά τόξα και τόξα συναρμογής κατά τέτοιο τρόπο, ώστε σε σχέση με τα στοιχεία της μηκοτομής να επιτυγχάνεται τελικά μία ικανοποιητική, σύμφωνα με τις υποδείξεις και βασικές αρχές, χάραξη στον χώρο.
1.3. Αξιολόγηση ευθυγραμμιών κατά την εκπόνηση μελετών
Στις παρούσες Οδηγίες οδοποιίας η ευθυγραμμία θεωρείται ως δυναμικό στοιχείο μελέτης λαμβανομένων υπόψη των αναγκαίων επιταχύνσεων και επιβραδύνσεων των οδηγών. Σημειώνεται, ότι σε αντίθεση με την ευθυγραμμία το κυκλικό τόξο θεωρείται δυναμικό στοιχείο μελέτης ήδη από τη δεκαετία του '20 με την μελέτη της εγκάρσιας (φυγόκεντρης) επιτάχυνσης.
Ενώ για την αξιολόγηση των κυκλικών τόξων με ή χωρίς τόξα συναρμογής έχουν ουσιαστική σημασία τα Κριτήρια Ι και ΙΙΙ (βλέπε Πίνακα 6-1), για την αξιολόγηση της ευθυγραμμίας καθοριστική σημασία έχει το Κριτήριο Ασφαλείας ΙΙ επίτευξη αρμονίας και συνέχειας στην λειτουργική ταχύτητα (βλέπε παράγραφο 4.3 και Πίνακα 4-3), προκειμένου να αξιολογηθεί η μετάβαση από την ευθυγραμμία στην καμπύλη ως καλός, μέτριος ή μη αποδεκτός σχεδιασμός.
Για την υπόψη ανάλυση απαιτείται ο ορισμός δύο τύπων ευθυγραμμιών:
1. Εξαρτημένες ευθυγραμμίες: είναι εκείνες οι ευθυγραμμίες, οι οποίες έχουν σχετικά μικρό μήκος με αποτέλεσμα η διαφορά μεταξύ των διαδοχικών ταχυτήτων V85 να μην μπορεί να υπερβεί την επιτρεπόμενη, σύμφωνα με το Κριτήριο Ασφαλείας ΙΙ (Πίνακας 4-3) για καλή ποιότητα σχεδιασμού (ΔV85 < 10 km/h) ή ακόμη και για μέτρια ποιότητα σχεδιασμού (ΔV85 < 20 km/h) κατά τη διάρκεια επιταχυνόμενων ή επιβραδυνόμενων κινήσεων των οχημάτων. Στην περίπτωση αυτή, η διαδικασία αξιολόγησης της αλληλουχίας των στοιχείων μελέτης από την άποψη της ασφαλείας καθορίζεται από την αλληλουχία καμπύλη - καμπύλη και αγνοείται η ύπαρξη της ενδιάμεσης ευθυγραμμίας.
2. Ανεξάρτητες ευθυγραμμίες: είναι εκείνες οι ευθυγραμμίες, οι οποίες έχουν επαρκές μήκος, ώστε η διαφορά μεταξύ των διαδοχικών ταχυτήτων V85 να μπορεί ενδεχομένως να υπερβεί την επιτρεπόμενη διαφορά σύμφωνα με το Κριτήριο Ασφαλείας ΙΙ (Πίνακας 4-3) για μη αποδεκτή ποιότητα σχεδιασμού (ΔV85 > 20 km/h) κατά τη διάρκεια επιταχυνόμενων ή επιβραδυνόμενων κινήσεων των οχημάτων. Στην περίπτωση αυτή η διαδικασία αξιολόγησης της αλληλουχίας των στοιχείων μελέτης καθορίζεται από την αλληλουχία στοιχείων ευθυγραμμία - καμπύλη (η ύπαρξη της ευθυγραμμίας δεν αγνοείται).
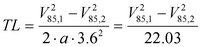
Με βάση τις τεχνικές που μπορούν να ακολουθούν τα οχήματα η μέση τιμή (α) επιβράδυνσης ή επιτάχυνσης των οχημάτων προσδιορίζεται ίση με 0,85 m/s2. Κατά συνέπεια η σχέση που δίδει το μήκος συναρμογής ταχυτήτων (μήκος ευθυγραμμίας TL) μεταξύ δύο διαδοχικών καμπυλών είναι:
(7-1)
όπου:
V85,1,2 (km/h) = λειτουργική ταχύτητα 85% στην καμπύλη
TL (m) = μήκος ευθυγραμμίας μεταξύ δύο διαδοχικών καμπυλών (μήκος συναρμογής ταχυτήτων)
α (m/s2) = τυπική επιτάχυνση / επιβράδυνση οχημάτων
Προκειμένου να αποφευχθεί η υιοθέτηση πολύ συντηρητικών τιμών, τα μήκη των ευθυγραμμιών μεταξύ δύο διαδοχικών καμπυλών που αντιστοιχούν σε μέτριο σχεδιασμό οδών χαρακτηρίζονται εξαρτημένες ευθυγραμμίες. Οι αντίστοιχες τιμές αυτών των ευθυγραμμιών περιβάλλονται από έντονη γραμμή πλαισίου στον Πίνακα 7-1. Μέχρι τις τιμές αυτές οι μεταβολές της ταχύτητας V85 μεταξύ διαδοχικών καμπυλών μελετώνται αγνοώντας την ύπαρξη των ευθυγραμμιών μεταξύ των καμπυλών, προκειμένου να εφαρμοσθεί το Κριτήριο Ασφαλείας ΙΙ (Πίνακας 4-3). Έτσι καλύπτεται η κρίσιμη περίπτωση της μέτριας ποιότητας σχεδιασμού μίας οδού (ΔV85 = 20 km/h), ιδιαίτερα όσον αφορά τις επιβραδύνσεις. Σε όλες τις άλλες περιπτώσεις (ΔV85 < 20 km/h) τα μήκη των ευθυγραμμιών δεν επαρκούν, προκειμένου ο μέσος οδηγός να επιβραδύνει ή να επιταχύνει κατά τέτοιο τρόπο, ώστε να γίνει υπέρβαση των ορίων μεταβολής της λειτουργικής ταχύτητας που χαρακτηρίζουν τον μέτριο ή ακόμη και τον καλό σχεδιασμό οδών.
Αντίθετα, τα μήκη ευθυγραμμιών μεταξύ διαδοχικών καμπυλών που υπερβαίνουν προς τα άνω τις τιμές με το έντονο πλαίσιο στον Πίνακα 7-1 χαρακτηρίζονται ανεξάρτητες ευθυγραμμίες. Στις περιπτώσεις αυτές ο μέσος οδηγός έχει τη δυνατότητα να επιταχύνει ή να επιβραδύνει το όχημά του, ώστε τελικά να υπερβεί τα μέγιστα όρια μεταβολής της ταχύτητας V85 που χαρακτηρίζουν την μέτρια ποιότητα σχεδιασμού (10 km/h < ΔV85 <20 km/h), με αποτέλεσμα την πολύ πιθανή εμφάνιση κρίσιμων καταστάσεων από την άποψη της ασφαλείας κυκλοφορίας των οχημάτων.
Διακρίνονται οι ακόλουθες τρεις περιπτώσεις.
