| Συνδεθείτε στην Υπηρεσία Νομοσκόπιο | | | | | Νέοι χρήστες | | Εάν είστε νέος χρήστης, θα πρέπει να δημιουργήσετε ένα ΔΩΡΕΑΝ λογαριασμό προκειμένου να φύγει το παράθυρο αυτό και να αποκτήσετε πλήρη πρόσβαση στην υπηρεσία Νομοσκόπιο. | | Δημιουργία νέου λογαριασμού | | |
1. Αρχές μελέτης
Η μελέτη μιας οδού της ομάδας οδών Γ που περιλαμβάνει τις κατηγορίες οδών ΓΙΙΙ και ΓΙV (βλέπε παράγραφο 1.1 Περιοχή ισχύος) στοχεύει στην αρμονική, όσο είναι δυνατόν, συνύπαρξη των κυκλοφοριακών απαιτήσεων της οδού με τις διαφορετικές χρήσεις του περιβάλλοντος χώρου της. Επιπλέον η μελέτη μιας τέτοιας οδού έχει ως στόχο την άρση όλων των άμεσων αρνητικών επιδράσεων που συνοδεύουν τη μηχανοκίνητη κυκλοφορία. Συχνά όμως το μόνο που επιτυγχάνεται, είναι η άμβλυνση προβλημάτων που εμφανίζονται στις περιοχές των κατοικιών.
Οι μελέτες των κυρίων αστικών οδών με λειτουργικό χαρακτήρα τη σύνδεση διακρίνονται σε:
| • | μελέτες ανακατασκευών για αναβάθμιση |
| • | μελέτες ανακατασκευών για υποβάθμιση |
Οι ανακατασκευές για αναβάθμιση περιλαμβάνουν την αλλαγή του οδικού χώρου, λαμβάνοντας υπόψη τις κυκλοφοριακές και μη κυκλοφοριακές απαιτήσεις των χρηστών του οδικού χώρου και τα μορφολογικά χαρακτηριστικά της οδού, διατηρώντας όμως τη μέχρι τώρα λειτουργία της οδού, όσον αφορά το σύνολο του αστικού οδικού δικτύου. Οι κατασκευές νέων οδών απαιτούν επίσης την ενσωμάτωση των κυρίων αστικών οδών στο παρόδιο αστικό περιβάλλον τους, τη στάθμιση των διαφόρων απαιτήσεων από τους χρήστες της οδού καθώς επίσης και την ευέλικτη και προσαρμοσμένη, στις εκάστοτε συνθήκες, επιλογή των στοιχείων μελέτης.
Οι ανακατασκευές για υποβάθμιση αναφέρονται στις αλλαγές του οδικού χώρου ώστε να προσαρμοστούν στις απαιτήσεις των χρηστών της οδού, χάνοντας όμως τη λειτουργική βαθμίδα, που είχαν μέσα στο οδικό δίκτυο της πόλης συνολικά.
Η επιλογή μιας ενιαίας ταχύτητας μελέτης VE σε όλο το μήκος, κατά το δυνατόν, των κυρίων αστικών οδών με παρόδια δόμηση και μεγάλη απόσταση μεταξύ κόμβων, καθώς και η απόδοση σε αυτές μιας υψηλής βαθμίδας σύνδεσης, θεωρείται σκόπιμη και ότι έχει πολλά πλεονεκτήματα για τη μηχανοκίνητη κυκλοφορία. Ταχύτητες μελέτης της τάξης των VE = 50 έως 60 km/h προτιμώνται, όταν η παρόδια δόμηση απαιτεί πολλές προσβάσεις από την οδό, ενώ όταν οι απαιτήσεις πρόσβασης από την οδό είναι μειωμένες, τότε η ταχύτητα μελέτης μπορεί να λάβει και την τιμή των 70 km/h. Το ίδιο ισχύει και για τις ταχύτητες των μέσων σταθερής τροχιάς, όταν οι αποστάσεις μεταξύ των στάσεων είναι σχετικά μεγάλες.
