| Συνδεθείτε στην Υπηρεσία Νομοσκόπιο | | | | | Νέοι χρήστες | | Εάν είστε νέος χρήστης, θα πρέπει να δημιουργήσετε ένα ΔΩΡΕΑΝ λογαριασμό προκειμένου να φύγει το παράθυρο αυτό και να αποκτήσετε πλήρη πρόσβαση στην υπηρεσία Νομοσκόπιο. | | Δημιουργία νέου λογαριασμού | | |
Προεδρικό Διάταγμα 12-10-1981: Περί τροποποιήσεως του από 21-11-1979 προεδρικού διατάγματος περί αναθεωρήσεως των όρων και περιορισμών δόμησης των οικοπέδων των περιοχών Διονύσου - Νέας Αιολίδας του ρυμοτομικού σχεδίου της Κοινότητας Σταμάτας (Αττικής), ως τροποποιήθηκε μεταγενέστερα, (ΦΕΚ 591/Δ/1981), 16-10-1981.
Ο Πρόεδρος της Ελληνικής Δημοκρατίας
Έχοντας υπόψη:
1. Τις διατάξεις του από 17-07-1923 νομοθετικού διατάγματος περί σχεδίων πόλεων κ.λ.π. ως μεταγενεστέρως τροποποιήθηκαν και συμπληρώθηκαν και ειδικότερα των άρθρων 9 και 85Α αυτού.
2. Τις διατάξεις του νόμου 1032/1980 περί συστάσεως Υπουργείου Χωροταξίας, Οικισμού και Περιβάλλοντος (ΦΕΚ 57/Α/1980) και ειδικότερα των άρθρων 2, 3 και 7 αυτού.
3. Την υπ' αριθμόν 812/1981 γνωμοδότηση του Συμβουλίου της Επικρατείας, με πρόταση του Υπουργού Χωροταξίας, Οικισμού και Περιβάλλοντος, αποφασίζουμε:
Άρθρο μόνο
Το εδάφιο α της παραγράφου 7 του άρθρου 2 του από 21-11-1979 προεδρικού διατάγματος περί αναθεωρήσεως των όρων και περιορισμών δόμησης των οικοπέδων των περιοχών Διονύσου - Νέας Αιολίδας του ρυμοτομικού σχεδίου της Κοινότητας Σταμάτας (Αττικής) (ΦΕΚ 710/Δ/1981) ως το εδάφιον τούτο αντικαταστάθηκε με το άρθρο μόνο του από 06-08-1980 προεδρικού διατάγματος περί τροποποιήσεως του από 21-11-1979 προεδρικού διατάγματος περί αναθεωρήσεως των όρων και περιορισμών δόμησης κ.λ.π. (ΦΕΚ 451/Δ/1980) αντικαθίσταται ως ακολούθως:
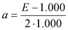
{7. α) Επιτρέπεται η ανέγερσις περισσοτέρων της μιας οικοδομής επί του αυτού οικοπέδου κατά τις διατάξεις του Γενικού Οικοδομικού Κανονισμού άνευ υπερβάσεως των οριζομένων εις τις παραγράφους 4 και 5 του παρόντος άρθρου μεγίστων επιτρεπομένων (ποσοστού καλύψεως και συντελεστού δομήσεως) και εφόσον πληρώνεται η ακόλουθος σχέσις:

όπου:
α ο αριθμός των επιτρεπομένων οικοδομών πέραν της κυρίας τοιαύτης και
Ε το εμβαδόν του οικοπέδου (m2).
Η μεγίστη τιμή την οποίαν δύναται να λαμβάνει το α είναι α = 2. Εις περίπτωσιν καθ' ην το α προκύπτει δεκαδικός αριθμός δια τον υπολογισμό λαμβάνεται υπόψη το ακέραιον ψηφίον.
Δεν έχει εφαρμογήν η ως άνω σχέσις επί οικοπέδων μεταβιβασθέντων εξ αδιαιρέτου δια πράξεων που συντάχθηκαν μέχρι της 14-12-1979 επιτρεπομένης εν προκειμένω της ανεγέρσεως εντός του αυτού οικοπέδου, περισσοτέρων της μιας οικοδομής, άνευ υπερβάσεως των οριζομένων εις τις παραγράφους 4 και 5 του παρόντος άρθρου ποσοστού καλύψεως και συντελεστού δομήσεως.
Η ελαχίστη απόστασις μεταξύ των ανεγερθησομένων οικοδομών επί του αυτού οικοπέδου ορίζεται σύμφωνα με το άρθρο 85 παράγραφος 5 του Γενικού Οικοδομικού Κανονισμού και εάν το προκύπτον είναι έλασσον των 5 m, εφαρμόζεται το ελάχιστον τούτο όριον.}
Εις τον Υπουργόν Χωροταξίας, Οικισμού και Περιβάλλοντος αναθέτουμε την δημοσίευση και εκτέλεσιν του παρόντος Διατάγματος.
Εν Αθήναις τη 12-10-1981
Ο Πρόεδρος της Δημοκρατίας