Περίπτωση 1 - Εξαρτημένη ευθυγραμμία: Το μήκος της ευθυγραμμίας TL μεταξύ δύο διαδοχικών καμπυλών είναι μικρότερο από την τιμή TLS (έντονη γραμμή πλαισίου) των ευθυγραμμιών μικρού μήκους του Πίνακα 7-1 (TL<TLS) που αντιστοιχεί στην πλησιέστερη ταχύτητα V85 της καμπύλης με τη μεγαλύτερη τιμή ελικτότητας KE, όπως αυτή προκύπτει από το διάγραμμα του Σχήματος 3-1. Στην περίπτωση αυτή η ευθυγραμμία θεωρείται εξαρτημένη και αγνοείται κατά την αξιολόγηση της χάραξης, δηλαδή αξιολογείται μόνο η σχέση μεταξύ των δυο διαδοχικών καμπυλών.
Περίπτωση 2 - Ανεξάρτητη ευθυγραμμία: Το μήκος της ευθυγραμμίας TL είναι τουλάχιστον το διπλάσιο της τιμής TLL της μεγάλης ευθυγραμμίας που δίδεται στην στήλη 8 του Πίνακα 7-1 (TL ≥ 2 x TLL) και η οποία αντιστοιχεί στην πλησιέστερη τιμή της ταχύτητας V85 της καμπύλης με τη μεγαλύτερη τιμή ελικτότητας ΚΕ. Στην περίπτωση αυτή η ευθυγραμμία θεωρείται ανεξάρτητη, και δεν αγνοείται κατά την αξιολόγηση της χάραξης. Στην περίπτωση αυτή η ακολουθία ευθυγραμμία - καμπύλη καθορίζει τη διαδικασία αξιολόγησης.
Περίπτωση 3 - Μερικώς ανεξάρτητη ευθυγραμμία: Το μήκος της ευθυγραμμίας TL κυμαίνεται μεταξύ των μηκών, που αντιστοιχούν στις περιπτώσεις 1 και 2 (TLS <TL< 2 x TLL). Στην περίπτωση αυτή η λειτουργική ταχύτητα στην ανεξάρτητη ευθυγραμμία πρέπει να υπολογισθεί σύμφωνα με το Σχήμα 7-3. Η αλληλουχία ευθυγραμμία - καμπύλη είναι και σ' αυτή την περίπτωση καθοριστική για την αξιολόγηση της χάραξης.
Τα όσα αναφέρονται στις περιπτώσεις 1 έως 3 ισχύουν και για τις δύο κατευθύνσεις κυκλοφορίας.
Πίνακας 7-1: Σχέση μεταξύ μηκών ευθυγραμμίας και μεταβολής της ταχύτητας V85 κατά την αλληλουχία ευθυγραμμία - καμπύλη
V85K σε
καμπύλη (km/h)
|
Τιμές TLL και TLS
|
V85T σε ευθυγραμμία (km/h)
|
70
|
75
|
80
|
85
|
90
|
95
|
100
|
1
|
2
|
3
|
4
|
5
|
6
|
7
|
8
|
50
|
110
|
145
|
180
|
215
|
255
|
300
|
345
|
55
|
|
120
|
155
|
195
|
230
|
275
|
320
|
60
|
|
|
130
|
165
|
205
|
250
|
295
|
65
|
|
|
|
140
|
175
|
220
|
265
|
70
|
|
|
|
|
145
|
190
|
235
|
75
|
|
|
|
|
|
155
|
200
|
80
|
|
|
|
|
|
|
165
|
Εξαρτημένες ευθυγραμμίες
TLS (m) Μικρά μήκη ευθυγραμμιών TLS που είναι τα μέγιστα επιτρεπόμενα μήκη ευθυγραμμιών, και χαρακτηρίζονται ως εξαρτημένες ευθυγραμμίες
V85Κ, V85T (km/h) Λειτουργική ταχύτητα 85% σε καμπύλη (V85Κ) ή ευθυγραμμία (V85T), εξαρτώμενη από την τιμή KE (βλέπε Σχήμα 3-1). Στις ευθυγραμμίες ΚΕ = 0 gon/km.
Ανεξάρτητες ευθυγραμμίες
TLL (m) Μεγάλα μήκη ευθυγραμμιών TLL. Στα μήκη ευθυγραμμιών της στήλης 8 (ή σε μεγαλύτερα) αναμένεται η ανάπτυξη της μέγιστης ταχύτητας V85.
Οι τιμές της στήλης 8 συνιστώνται για τον προσδιορισμό των μεγάλων σε μήκος ευθυγραμμιών TLL.
Οι τιμές με πλάγια γραφή παρουσιάζονται μόνο για την αντίληψη της μεταβολής των τιμών.
Διαδικασία αξιολόγησης
Για τη διαδικασία αξιολόγησης σύμφωνα με το Κριτήριο Ασφαλείας ΙΙ πρέπει να υπολογισθούν οι μεταβολές της ταχύτητας V85 (ΔV85) μεταξύ των διαδοχικών στοιχείων μελέτης (ευθυγραμμία - καμπύλη ή καμπύλη - καμπύλη) (βλέπε Πίνακα 4-3).
Για την αξιολόγηση των ευθυγραμμιών κατά τη μελέτη μίας οδού προτείνεται η ακόλουθη διαδικασία:
(1) Προσδιορισμός του μήκους της ευθυγραμμίας TL μεταξύ δύο διαδοχικών καμπυλών κατά τη μελέτη νέας οδού, την ανακατασκευή, ή τη βελτίωση υφιστάμενης οδού.
(2) Υπολογισμός των τιμών της ελικτότητας ΚΕ της μεμονωμένης καμπύλης για τις καμπύλες 1 και 2 KE1 και KE2 σύμφωνα με τα Σχήματα 3-2)α, β και 3-3 και προσδιορισμός των αντιστοίχων λειτουργικών ταχυτήτων V85 (V85,1 και V85,2) σύμφωνα με το διάγραμμα του Σχήματος 3-1.
(3) Σύγκριση του υφιστάμενου μήκους ευθυγραμμίας TL με τα μήκη ευθυγραμμιών TLS και 2 x TLL του Πίνακα 7-1, προκειμένου να χαρακτηριστεί η ευθυγραμμία ανεξάρτητη ή εξαρτημένη.
Παρατήρηση: Για λόγους απλοποίησης της διαδικασίας κατά την ανάγνωση των τιμών TLS και TLL από τον Πίνακα 7-1 λαμβάνεται πάντοτε η μικρότερη από τις δύο τιμές V85,1 και V85,2.
(4) Περίπτωση 1 - Εξαρτημένη ευθυγραμμία
Η περίπτωση 1 απεικονίζεται στο Σχήμα 7-1. Στην περίπτωση αυτή ο οδηγός επιταχύνει ή επιβραδύνει ομοιόμορφα. Αν το υφιστάμενο μήκος ευθυγραμμίας TL είναι μικρότερο από το μέγιστο επιτρεπόμενο για την μικρή ευθυγραμμία TLS, τότε η ευθυγραμμία είναι εξαρτημένη και αγνοείται στην διαδικασία αξιολόγησης. Αυτό σημαίνει ότι η μεταβολή της ταχύτητας V85 για την αξιολόγηση της ποιότητας σχεδιασμού του οδικού τμήματος ως καλής, μέτριας ή απαράδεκτης σύμφωνα με το Κριτήριο Ασφαλείας ΙΙ (βλέπε Πίνακα 4-3) ελέγχεται μόνο για τις δύο διαδοχικές καμπύλες.
Η Εξίσωση αυτή λείπει από το αυθεντικό κείμενο (7-2)