Σε κύριες αστικές οδούς με παρόδια δόμηση κατά το συνεχές σύστημα, με στενούς οδικούς χώρους και έντονα τα στοιχεία της καθοδήγησης (π.χ. συστοιχίες δέντρων) δεν απαιτείται πάντοτε η αυστηρή τήρηση των κριτηρίων της δυναμικής κίνησης των οχημάτων για τον προσδιορισμό της οριζοντιογραφίας ή της μηκοτομής αυτών των οδών. Αυτό συμβαίνει επειδή κατά κανόνα οι οδηγοί επηρεάζονται άμεσα από την εικόνα του οδικού χώρου κατά την επιλογή της ταχύτητας οδήγησης και ακόμη επειδή η μελέτη της οδού σύμφωνα με τη δυναμική της κίνησης των οχημάτων, θα επέφερε αδικαιολόγητες επεμβάσεις στον παρόδιο χώρο και στον πολεοδομικό ιστό. Παράλληλα, δομικά οριοθετημένοι οδικοί χώροι πρέπει να διατηρούνται αναλλοίωτοι, όσο είναι δυνατόν, ακόμα και σε περιπτώσεις ανακατασκευών για αναβάθμιση της οδού, όπου η χάραξη πρέπει να προσαρμόζεται απόλυτα στις επικρατούσες τοπογραφικές συνθήκες και μορφές δόμησης. Με περιορισμό γενικά του οπτικού πεδίου των οδηγών και χρησιμοποιώντας φειδωλά ευθυγραμμίες, μπορεί κανείς να επηρεάσει την ταχύτητα των οχημάτων. Οι ταχύτητες μελέτης, που ανταποκρίνονται στις παραπάνω συνθήκες είναι VE = 40 km/h, όταν ο παρόδιος χώρος είναι ιδιαίτερα ευαίσθητος στις κυκλοφοριακές επιπτώσεις και VE = 50 km/h στην αντίθετη περίπτωση.
Ιδιαίτερη προσοχή απαιτείται, όσον αφορά τις επιπτώσεις των οδών της ομάδας Γ, όταν οι οδοί αυτές είναι διήκουσες. Ιδιαίτερα σε περιπτώσεις οδών που διέρχονται από χωριά ή μικρές πόλεις πρέπει να εξετάζεται το ενδεχόμενο εφαρμογής μέτρων για ηπιότερης μορφής κυκλοφορία, όπως π.χ. ζώνες 30 km/h κ.λ.π.
Επισημαίνεται ότι για τις οδούς της ομάδας Γ ισχύει
VE = VΕΠΙΤΡ
2. Στοιχεία μελέτης οριζοντιογραφίας, μηκοτομής και διατομής (βλέπε και Πίνακα 3-2)
2.1. Κυκλικά τόξα
Η εναρμόνιση μεταξύ των διαδοχικών ακτίνων ομόρροπων ή αντίρροπων κυκλικών τόξων σύμφωνα με τις αρχές της αρμονικής χάραξης, ή της ομοιογένειας της χάραξης (βλέπε ΟΜΟΕ-Χ) δεν θεωρείται απαραίτητη στις περιπτώσεις κύριων αστικών οδών, δεδομένου ότι η γεωμετρική μορφή της οδού γίνεται απόλυτα αντιληπτή κατά κανόνα μέσω της οριοθέτησης του οδικού χώρου. Ακόμα και σε περιπτώσεις κύριων αστικών οδών με αραιή παρόδια δόμηση, η συσχέτιση των διαδοχικών ακτίνων μεταξύ τους θεωρείται περιττή, αφού μία τέτοια συσχέτιση οδηγεί πολλές φορές σε μη επιθυμητές επεμβάσεις στο περιβάλλον της οδού. Πρέπει όμως να γίνεται έλεγχος-αξιολόγηση της οδού με το Κριτήριο Ασφαλείας ΙΙΙ των ΟΜΟΕ-Χ.
