| Συνδεθείτε στην Υπηρεσία Νομοσκόπιο | | | | | Νέοι χρήστες | | Εάν είστε νέος χρήστης, θα πρέπει να δημιουργήσετε ένα ΔΩΡΕΑΝ λογαριασμό προκειμένου να φύγει το παράθυρο αυτό και να αποκτήσετε πλήρη πρόσβαση στην υπηρεσία Νομοσκόπιο. | | Δημιουργία νέου λογαριασμού | | |
Η ενιαία τιμή προεκτιμώμενης αμοιβής (Α) για την εκπόνηση μελέτης κυρίων συλλεκτήρων ομβρίων, οποιουδήποτε είδους διατομής, ή διευθέτησης ρεμάτων εντός αστικών περιοχών υπολογίζεται συναρτήσει του μήκους, βάσει του τύπου:

όπου:
L: το μήκος του συλλεκτήρα ή ρέματος σε m
β: συντελεστής ως εξής:
| o | για ελεύθερο άνοιγμα συλλεκτήρα ή διευθέτησης ≤ 2,00 m β=750 |
| o | για ελεύθερο άνοιγμα συλλεκτήρα ή διευθέτησης 4,00 m β=1.100 |
| o | για ελεύθερο άνοιγμα συλλεκτήρα ή διευθέτησης 6,00 m β=1.500 |
| o | για ελεύθερο άνοιγμα συλλεκτήρα ή διευθέτησης 8,00 m β=2.250 |
| o | για ελεύθερο άνοιγμα συλλεκτήρα ή διευθέτησης 15,00 m β=3.350 |
| o | για ελεύθερο άνοιγμα συλλεκτήρα ή διευθέτησης ≥ 20,0 m β=3.750 |
Για ενδιάμεσες τιμές ανοίγματος συλλεκτήρα ο β υπολογίζεται με γραμμική παρεμβολή.
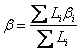
Σε περίπτωση μεταβαλλόμενων διατομών με επί μέρους μήκη Li και συντελεστές βi υπολογίζεται ο μέσος β:

Εφόσον τμήμα του συλλεκτήρα διέρχεται υψομετρικά κάτω από τη στάθμη υπόγειου υδροφορέα τότε η αμοιβή Α προσαυξάνεται κατά (3000+0,20 x L) x τ.κ., όπου L το συνολικό μήκος του υπόψη συλλεκτήρα σε m, για την κάλυψη των απαραίτητων μελετών αντιστήριξης, έλεγχο υδάτων κ.λ.π.