Υπόμνημα:
TL (m) = μήκος ευθυγραμμίας μεταξύ δύο διαδοχικών καμπυλών
TLS (m) = μικρό μήκος ευθυγραμμίας (μήκος συναρμογής ταχυτήτων)
KEI (gon/Km) = ελικτότητα της μεμονωμένης καμπύλης I
V85I (km/h) = λειτουργική ταχύτητα 85% στην καμπύλη I
Σχήμα 7-1: Σχηματική απεικόνιση διαγράμματος ταχυτήτων για την εξαρτημένη ευθυγραμμία (Περίπτωση 1)
(5) Περίπτωση 2 - Ανεξάρτητη ευθυγραμμία
Η περίπτωση 2 απεικονίζεται στο Σχήμα 7-2. Στην περίπτωση αυτή το υφιστάμενο μήκος της ευθυγραμμίας επαρκεί, ώστε ένας μέσος οδηγός να μπορεί να επιταχύνει μέχρι την μέγιστη λειτουργική ταχύτητα V85 (V85TMAX) την οποία και διατηρεί για κάποιο χρονικό διάστημα πριν αρχίσει να επιβραδύνει, προκειμένου να εισέλθει με μειωμένη ταχύτητα στην καμπύλη που ακολουθεί. Από το Σχήμα 7-2 συνάγεται, ότι εφόσον το μήκος TL μίας ευθυγραμμίας είναι τουλάχιστον το διπλάσιο από το κρίσιμο μήκος της μεγάλης ευθυγραμμίας TLL που δίδεται στη στήλη 8 του Πίνακα 7-1, τότε η ευθυγραμμία μπορεί να θεωρηθεί ως ανεξάρτητη χωρίς επιπλέον υπολογισμούς και επομένως το Κριτήριο Ασφαλείας ΙΙ (Πίνακας 4-3) εφαρμόζεται στην ακολουθία στοιχείων μελέτης ευθυγραμμία - καμπύλη. Η αναμενόμενη μεταβολή της ταχύτητας στην ευθυγραμμία είναι:
(7-3)
με V85TMAX από Σχήμα 3-1 ή από τις σχέσεις 3-3)α, 3-3)β, 3-3)γ.