2.2. Τόξα συναρμογής οριζοντιογραφίας
Τα τόξα συναρμογής θεωρούνται απαραίτητα στοιχεία μελέτης στις κύριες αστικές οδούς με αραιή παρόδια δόμηση, ενώ η εφαρμογή τους είναι επιθυμητή σε κύριες αστικές οδούς με πυκνή παρόδια δόμηση, όταν αυτές μελετώνται με βάση τη δυναμική της κίνησης των οχημάτων, ανεξαρτήτως κατηγορίας (ΓΙΙΙ ή ΓΙV).
2.3. Κατά μήκος κλίσεις
Οι κατά μήκος κλίσεις των κυρίων αστικών οδών πρέπει να είναι όσο το δυνατόν μικρότερες, χωρίς όμως να δημιουργούνται προβλήματα στην καλή απορροή των ομβρίων υδάτων, προκειμένου να εξυπηρετούνται οι μετακινήσεις των ποδηλατιστών, των αναπηρικών οχημάτων και των βαρέων οχημάτων. Εκτός τούτου, η εφαρμογή μεγάλων κατά μήκος κλίσεων επιφέρει αύξηση της ηχητικής και ατμοσφαιρικής ρύπανσης, ιδιαίτερα μάλιστα όταν με χρήση μεμονωμένων στοιχείων μελέτης και με μικρή απόσταση κόμβων δεν υπάρχει συνεχής ροή της κυκλοφορίας, αλλά, αντιθέτως συχνές στάσεις των οχημάτων (υψηλές στροφές μηχανής). Επίσης, ένα τελευταίο κριτήριο επιλογής των κατά μήκος κλίσεων είναι η όσο το δυνατόν καλή προσαρμογή της οδού στο έδαφος και η αποφυγή χρήσης τοίχων αντιστηρίξεως, τουλάχιστον στις περιπτώσεις οδών με πυκνή παρόδια δόμηση.
2.4. Καμπύλες συναρμογής (στρογγύλευσης) μηκοτομής
Οι καμπύλες συναρμογής της μηκοτομής επιλέγονται έτσι ώστε σε συνδυασμό με τα στοιχεία της οριζοντιογραφίας:
| • | να εξασφαλίζουν επαρκή μήκη ορατότητας |
| • | να προστατεύουν το παρόδιο περιβάλλον |
| • | να προσαρμόζονται στη μορφή του εδάφους όσο το δυνατόν καλύτερα και να απαιτούν, επομένως, λιγότερους τοίχους αντιστήριξης, ιδιαίτερα στις περιπτώσεις οδών με πυκνή παρόδια δόμηση. |
Οι ακτίνες των καμπυλών συναρμογής της μηκοτομής μπορεί να είναι μικρότερες των τιμών που προτείνονται στον Πίνακα 3-2, όταν μόνον με τον τρόπο αυτό αποφεύγονται ανεπιθύμητες επεμβάσεις στην πολεοδομική μορφή του παρόδιου χώρου. Μεγαλύτερες τιμές ακτίνων των καμπυλών συναρμογής από αυτές του Πίνακα 3-2, έχουν κατά κανόνα, σαν αποτέλεσμα, μία καλύτερη οπτική εικόνα του οδικού χώρου.
2.5. Επικλίσεις (βλέπε Σχήμα 3-1)
Η τυπική επίκλιση της ευθυγραμμίας είναι η ελάχιστη τιμή της:
qmin = 2,5%
Αν ο τύπος της χρησιμοποιούμενης επιφάνειας κυκλοφορίας δεν εξασφαλίζει την καλή αποστράγγιση της οδού με την παραπάνω τιμή της επίκλισης, τότε η ελάχιστη τιμή της επίκλισης αυξάνεται σε qmin = 3,0 ... 3,5%.
