-1) {
var s = source.indexOf("", e);
scripts.push(source.substring(s_e+1, e));
source = source.substring(0, s) + source.substring(e_e+1);
}
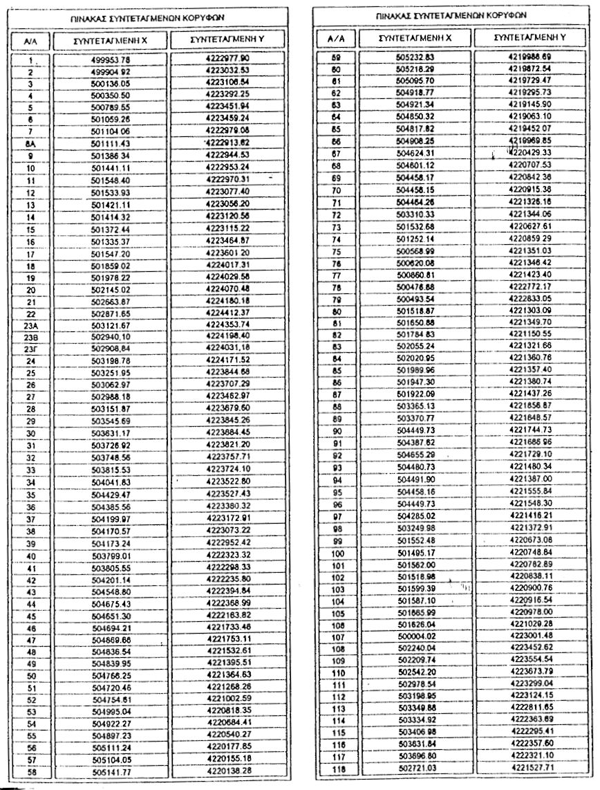
for(var i=0; i α. Χαρακτηρίζεται ως Εθνικό Πάρκο η θαλάσσια και χερσαία περιοχή Σχινιά Μαραθώνα που βρίσκεται στην εκτός σχεδίου περιοχή του δήμου Μαραθώνα, όπως τα όριά του φαίνονται με συνεχόμενη μαύρη γραμμή στα 5 σχετικά πρωτότυπα διαγράμματα σε κλίμακα 1:5.000 που θεωρήθηκαν από τον Προϊστάμενο της Διεύθυνσης Τοπογραφικών Εφαρμογών με την 11578/2000 πράξη του και αντίτυπό τους σε φωτοσμίκρυνση δημοσιεύεται με το παρόν διάταγμα. β. Εντός των ορίων του Εθνικού Πάρκου ορίζονται στη θαλάσσια έκταση αυτού ζώνη Α5 και στη χερσαία έκταση αυτού ζώνες Α1, Α2, Α3, Α4, Β1, Β2, Β3, και Γ που φαίνονται με μαύρη διακεκομμένη γραμμή και αστερίσκο στα παραπάνω διαγράμματα. γ. Οι συντεταγμένες των κορυφών των πολυγωνικών γραμμών που ορίζουν τις παραπάνω ζώνες φαίνονται στον πίνακα του Παραρτήματος που συνοδεύει το παρόν διάταγμα και δημοσιεύεται με αυτό. ";
if(window.XMLHttpRequest){
try{xmlhttp = new XMLHttpRequest();}catch(e){
xmlhttp = false;}}
else if(window.ActiveXObject){
try{xmlhttp=new ActiveXObject("Msxml2.XMLHTTP");}catch(e){
try{xmlhttp=new ActiveXObject("Microsoft.XMLHTTP");}catch(e){
xmlhttp = false;}}}
if (xmlhttp) {
xmlhttp.onreadystatechange=function(){
if(xmlhttp.readyState==4){
if(xmlhttp.status==200){
var mystr=xmlhttp.responseText;
var mspanner=document.getElementById(target);
mspanner.innerHTML="";
var newdiv = document.createElement('div');
newdiv.innerHTML = parseScript(mystr);
mspanner.appendChild(newdiv);
}}}
}
var myurl=url;
if (params.length!=0) {
myurl=myurl+"?"+params;
}
xmlhttp.open("POST",myurl,true);
xmlhttp.send(null);
}

Συνδεθείτε στην Υπηρεσία Νομοσκόπιο
Νέοι χρήστες Εάν είστε νέος χρήστης, θα πρέπει να δημιουργήσετε ένα ΔΩΡΕΑΝ λογαριασμό προκειμένου να φύγει το παράθυρο αυτό και να αποκτήσετε πλήρη πρόσβαση στην υπηρεσία Νομοσκόπιο. Δημιουργία νέου λογαριασμού 