Υπόμνημα:
TL (m) = μήκος ευθυγραμμίας μεταξύ δύο διαδοχικών καμπυλών
TLL (m) = μεγάλο μήκος ευθυγραμμίας (κρίσιμο μήκος επιτάχυνσης ή επιβράδυνσης μεταξύ ευθυγραμμίας και καμπύλης 2)
KEI (gon/Km) = ελικτότητα της μεμονωμένης καμπύλης I
V85I (km/h) = λειτουργική ταχύτητα 85% στην καμπύλη I
Σχήμα 7-2: Σχηματική απεικόνιση διαγράμματος ταχυτήτων για την ανεξάρτητη ευθυγραμμία (Περίπτωση 2)
(6) Περίπτωση 3 - Μερικώς ανεξάρτητη ευθυγραμμία
Η περίπτωση 3 απεικονίζεται στο Σχήμα 7-3. Στην περίπτωση αυτή η ευθυγραμμία είναι αρκετά μεγάλη, ώστε να είναι δυνατή η ανάπτυξη επιτάχυνσης από τους οδηγούς αλλά όχι μέχρι την ανάπτυξη της μέγιστης λειτουργικής ταχύτητας V85 (V85TMAX). Από το Σχήμα 7-3 προκύπτει, ότι το υφιστάμενο μήκος της ευθυγραμμίας TL είναι μεγαλύτερο από το μήκος της μικρής ευθυγραμμίας TLS και μικρότερο από το διπλάσιο του μήκους της μεγάλης ευθυγραμμίας TLL που δίδεται στη στήλη 8 του Πίνακα 7-1, που αποτελεί όριο για να θεωρηθεί ως ανεξάρτητη. Στο Σχήμα 7-3 φαίνεται ο τρόπος υπολογισμού της μέγιστης ταχύτητας V που θα αναπτυχθεί στη μερικώς ανεξάρτητη ευθυγραμμία.
Επομένως, για την εφαρμογή του Κριτηρίου Ασφαλείας ΙΙ (βλέπε Πίνακα 4-3) θα ληφθεί υπόψη η ακολουθία των στοιχείων ευθυγραμμία - καμπύλη. Η αναμενόμενη μεταβολή της ταχύτητας V85 σ' αυτή την περίπτωση είναι:
(7-3)b)