Ως μορφή επιφάνειας κυκλοφορίας με τέσσερις λωρίδες κυκλοφορίας (δύο ανά κατεύθυνση) χωρίς νησίδα επιλέγεται κατά κανόνα στις ευθυγραμμίες το αμφικλινές (βλέπε Σχήμα 9-1, ΟΜΟΕ-Χ).
Σε επιφάνειες κυκλοφορίας με νησίδες επιλέγεται κατά κανόνα στις ευθυγραμμίες ενιαία κλίση του οδοστρώματος για κάθε μία κατεύθυνση (βλέπε Σχήμα 9-1, ΟΜΟΕ-Χ) Στα καμπύλα τμήματα η διαμόρφωση της επίκλισης διαφέρει, ανάλογα με το αν η κύρια αστική οδός είναι με αραιή ή με πυκνή παρόδια δόμηση.
Στην περίπτωση κύριων αστικών οδών με αραιή παρόδια δόμηση, οι οποίες μελετώνται κατά κανόνα με βάση τη δυναμική της κίνησης των οχημάτων, η επίκλιση του οδοστρώματος εξαρτάται από την ακτίνα της καμπύλης και τη λειτουργική ταχύτητα V85 σύμφωνα με το διάγραμμα του Σχήματος 3-1. Οι τιμές που προκύπτουν από το διάγραμμα του Σχήματος 3-1 στρογγυλεύονται στο 0,5% προς τα επάνω.
Σε οδούς με αμφικλινές οδόστρωμα μπορεί να διατηρηθεί η μορφή αυτή του οδοστρώματος και στα καμπύλα τμήματα, και να εφαρμόζεται αρνητική επίκλιση μέχρι την ελάχιστη ακτίνα της καμπύλης που φαίνεται στον Πίνακα 3-2. (επίκλιση προς το εξωτερικό της καμπύλης). Στις περιπτώσεις αυτές η επίκλιση του οδοστρώματος ανέρχεται σε q = ± 2,5%.
Οι πρόσθετες λωρίδες κυκλοφορίας και τα σταθεροποιημένα ερείσματα θα πρέπει, για λόγους κατασκευαστικούς καθώς και λόγω της δυναμικής της κινήσεως των οχημάτων, να έχουν στις καμπύλες την ίδια τιμή και φορά της επίκλισης με αυτές του κυρίως οδοστρώματος.
Σε κύριες αστικές οδούς με πυκνή παρόδια δόμηση η τιμή της επίκλισης στις ευθυγραμμίες q = 2,5% διατηρείται και στα καμπύλα τμήματα, όταν η μελέτη της οδού δεν γίνεται με βάση τη δυναμική της κίνησης των οχημάτων ή όταν η τυχόν ύπαρξη τροχιοδρόμων (τραμ) δεν επιβάλλει διαφορετικές τιμές επίκλισης.

Σχήμα 3-1: Επικλίσεις κύριων αστικών οδών
2.6. Συναρμογή των επικλίσεων
Η συναρμογή των επικλίσεων ακολουθεί τους κανόνες και τις τιμές που αναφέρονται στο σχετικό κεφάλαιο των OMOE-Χ.
2.7. Διευρύνσεις
Οι εξωτερικές οριογραμμές κυκλοφορίας χαράζονται παράλληλα με τις εσωτερικές οριογραμμές που προκύπτουν από την εκάστοτε εφαρμοζόμενη διεύρυνση. Σε περιοχές με μικρές ακτίνες καμπύλης η διεύρυνση γίνεται στην οριογραμμή που βρίσκεται στο εσωτερικό της καμπύλης, ενώ σε περιοχές με τεταμένη χάραξη η διεύρυνση γίνεται εκατέρωθεν του άξονα της οδού. Έτσι επιτυγχάνεται πάντα ικανοποιητική εικόνα ως προς τον οδηγό.