(7-4)
(7-5) Για τον υπολογισμό της τιμής V85T επιλέγεται πάντοτε η καμπύλη με τη μικρότερη ελικτότητα ΚE
(7-6)
TL (m) = μήκος ευθυγραμμίας μεταξύ δύο διαδοχικών καμπυλών
TLS (m) = μικρό μήκος ευθυγραμμίας (μήκος συναρμογής ταχυτήτων)
TLL (m) = μεγάλο μήκος ευθυγραμμίας (μήκος επιτάχυνσης ή επιβράδυνσης μεταξύ καμπυλών 1 και 2)
TLC (m) = κρίσιμο μήκος επιτάχυνσης ή επιβράδυνσης μεταξύ των καμπυλών 1 και 2
KEI (gon/km) = ελικτότητα μεμονωμένης καμπύλης i
V85I (km/h) = λειτουργική ταχύτητα 85% στην καμπύλη i
V85T (km/h) = λειτουργική ταχύτητα 85% που αναπτύσσεται στη μερικώς ανεξάρτητη ευθυγραμμία. Η V85TMAX μπορεί να αναπτυχθεί μόνον σε εξαιρετικές περιπτώσεις
ΔV85T (km/h) = διαφορά μεταξύ των λειτουργικών ταχυτήτων 85% στην καμπύλη με την μικρότερη τιμή KE και στην ευθυγραμμία
Σχήμα 7-3: Σχηματική απεικόνιση διαγράμματος ταχυτήτων για τη μερικώς ανεξάρτητη ευθυγραμμία (Περίπτωση 3)
2. Κυκλικό τόξο
2.1. Εφαρμογή
Για τα κυκλικά τόξα των οδών της ομάδας Α, θα επιλέγονται οι μεγαλύτερες δυνατές ακτίνες ιδιαίτερα στις περιπτώσεις των μικρών επίκεντρων γωνιών και όταν ακολουθούν ευθυγραμμίες, προκειμένου να επιτευχθούν:
| • | κατά κανόνα συνολικώς μικρά μήκη καμπυλών, |
| • | επαρκή μήκη ορατότητας για προσπέραση, |
| • | αρμονία και συνέχεια στην οδική συμπεριφορά. |
Παράλληλα με τους προαναφερθέντες σκοπούς, η επιλογή των ακτίνων θα πρέπει να είναι τέτοια, ώστε:
| • | η οδός να προσαρμόζεται κατά μορφή και μέγεθος με το ανάγλυφο του εδάφους και το τοπίο, |
| • | όσον αφορά τα μεγέθη και την αλληλουχία των καμπυλών, να εξασφαλίζεται η συμβατότητα μεταξύ οριζοντιογραφίας και μηκοτομής, και να επιτυγχάνεται η καλή ανάπτυξη της οδού στο χώρο. |
| • | να εξασφαλίζεται η αρμονική σχέση μεταξύ ταχύτητας μελέτης VE και λειτουργικής ταχύτητας V85 σύμφωνα με την Περίπτωση 1 του Κριτηρίου Ασφαλείας Ι (βλέπε Πίνακα 4-1). |
Επιτρέπεται η θλάση του άξονα της χάραξης χωρίς εφαρμογή οριζόντιας καμπύλης όταν η γωνία θλάσης γ είναι μικρότερη από την τιμή που προκύπτει (ανάλογα με την ταχύτητα μελέτης VE) από τις σχέσεις:
| • | όταν VE < 70 km/h, γ = arctan (1,6/VE) |
| • | όταν VE > 70 km/h, γ = arctan (155/VE2) |
2.2. Τυπικές και οριακές τιμές
Για τις οδούς των ομάδων Α και Β οι ελάχιστες ακτίνες των καμπυλών RMIN δίδονται στον Πίνακα 7-2. Οι τιμές αυτές εξαρτώνται από την ταχύτητα μελέτης VE, τον βαθμό εκμετάλλευσης του συντελεστή εγκάρσιας τριβής η, και τις οριακές τιμές της επίκλισης q (βλέπε Πίνακα 5-1). Για λόγους καλύτερης προσαρμογής στις κλιματολογικές και τις τοπογραφικές συνθήκες της Ελλάδας, η επιλογή των τιμών RMIN εξαρτάται εκτός από την ομάδα, στην οποία ανήκει η οδός, και από την κατηγορία του εδάφους (πεδινό, λοφώδες ή ορεινό). Ο Πίνακας 7-2 προέκυψε με στρογγύλευση των τιμών του Πίνακα 5-1.
Πίνακας 7-2: Ελάχιστες ακτίνες καμπυλών για οδούς των ομάδων Α και Β
VE (km/h)
|
RMIN (m)
|
Ομάδα οδών Α
|
Ομάδα οδών Β
|
πεδινά εδάφη
|
λοφώδη και ορεινά εδάφη
|
όλες οι κατηγορίες εδαφών
|
qMAX = 8 (9)%
|
qMIN = 2,5%
|
qMAX = 7%
|
qMIN = 2,5%
|
qMAX = 6%
|
qMIN = 2,5%
|
η = 45%
|
η = 10%
|
η = 40%
|
η = 10%
|
η = 60%
|
η = 30%
|
1
|
2
|
3
|
4
|
5
|
6
|
7
|
50
|
80
|
|
325
|
95
|
325
|
70
|
150
|
60
|
125
|
(120)
|
490
|
140
|
490
|
110
|
230
|
70
|
180
|
(170)
|
700
|
200
|
700
|
160
|
335
|
80
|
250
|
(235)
|
960
|
280
|
960
|
220
|
470
|
90
|
330
|
(310)
|
1.260
|
370
|
1.260
|
300
|
630
|
100
|
420
|
(400)
|
1.620
|
480
|
1.620
|
-
|
-
|
110
|
530
|
(500)
|
2.020
|
600
|
2.020
|
-
|
-
|
120
|
650
|
(620)
|
2.470
|
740
|
2.470
|
-
|
-
|
(130)
|
790
|
(740)
|
2.970
|
890
|
2.970
|
-
|
-
|
Οι τιμές σε ( ) εφαρμόζονται σε εξαιρετικές περιπτώσεις
Σε οδούς με διαχωρισμένες επιφάνειες κυκλοφορίας, εφόσον υπάρχουν εμπόδια στην κεντρική νησίδα που παρεμποδίζουν την ορατότητα, απαιτείται η επιλογή μεγαλύτερων ακτίνων από τις ελάχιστες ακτίνες που δίδονται στον Πίνακα 7-2, ή η διαπλάτυνση της κεντρικής νησίδας. Σε αριστερόστροφες καμπύλες πρέπει να εξετάζεται αν διατίθεται το απαιτούμενο μήκος ορατότητας για στάση στην αριστερή λωρίδα (λωρίδα προσπέρασης).
Σε εξαιρετικές περιπτώσεις οδών της ομάδας Α, υπάρχει η δυνατότητα αύξησης της μέγιστης τιμής της επίκλισης κατά 1% (βλέπε Πίνακα 7-2, μόνο για τις τιμές εντός παρένθεσης).
Τα κυκλικά τόξα πρέπει να έχουν μήκος τουλάχιστον ίσο με εκείνο που διανύεται σε 2 δευτερόλεπτα από όχημα κινούμενο με την ταχύτητα μελέτης.
2.3 Σχέση διαδοχικών καμπυλών
Οι ακτίνες των ομόρροπων ή αντίρροπων διαδοχικών κυκλικών τόξων, μεταξύ των οποίων υπάρχει ευθύγραμμο τμήμα μήκους από καθόλου μέχρι TLS (βλέπε Πίνακα 7-1), σε οδούς της ομάδας Α ή κατηγορίας ΒΙ και Β ΙΙ πρέπει να παρουσιάζουν μία αρμονική σχέση για λόγους κυκλοφοριακής ασφαλείας. Επίσης η αρμονική σχέση μεταξύ διαδοχικών κυκλικών τόξων είναι επιθυμητή στις οδούς κατηγορίας Β ΙΙΙ, καθώς και στις οδούς κατηγορίας Β ΙV, εφόσον είναι εφικτό.
Αυτή η απαίτηση οφείλεται κατά κύριο λόγο στο γεγονός, ότι δεν πρέπει να μεταβάλλεται απότομα η λειτουργική ταχύτητα V85 μεταξύ δύο διαδοχικών καμπυλών. Στην περίπτωση των υπεραστικών οδών με ενιαία επιφάνεια κυκλοφορίας αυτό εξασφαλίζεται με την εφαρμογή του Κριτηρίου Ασφαλείας ΙΙ (βλέπε παράγραφο 1.3).
Ο σχεδιασμός με βάση την αρμονική σχέση των διαδοχικών στοιχείων μελέτης έχει την έννοια, ότι τα στοιχεία μελέτης με ελάχιστες ή μέγιστες τιμές των παραμέτρων τους δεν διαδέχονται το ένα το άλλο αυθαίρετα, αλλά αντίθετα, δημιουργούνται ακολουθίες στοιχείων μελέτης, στις οποίες ένα στοιχείο μελέτης έχει συγκεκριμένη σχέση με το προηγούμενο και το επόμενο. Η επιτρεπόμενη σχέση των ακτίνων διαδοχικών κυκλικών τόξων δίδεται στο Σχήμα 7-4.