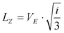
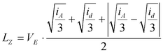
Συνήθως η διεύρυνση της επιφάνειας κυκλοφορίας λαμβάνει χώρα μέσω δύο σιγμοειδών καμπυλών (μορφής S) που ορίζονται ως παραβολές δευτέρου βαθμού (βλέπε Σχήμα 3-2). Το μήκος LZ μεταβολής του πλάτους υπολογίζεται από τη σχέση (1) ή (2). Προκειμένου η διαμόρφωση να ακολουθεί αυστηρές αρχές προσαρμογής στη γεωμετρική πορεία των οχημάτων, μπορεί το μήκος μεταβολής του πλάτους να ληφθεί σταθερό και ίσο με LZ = 20 m, για μέγιστη διαπλάτυνση 2 m.
(1)
όπου:
VE (km/h) = ταχύτητα μελέτης
iA (m) = πλάτος διεύρυνσης αριστερά του άξονα
id (m) = πλάτος διεύρυνσης δεξιά του άξονα
όταν iA = id = i τότε 

Σχήμα 3-2: Παράδειγμα μεταβολής πλάτους οδοστρώματος εκατέρωθεν του άξονα για τη δημιουργία λωρίδας αριστερής στροφής.
2.8. Διαπλατύνσεις σε καμπύλες
Οι διαπλατύνσεις της επιφάνειας κυκλοφορίας στα καμπύλα τμήματα είναι απαραίτητες, προκειμένου η περίπτωση συνάντησης τυπικών οχημάτων, που λαμβάνεται ως η τυπική για τη μελέτη της οδού και ανάλογα με την αναμενόμενη συχνότητα συνάντησης των τυπικών οχημάτων, να διασφαλίζει την απρόσκοπτη ροή της κυκλοφορίας και στα καμπύλα τμήματα. Όταν η περίπτωση συνάντησης των τυπικών οχημάτων εμφανίζεται σπάνια, μπορεί να γίνει αποδεκτή η χρήση της λωρίδας κυκλοφορίας του αντίθετου ρεύματος από τα μεγαλύτερα οχήματα, εφόσον με τον τρόπο αυτό αποφεύγονται ανεπιθύμητες επεμβάσεις στον οδικό χώρο.
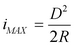
Η διαπλάτυνση της οδού στο κυκλικό τόξο υπολογίζεται για κάθε λωρίδα κυκλοφορίας από τη σχέση (βλέπε ΟΜΟΕ- Χ):
(2)
όπου:
imax (m) = διαπλάτυνση λωρίδας κυκλοφορίας
R (m) = ακτίνα κυκλικού τόξου του άξονα της οδού
D (m) = άθροισμα μήκους μεταξονίου και μήκους εμπρόσθιου προβόλου οχήματος.
Όταν οι ακτίνες λάβουν τιμές R ≥ 30 m, ο υπολογισμός της τιμής imax μπορεί να υπολογισθεί και από την προσεγγιστική σχέση:
(3)
Για την τιμή D των διαφόρων οχημάτων μπορούν να χρησιμοποιηθούν οι παρακάτω αποστάσεις:
Επιβατηγό όχημα: 4,00 m
Φορτηγό (βαρύ όχημα): 8,00 m
Φορτηγό ημιρυμουλκούμενο (επικαθήμενο): 10,00 m
Λεωφορείο 1 (τυπικό λεωφορείο): 8,50 m
Λεωφορείο 2 (αρθρωτό λεωφορείο): 9,00 m
Λεωφορείο 3 (τύπου megaliner): 11,70 m
Η συνολική απαιτούμενη διαπλάτυνση του οδοστρώματος ανάλογα με την τυπική περίπτωση συνάντησης (σε οδούς κατηγορίας ΓΙΙΙ φορτηγό / φορτηγό, σε οδούς κατηγορίας ΓIV συνάντηση τυπικών οχημάτων σύμφωνα με τις ισχύουσες τοπικές συνθήκες κυκλοφορίας), ισούται με το άθροισμα των διαπλατύνσεων για κάθε λωρίδα κυκλοφορίας. Η συνολική αυτή τιμή της διαπλάτυνσης θεωρείται, εντούτοις, απαραίτητη μόνο όταν η μεταβολή της γωνίας διευθύνσεως μέχρι του σημείου που η διαπλάτυνση θα λάβει την τελική τιμή της (imax), υπερβαίνει την τιμή:
(4)
Σε διαφορετική περίπτωση η διαπλάτυνση υπολογίζεται από τη σχέση:
(5)
όπου:
IΑΠΑΙΤ = μειωμένη τιμή διαπλάτυνσης
γΥΠΑΡΧ = υπάρχουσα μεταβολή γωνίας διεύθυνσης
γmax = μέγιστη τιμή γωνίας διεύθυνσης
ρ = συντελεστής μείωσης
Διαπλατύνσεις με τιμές μικρότερες από 0,25 m δε λαμβάνονται υπόψη όταν το πλάτος της επιφάνειας κυκλοφορίας είναι ≤6,00 m. Το ίδιο ισχύει και για διαπλατύνσεις μικρότερες από 0,50 m για πλάτη οδοστρωμάτων μεγαλύτερα των 6,00 m. Οι υπολογισμοί των διαπλατύνσεων για κάθε μία λωρίδα κυκλοφορίας αναφέρονται στον άξονα της οδού. Η διαπλάτυνση i εφαρμόζεται στην εσωτερική πλευρά της καμπύλης, δηλαδή στην εσωτερική λωρίδα κυκλοφορίας.
2.9. Μήκος ορατότητας για στάση
Ως ελάχιστο μήκος ορατότητας για στάση Sh ορίζεται το μήκος εκείνο που απαιτείται να διανύσει ένα όχημα κινούμενο με την επιτρεπόμενη ταχύτητα, προκειμένου να σταματήσει πριν από ένα μη αναμενόμενο εμπόδιο πάνω στο οδόστρωμα (Σχήμα 3-3). Ο υπολογισμός του μήκους Sh γίνεται όπως και στην περίπτωση των υπεραστικών οδών, λαμβάνοντας όμως ως χρόνο αντίληψης-αντίδρασης ίσο με 1,5 sec.
Τα μήκη ορατότητας που προκύπτουν για την επιτρεπόμενη ταχύτητα της οδού (π.χ. για όριο ταχύτητας 50 km/h, Sh = 38 έως 51 m), δεν μπορούν να τηρηθούν στα καμπύλα τμήματα κυρίων αστικών οδών λόγω της δόμησης που υπάρχει και των σταθμευμένων οχημάτων. Αυτό το σοβαρό μειονέκτημα ασφαλείας μπορεί να αντιμετωπισθεί με μεθόδους και περιορισμούς για μείωση της ταχύτητας ή με λήψη ειδικών μέτρων ρύθμισης της κυκλοφορίας.
Οι οριακές τιμές των βασικών στοιχείων μελέτης της οριζοντιογραφίας της μηκοτομής και της διατομής, των οδών ομάδας Γ περιλαμβάνονται με συνοπτική μορφή στον Πίνακα 3-2.