Σχήμα 7-4: Σχέση διαδοχικών ακτίνων κυκλικών τόξων για οδούς της ομάδας Α και της κατηγορίας BI και Β ΙΙ (Επιθυμητή για τις κατηγορίες Β ΙΙΙ και B IV).
Στις κατηγορίες οδών Α Ι έως A IV και Β Ι και Β ΙΙ η αλληλουχία των ακτίνων πρέπει να βρίσκεται στην καλή περιοχή. Στις κατηγορίες οδών Β ΙΙΙ και Β IV η αλληλουχία των ακτίνων μπορεί να βρίσκεται και στη μέτρια περιοχή. Η αρμονική σχέση μεταξύ διαδοχικών καμπυλών πρέπει να εφαρμόζεται κατά κύριο λόγο στη μελέτη νέων οδών, επειδή ενδεχόμενα η εφαρμογή της υποχρέωσης αυτής κατά την βελτίωση ή την ανακατασκευή υφιστάμενων οδών είναι πολύ δύσκολη για λόγους κόστους, περιβαλλοντικών επιπτώσεων, ή πολεοδομικών περιορισμών. Όμως σ' αυτές τις περιπτώσεις (βελτίωσης ή ανακατασκευής υφιστάμενων οδών) επιβάλλεται κατά την επιλογή των διαδοχικών ακτίνων, η απαίτηση του Κριτηρίου Ασφαλείας ΙΙ για μεταβολή της ταχύτητας V85 στα επιλεγόμενα τόξα, να μην υπερβαίνει τα 15 km/h (βλέπε παράγραφο 4.3).
Για την αλληλουχία ανεξάρτητη ευθυγραμμία - τόξο συναρμογής - κυκλικό τόξο πρέπει να εφαρμόζονται κυκλικά τόξα με ακτίνα R > 400 m. Επειδή όμως η ακτίνα των 400 m βρίσκεται στο όριο μεταξύ καλής και επιτρεπόμενης περιοχής, για λόγους πρόσθετης ασφάλειας της κυκλοφορίας των οχημάτων κατά την αλληλουχία ανεξάρτητη ευθυγραμμία - καμπύλη πρέπει να εφαρμόζονται κυκλικά τόξα με ελάχιστη ακτίνα RMIN= 500 m.
Επισημαίνεται ότι κατά την εναρμόνιση των διαδοχικών ακτίνων πρέπει να τηρείται η ελάχιστη τιμή της ακτίνας που αντιστοιχεί στην ταχύτητα μελέτης.
Σε περιπτώσεις βελτίωσης / ανακατασκευής υφιστάμενων οδών η διατήρηση της μέτριας σχέσης μεταξύ των διαδοχικών ακτίνων οδηγεί συχνά στην υιοθέτηση λύσεων που αντιβαίνουν στην προσπάθεια ικανοποίησης των στόχων του περιβαλλοντικού ή του πολεοδομικού σχεδιασμού. Σε αυτές τις περιπτώσεις επιτρέπεται να μην υιοθετηθεί η οριακά παραδεκτή σχέση μεταξύ των διαδοχικών ακτίνων στις κατηγορίες οδών ΑΙΙΙ, AIV και ΒΙ, ΒΙΙ, επειδή η τήρηση της οριακά παραδεκτής σχέσης των διαδοχικών ακτίνων προκαλεί δυσμενείς επιπτώσεις στον πολεοδομικό ή περιβαλλοντικό σχεδιασμό. Παράλληλα όμως με τη μη τήρηση της οριακά παραδεκτής σχέσης πρέπει να λαμβάνονται ειδικά κυκλοφοριακά μέτρα, που θα επισημαίνουν στους οδηγούς την ύπαρξη ασυνέχειας και απότομης αλλαγής των ακτίνων, τα οποία μέτρα θα επιδρούν διορθωτικά στην οδική συμπεριφορά (κατάλληλη οριζόντια και κατακόρυφη σήμανση, ειδική δεντροφύτευση κ.λ.π.).
2.4. Τόξο κανίστρου
Το τόξο κανίστρου αποτελείται από ομόρροπα διαδοχικά κυκλικά τόξα με διαφορετικές ακτίνες και κοινές εφαπτόμενες στα κοινά σημεία. Αυτή η μορφή καμπύλης πρέπει κατά κανόνα να αποφεύγεται. Τόξα κανίστρου είναι δυνατόν να χρησιμοποιηθούν μόνο στις οδούς της ομάδας Α, καθώς και στις κατηγορίες οδών ΒΙ, ΒΙΙ, ΒΙΙΙ και BIV, όταν είναι αδύνατη η παρεμβολή τόξου συναρμογής εξ αιτίας τοπικών ιδιαιτεροτήτων, όπως διέλευση από υποχρεωτικά σημεία, τήρηση συγκεκριμένων αποστάσεων από τοποσταθερά, κ.λ.π. Η διαδοχή των ακτίνων στα τόξα κανίστρου πρέπει να είναι τέτοια, ώστε αυτές να βρίσκονται στην καλή περιοχή του διαγράμματος του Σχήματος 7-4, ενώ για τις κατηγορίες οδών ΒΙΙΙ και ΒIV επιτρέπεται να βρίσκονται στην οριακά παραδεκτή περιοχή. Το μήκος του κάθε κυκλικού τόξου, που συνθέτει το τόξο κανίστρου, πρέπει να είναι τουλάχιστον ίσο με το μήκος που διανύει ένα όχημα κινούμενο επί 2 δευτερόλεπτα με τη ταχύτητα μελέτης. Δεν επιτρέπεται η χρήση τόξων κανίστρου με περισσότερα από τρία κυκλικά τόξα.
3. Τόξο συναρμογής
3.1. Εφαρμογή
Το τόξο συναρμογής πρέπει:
| • | κατά τη μετάβαση από μία καμπυλότητα σε άλλη να επιτρέπει συνεχή γραμμική μεταβολή της φυγόκεντρης επιτάχυνσης, |
| • | να χρησιμοποιείται ως μήκος συναρμογής για τη μεταβολή της επίκλισης, |
| • | με την προοδευτική μεταβολή της καμπυλότητας να εξασφαλίζει μία αρμονική και συνεχή χάραξη με αποτέλεσμα την ανάπτυξη ομοιόμορφης λειτουργικής ταχύτητας, |
| • | να συντείνει σε μία οπτικά ικανοποιητική χάραξη, ιδιαίτερα σε οδούς των ομάδων Α και Β. |
Η εφαρμογή τόξων συναρμογής επιβάλλεται στις οδούς της ομάδας ΑΙ έως ΑIV καθώς και στις ΒΙ και BΙΙ, ενώ είναι επιθυμητή στην κατηγορία οδών BIII και BIV.
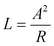
Ως τόξο συναρμογής χρησιμοποιείται η κλωθοειδής. Σε αυτό τον τύπο τόξου, η καμπυλότητα μεταβάλλεται γραμμικά με το μήκος του τόξου. Η κλωθοειδής εκφράζεται από τη σχέση:
(7-7)
όπου:
Α (m) = παράμετρος της κλωθοειδούς
R (m) = ακτίνα καμπυλότητας στο πέρας του τμήματος της κλωθοειδούς.
L (m) = μήκος του τόξου της κλωθοειδούς από την αρχή του (R = ∞) μέχρι την ακτίνα R.
Για όλες τις κατηγορίες οδών και τις VE με βάση τα δεδομένα της ασφαλείας και της άνεσης της κίνησης των οχημάτων, την αισθητική της οδού και την απορροή των ομβρίων επιτρέπεται η άμεση σύνδεση ευθυγραμμιών με κυκλικά τόξα χωρίς την παρεμβολή τόξων συναρμογής όταν:
α. η ακτίνα του κυκλικού τόξου είναι R ≥ 1000 m
β. η μεταβολή της γωνίας διεύθυνσης (γωνία θλάσης) της καμπύλης γ είναι μικρότερη από 10 gon (γ < 10 gon).
Σ' αυτές τις περιπτώσεις το ελάχιστο μήκος του τόξου min LC (m) πρέπει να είναι τουλάχιστο ίσο με το διπλάσιο της ταχύτητας μελέτης VE (km/h).
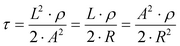
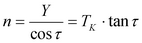
3.2. Οριακές τιμές
Η διάταξη του τόξου συναρμογής γίνεται οπτικά αντιληπτή, όταν η μεταβολή κατεύθυνσης είναι ίση τουλάχιστον με τ = 3,5 gon. Συνεπώς η ελάχιστη τιμή της παραμέτρου Α είναι:
(7-8)
Όπου:
ΑMIN (m) = ελάχιστη τιμή παραμέτρου κλωθοειδούς
R (m) = ακτίνα στο πέρας της κλωθοειδούς
Σε μεγάλες ακτίνες επιτρέπεται η επιλογή παραμέτρου κλωθοειδούς μικρότερης από τη τιμή R/3, εφόσον η τιμή της εκτροπής ΔR είναι τουλάχιστον ίση με 0,25 m.
Σε καμπύλες με πολύ μικρή επίκεντρη γωνία, όπου το μήκος του τόξου δεν επαρκεί, πρέπει το μήκος της κλωθοειδούς και του κυκλικού τόξου να είναι ίσα (L1 = LC = L2), ώστε σε κλωθοειδείς με A≥R/3 να εξασφαλίζεται μήκος κυκλικού τόξου τουλάχιστον ίσο με εκείνο που διανύει ένα όχημα κινούμενο επί 2 sec με την VE. Για αυτό πρέπει να λαμβάνεται υπόψη η μέγιστη επιτρεπόμενη πρόσθετη κλίση οριογραμμών ΔSMAX (βλέπε παράγραφο 9.4.2).
Για λόγους ασφαλείας της κυκλοφορίας η μέγιστη τιμή της παραμέτρου Α της κλωθοειδούς δεν πρέπει να υπερβαίνει την τιμή,
AMAX = R (7-9)
όπου:
AMAX (m) = μέγιστη τιμή παραμέτρου κλωθοειδούς
R (m) = ακτίνα στο πέρας της κλωθοειδούς
Η τιμή αυτή αντιστοιχεί σε μεταβολή της γωνίας εφαπτομένης ίση με τ = 31,8 gon.
Επομένως για τις προαναφερόμενες κατηγορίες οδών ισχύει η σχέση:
(7-10)
όπου:
Α (m) = παράμετρος της κλωθοειδούς σε μία καμπύλη
R (m) = ακτίνα στο πέρας της κλωθοειδούς
Για λόγους δυναμικής της κίνησης των οχημάτων και μίας επίσης οπτικά ικανοποιητικής διαμόρφωσης της οδού, η ελάχιστη παράμετρος της κλωθοειδούς δίδεται από το διάγραμμα του Σχήματος 7-5 ως συνάρτηση της ακτίνας του κυκλικού τόξου και της επίκεντρης γωνίας του. Αν η εφαρμογή του διαγράμματος δεν είναι δυνατή λόγω κατασκευαστικών περιορισμών, τότε η ελάχιστη τιμή της παραμέτρου της κλωθοειδούς ΑMIN πρέπει να υπολογίζεται με βάση το απαιτούμενο μήκος προσαρμογής της επίκλισης (μέγιστη κλίση υπερύψωσης) σύμφωνα με τη σχέση:
(7-11)
Στην περίπτωση ωοειδούς καμπύλης (τμήμα κλωθοειδούς) η σχέση (7-11) γίνεται:
(7-12)
όπου:
ΑMIN (m) = ελάχιστη τιμή παραμέτρου κλωθοειδούς
R (m) = ακτίνα στο πέρας της κλωθοειδούς
Rα (m) = ακτίνα κυκλικού τόξου στην αρχή του τμήματος της κλωθοειδούς
Rτ (m) = ακτίνα κυκλικού τόξου στο πέρας του τμήματος της κλωθοειδούς
α (m) = απόσταση οριογραμμής οδοστρώματος από τον άξονα περιστροφής του οδοστρώματος
ΔSMAX (%) = μέγιστη τιμή πρόσθετης κλίσης οριογραμμών (υπερύψωσης)
qα (%) = επίκλιση στην αρχή του τμήματος της κλωθοειδούς
qτ (%) = επίκλιση στο πέρας του τμήματος της κλωθοειδούς (επίκλιση στο κυκλικό τόξο)
+ = όταν επίκλιση qα αντίρροπη με qτ
- = όταν επίκλιση qα ομόρροπη με qτ

Σχήμα 7-5: Ελάχιστες τιμές παραμέτρου κλωθοειδούς σε συνάρτηση με την ακτίνα και την επίκεντρη γωνία του κυκλικού τόξου

Σχήμα 7-6: Γεωμετρικά χαρακτηριστικά κλωθοειδούς
Για τα γεωμετρικά χαρακτηριστικά της κλωθοειδούς ισχύουν οι σχέσεις που ακολουθούν:
Μήκος κλωθοειδούς L
|

|
(7-13)
|
Γωνία εφαπτομένης τ
|

|
(7-14)
|
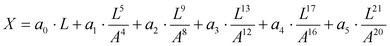
Τοπικές συντεταγμένες Χ, Y τυχόντος σημείου της κλωθοειδούς
|


όπου:
α0 = 1,0000000000
β0= 0,16666 66667
α1 = - 0,24999 99568 x 10-1
β1 = - 0,29761 71940 x 10-2
α2 = 0,28934 94937 x 10-3
β2 = 0,23668 17123 x 10-4
α3 = - 0,16689 02491 x 10-5
β3 = - 0,10266 50462 x 10-6
α4 = 0,56630 02773 x 10-8
β4 = 0,25203 17142 x 10-9
α5 = - 0,11442 20675 x 10-10
|
(7-15)
(7-16)
|
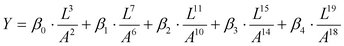
Συντεταγμένες XΜ, YΜ του κέντρου του κύκλου καμπυλότητας στην υπόψη θέση
|


|
(7-17)
(7-18)
|
Εκτροπή ΔR
|

|
(7-19)
|
Εφαπτομένη TL
|

|
(7-20)
|
Εφαπτομένη ΤK
|

|
(7-21)
|
Πολικές συντεταγμένες d και σ
|


|
(7-22)
(7-23)
|
Πολλές φορές είναι χρήσιμες και οι εξής τιμές:
|
Κάθετος της κλωθοειδούς n
|

|
(7-24)
|
Υποεφαπτόμενη TS
|

|
(7-25)
|
Υποκάθετος nS
|

|
(7-26)
|
Απόσταση της τομής της καθέτου
n με τον άξονα x (εφαπτομένη
στην αρχή κλωθοειδούς) από
την αρχή της κλωθοειδούς
|

|
(7-27)
|
L (m) = μήκος τόξου της κλωθοειδούς από την αρχή της μέχρι την υπόψη θέση
A (m) = παράμετρος κλωθοειδούς
R (m) = ακτίνα καμπυλότητας της κλωθοειδούς στην υπόψη θέση
τ (gon) = γωνία εφαπτομένης στην υπόψη θέση
ρ (-) = 63,661977 συντελεστής μετατροπής σε gon
X (m) = τετμημένη της κλωθοειδούς στην υπόψη θέση
Y (m) = τεταγμένη της κλωθοειδούς στην υπόψη θέση
ΧΜ (m) = τετμημένη του κέντρου του κύκλου καμπυλότητας στην υπόψη θέση
YΜ (m) = τεταγμένη του κέντρου του κύκλου καμπυλότητας στην υπόψη θέση
ΤΚ (m) = μήκος της εφαπτομένης από την υπόψη θέση έως το σημείο τομής με την εφαπτομένη της αρχής (βλέπε Σχήμα 7-6)
TL (m) = μήκος της εφαπτομένης της αρχής έως το σημείο τομής με την εφαπτομένη ΤΚ στην υπόψη θέση (βλέπε Σχήμα 7-6)
d (m) = απόσταση του σημείου στην υπόψη θέση από την αρχή της κλωθοειδούς (βλέπε Σχήμα 7-6)
σ (gon) = γωνία μεταξύ χορδής ΤΚ-Ω' και άξονα τετμημένων X
TS (m) = μήκος της υποεφαπτόμενης στην υπόψη θέση
nS (m) = μήκος της υποκαθέτου στην υπόψη θέση
tn (m) = απόσταση της τομής της καθέτου n με τον άξονα Χ από την αρχή της κλωθοειδούς
3.3. Μορφές τόξων συναρμογής
Για τις διάφορες μορφές των τόξων συναρμογής προκύπτουν οι απεικονιζόμενες στο Σχήμα 7-7 δυνατότητες εφαρμογής. Τόξα συναρμογής χρησιμοποιούνται κυρίως στις οδούς της ομάδας Α καθώς επίσης και στις κατηγορίες οδών ΒΙ και ΒΙΙ. Επιθυμητή είναι η χρησιμοποίησή τους και στις κατηγορίες οδών BIII και BIV, ενώ δεν απαιτείται στις οδούς AV (βλέπε Πίνακα 1-3).
3.3.1. Απλή Κλωθοειδής
Χρησιμοποιείται ως τόξο συναρμογής μεταξύ ευθυγραμμίας και κυκλικού τόξου, προκειμένου να επιτευχθεί ομοιόμορφη αύξηση της καμπυλότητας από την ευθυγραμμία στο κυκλικό τόξο και ομοιόμορφη μείωση αντίστοιχα. Έτσι προκύπτει η εξής σειρά στοιχείων : ευθυγραμμία - κλωθοειδής - κυκλικό τόξο - κλωθοειδής - ευθυγραμμία.
3.3.2. S - καμπύλη
Η S - καμπύλη αποτελείται από δύο αντίρροπες κλωθοειδείς χωρίς ενδιάμεση ευθυγραμμία (βλέπε Σχήμα 7-7). Για τη κάθε μία κλωθοειδή ισχύουν οι συνθήκες των απλών κλωθοειδών. Οι δύο κλωθοειδείς είναι σκόπιμο να έχουν την ίδια περίπου παράμετρο για λόγους αρμονίας της χάραξης και ομοιόμορφης πρόσθετης κλίσης των οριογραμμών. Στην περίπτωση που οι παράμετροι Α1, Α2 των κλωθοειδών διαφέρουν, πρέπει για Α2 ≤ 200 σε οδούς των κατηγοριών ΑΙ και ΑΙΙ και κατά το δυνατόν σε οδούς των κατηγοριών ΑΙΙΙ, ΒΙ και ΒΙΙ να ισχύει η σχέση:
(7-28)
όπου:
Α1 (m) = μεγάλη παράμετρος κλωθοειδούς
Α2 (m) = μικρή παράμετρος κλωθοειδούς