Σχήμα 3-3: Μήκος ορατότητας για στάση Sh σε κύριες αστικές οδούς (V = VΕΠΙΤΡ)
Πίνακας 3-2: Οριακές τιμές των στοιχείων μελέτης οδών ομάδας Γ (οι τιμές που θα εφαρμοσθούν πρέπει να ικανοποιούν όλες τις προαναφερόμενες απαιτήσεις)
Στοιχεία Μελέτης
|
Καθοριστική ταχύτητα
|
Αρχή της μελέτης με βάση τη δυναμική της κίνησης των οχημάτων
|
|
Αρχή της μελέτης με βάση τη
|
Οριακές τιμές μεγεθών των στοιχείων μελέτης σύμφωνα με την καθοριστική ταχύτητα (km/h)
|
γεωμετρική κίνηση των οχημάτων
|
για VΕΠΙΤΡ (=VE) ή V85 (βλέπε στήλη 3)
|
για VΕΠΙΤΡ ≤ 30 km/h
|
40
|
50
|
60
|
70
|
80
|
1
|
2
|
3
|
4
|
5
|
6
|
7
|
8
|
Ο ρ ι ζ ο ν τ ι ο γ ρ α φ ί α
|
Ελάχιστη ακτίνα καμπύλης
|
min R
|
(m)
|
VΕΠΙΤΡ
|
40
|
70
|
100
|
150
|
-
|
10
|
Ελάχιστη παράμετρος κλωθοειδούς
|
min A
|
(m)
|
VΕΠΙΤΡ
|
30
|
50
|
70
|
90
|
-
|
Δεν έχει νόημα
|
Ελάχιστη ακτίνα καμπύλης για την εφαρμογή αρνητικής επίκλισης ~2.5%
|
min R
|
(m)
|
V85
|
80
|
130
|
200
|
300
|
450
|
Δεν έχει νόημα
|
Μ η κ ο τ ο μ ή
|
Μέγιστη κατά μήκος κλίση
|
max s
|
(%)
|
VΕΠΙΤΡ
|
8,0 (12,0)
|
7,0 (10,0)
|
6,0 (8,0)
|
5,0 (7,0)
|
-
|
8,0 (12,0)
|
Ελάχιστη κατά μήκος κλίση στην περιοχή στροφής του οδοστρώματος
|
min s
|
(%)
|
-
|
0,5 & S - ΔS ≥ 0,5% (με κράσπεδο)
|
Ελάχιστη ακτίνα κυρτής καμπύλης
|
min Ηκ
|
(m)
|
VΕΠΙΤΡ
|
450
|
1000
|
1800
|
2150
|
-
|
250
|
Ελάχιστη ακτίνα κοίλης καμπύλης
|
min Hw
|
(m)
|
VΕΠΙΤΡ
|
250
|
500
|
900
|
1100
|
-
|
150
|
Δ ι α τ ο μ ή
|
Ελάχιστη επίκλιση
|
min q
|
(%)
|
V85
|
2,5
|
Μέγιστη επίκλιση σε καμπύλες
|
max q
|
(%)
|
V85
|
6,0 (7,0)
Ενδιαμέσως, η τιμή εξαρτάται από την R 2,5 (σε ευθυγραμμία)
|
Συνιστώμενη 2,5 ή μεγαλύτερη μέχρι 7% για άλλους λόγους
|
α<4 0 m
Μέγιστη πρόσθετη κλίση οριογραμμών α*>4 0 m
|
max ΔS
|
(%)
|
VΕΠΙΤΡ
|
0,50 α
2,0
|
0,40 α
1,6
|
Δεν έχει νόημα
|
Ελάχιστη πρόσθετη κλίση οριογραμμών
|
min ΔS
|
(%)
|
-
|
0,10 α*
|
|
Ελάχιστο μήκος ορατότητας για στάση όταν s = 0%
|
min Sh
|
(m)
|
VΕΠΙΤΡ
|
30
|
45
|
60
|
80
|
-
|
20
|
* α (m) = απόσταση του άξονα περιστροφής της επιφάνειας κυκλοφορίας από την εξωτερική οριογραμμή της απώτατης, ως προς αυτόν, λωρίδας κυκλοφορίας (δε νοούνται οι πρόσθετες λωρίδες, Λωρίδα Έκτακτης Ανάγκης ή ΛΠΧ και λωρίδες καθοδήγησης)
** = με ορατότητα για στάση με s=0% Προσοχή: Για τις επιλεγόμενες τιμές πριν από την οριστική υιοθέτηση τους, πρέπει οπωσδήποτε να επαληθεύεται ότι αυτές ικανοποιούν όλες τις απαιτήσεις ορατότητας, όπως αυτές διατυπώνονται στην παράγραφο 10.3 των ΟΜΟΕ-Χ.
Παρατήρηση: Οι τιμές σε παρένθεση ισχύουν σε εξαιρετικές περιπτώσεις