Σχήμα 7-7: Δυνατότητες εφαρμογής της κλωθοειδούς
Η σχέση των ακτίνων των κυκλικών τόξων της S-καμπύλης καθορίζεται από το Σχήμα 7-4 .
Για την προσαρμογή σε τοπικά υποχρεωτικά σημεία επιτρέπεται η διάταξη ευθυγραμμίας μικρού μήκους μεταξύ των δύο σημείων αρχής. Προκειμένου να διατηρηθεί η οπτική εντύπωση της S-καμπύλης, πρέπει η τιμή του μήκους της ενδιάμεσης ευθυγραμμίας να μην υπερβαίνει την τιμή:
(7-29)
όπου:
Α1,2 (m) = παράμετροι κλωθοειδούς
LZ (m) = μήκος της ενδιάμεσης ευθυγραμμίας
Η ωοειδής καμπύλη είναι τμήμα κλωθοειδούς, του οποίου η αρχική καμπυλότητα είναι η καμπυλότητα του πρώτου κυκλικού τόξου. Χρησιμοποιείται ως τόξο συναρμογής μεταξύ δύο ομόρροπων κυκλικών τόξων (βλέπε Σχήμα 7-7), εκ των οποίων το ένα περιέχει το άλλο. Αν τέμνονται ή είναι το ένα δίπλα στο άλλο, πρέπει να χρησιμοποιηθεί βοηθητικό κυκλικό τόξο, οπότε προκύπτει η εξής σειρά στοιχείων : κυκλικό τόξο - ωοειδής - κυκλικό τόξο (βοηθητικό) - ωοειδής - κυκλικό τόξο.
Για τις ακτίνες των εκατέρωθεν της ωοειδούς κυκλικών τόξων ισχύουν οι οριακές τιμές του Πίνακα 7-3. Και σ' αυτή την περίπτωση πρέπει να εξασφαλίζεται μεταβολή κατεύθυνσης τ ≥ 3.5 gon, προκειμένου η ωοειδής να είναι οπτικά αντιληπτή.
Πίνακας 7-3: Οριακές τιμές ωοειδούς καμπύλης
Πεδίο μικρότερης ακτίνας R2 (m)
|
Επιτρεπόμενη σχέση ακτίνων R1:R2
|
Ελάχιστο μήκος κλωθοειδούς LMIN (m)
|
R2 ≤ 100
|
1,5
|
VE (km/h)/3.6
|
100 < R2 ≤ 500
|
2,0
|
R2 > 500
|
χωρίς περιορισμό
|
3.3.4. Κλωθοειδής κανίστρου
Η κλωθοειδής κανίστρου αποτελείται από αλληλουχία ομόρροπων τμημάτων κλωθοειδών με διαφορετικές παραμέτρους. Στα σημεία επαφής των επιμέρους κλωθοειδών, οι ακτίνες είναι ίσες και οι εφαπτόμενες κοινές.
Η κλωθοειδής κανίστρου για λόγους κυκλοφοριακής ασφάλειας πρέπει να αποφεύγεται σε οδούς των κατηγοριών ΑΙ, ΑΙΙ, ΑΙΙΙ, ΒΙ, ΒΙΙ και ΒΙΙΙ. Όταν όμως δεν μπορεί να αποφευχθεί οι παράμετροι των διαδοχικών κλωθοειδών δεν πρέπει να διαφέρουν πολύ μεταξύ τους.
3.3.5. C - κλωθοειδής
Η C - κλωθοειδής αποτελείται από αλληλουχία δύο ομόρροπων κλωθοειδών σε επαφή κατά τα αρχικά σημεία τους. Επειδή η περιοχή μικρής καμπυλότητας με τ < 3,5 gon διαφέρει ελάχιστα από την ευθεία, προκαλείται η οπτική εντύπωση ενδιάμεσης ευθυγραμμίας. Για αυτό το λόγο πρέπει να αποφεύγεται η χρήση της.
3.3.6. Κλωθοειδής κορυφής
Η κλωθοειδής κορυφής αποτελείται από δύο απλές ομόρροπες συνεχόμενες κλωθοειδείς με παραμέτρους Α1 και Α2, χωρίς ενδιάμεσο κυκλικό τόξο, με ακτίνα καμπυλότητας R1 = R2 = RS στη θέση επαφής.
Εφαρμόζεται μόνο σε εξαιρετικές περιπτώσεις, επειδή η άμεση διαδοχή καμπύλης με αυξανόμενη καμπυλότητα με καμπύλη με μειούμενη καμπυλότητα προκαλεί δυσκολίες στη κίνηση των οχημάτων. Οι παράμετροι των κλωθοειδών πρέπει κατά το δυνατόν να είναι ίσες (Α1 = Α2) ιδιαίτερα σε οδούς των κατηγοριών ΑΙ και ΑΙΙ και να αποφεύγεται η χρήση κλωθοειδούς κορυφής με ακτίνες μικρότερες από εκείνες του πίνακα 7-4.
Πίνακας 7-4: Ελάχιστες ακτίνες (min RS) σε κλωθοειδείς κορυφής
min RS (m) σε οδούς της ομάδας
|
Α
|
Β
|
500
|
260
|
Για λόγους δυναμικής της κυκλοφορίας καθώς και για κατασκευαστικούς λόγους η μέγιστη τιμή της επίκλισης κατανέμεται κατά το ήμισυ και στις δύο κλωθοειδείς και εφαρμόζεται σε μήκος ίσο με:
LΣΤΑΘ,q = 0,3 x VE (7-30)
όπου:
LΣΤΑΘ,q (m) = μήκος με σταθερή επίκλιση
VE (km/h) = ταχύτητα μελέτης