| Συνδεθείτε στην Υπηρεσία Νομοσκόπιο | | | | | Νέοι χρήστες | | Εάν είστε νέος χρήστης, θα πρέπει να δημιουργήσετε ένα ΔΩΡΕΑΝ λογαριασμό προκειμένου να φύγει το παράθυρο αυτό και να αποκτήσετε πλήρη πρόσβαση στην υπηρεσία Νομοσκόπιο. | | Δημιουργία νέου λογαριασμού | | |
1. Η απασχόληση, με αμοιβή, γεωπόνου με σχέση εξαρτημένης εργασίας ή σύμβαση έργου ή συμβούλου, είναι υποχρεωτική στις ακόλουθες περιπτώσεις:
α) Σε αξιόλογες, κατά την έννοια της παραγράφου 3 του άρθρου αυτού, γεωργικές εκμεταλλεύσεις φυτικής ή ζωικής παραγωγής ή και συνδυασμένης μορφής.
β) Σε κάθε φύσης γεωργοκτηνοτροφικές βιομηχανίες, βιομηχανίες τροφίμων και ψυκτικούς χώρους μεγάλης δυναμικότητας κατά την έννοια της παραγράφου 3 του άρθρου αυτού.
γ) Στην Πανελλήνια Συνομοσπονδία Ενώσεων Γεωργικών Συνεταιρισμών και σε όλες τις δευτεροβάθμιες και τριτοβάθμιες συνεταιριστικές οργανώσεις, καθώς και σε πρωτοβάθμιες εφόσον η δραστηριότητά τους αναφέρεται σε περιπτώσεις που ο νόμος ορίζει την υποχρεωτική απασχόληση γεωπόνων, σε γεωργοκτηνοτροφικές συνεταιριστικές οργανώσεις και κοινοπραξίες και σε διεπαγγελματικές οργανώσεις.
δ) Σε ομάδες παραγωγών που έχουν αναγνωριστεί σύμφωνα με την κοινοτική και εθνική νομοθεσία και εφαρμόζουν επιχειρησιακά προγράμματα.
ε) Στην ίδρυση, οργάνωση, επίβλεψη και λειτουργία φυτωρίων παραγωγής κάθε φύσης φυτικού υλικού και κάθε είδους πολλαπλασιαστικού υλικού.
στ) Σε επιχειρήσεις ή αντιπροσωπείες εισαγωγής ή εξαγωγής, παραγωγής, κατασκευής και εμπορίας κάθε φύσης φυτοφαρμάκων και προϊόντων βιολογικής καταπολέμησης, λιπασμάτων ως και εισαγωγής ή εξαγωγής, παραγωγής και εμπορίας κάθε φύσης φυτικού ή ζωικού - πολλαπλασιαστικού ή φυτωριακού υλικού καθώς και σε ερευνητικές εργασίες, πειραματικές και αποδεικτικές - εφαρμογές.
ζ) Σε εργαστήρια του ευρύτερου δημόσιου τομέα ή στις επιχειρήσεις που διαπιστεύουν ή έχουν διαπιστεύσει εργαστήρια G.L.Ρ.
η) Στις ομάδες G.Ε.Ρ. του ευρύτερου δημόσιου τομέα καθώς και σε ομάδες ή επιχειρήσεις σαν υπεύθυνοι των ομάδων G.Ε.Ρ.
θ) Στις ομάδες, επιχειρήσεις και οργανισμούς που - έχουν σκοπό την παραγωγή προϊόντων ολοκληρωμένης διαχείρισης.
ι) Σε οργανισμούς και εταιρίες βιοτεχνολογικών εφαρμογών στη γεωργία, κτηνοτροφία και γεωργικές βιομηχανίες.
ι)α) Στις ομάδες, επιχειρήσεις και οργανισμούς που - έχουν σκοπό την παραγωγή προϊόντων βιολογικής γεωργίας και κτηνοτροφίας.
ι)β) Σε αξιόλογες, κατά την έννοια της παραγράφου 3 του άρθρου αυτού, επιχειρήσεις θερμοκηπιακών και υπαίθριων καλλιεργειών.
ι)γ) Σε γεωργικές επιχειρήσεις υψηλής τεχνολογίας που χρησιμοποιούν ήπιες μορφές ενέργειας ή τεχνητά υποστρώματα.
ι)δ) Σε μονάδες παραγωγής βιομάζας, μεταποίησης, επεξεργασίας, παραγωγής και αξιοποίησης βιοκαυσίμων.
ι)ε) Σε φορείς, εταιρίες και νομικά πρόσωπα που εκτελούν κοινοτικά ή εθνικά προγράμματα, κοινοτικές ή εθνικές πρωτοβουλίες, των οποίων το αντικείμενο έχει σχέση με τη γεωργία, κτηνοτροφία, ανάπτυξη της υπαίθρου και του αγροτικού χώρου, καθώς και με την τοπική και περιφερειακή ανάπτυξη.
ι)στ) Στη διενέργεια πραγματογνωμοσυνών που έχουν αντικειμενικό σκοπό την εκτίμηση ζημιών στη γεωργοκτηνοτροφική παραγωγή, στις κτιριακές εγκαταστάσεις και στο μηχανολογικό εξοπλισμό γεωργοκτηνοτροφικών μονάδων, στο φυτικό και ζωικό κεφάλαιο, εκτός των πραγματογνωμοσυνών που έχουν ως αντικείμενο την υγιεινή κατάσταση των ζώων και τη διαπίστωση της αιτιολογίας του θανάτου αυτών, στη διενέργεια πραγματογνωμοσυνών σε θέματα αλλοίωσης και ακαταλληλότητας γεωργοκτηνοτροφικών προϊόντων που προορίζονται για ανθρώπινη κατανάλωση ή διατροφή ζώων, εκτός αλλοιώσεων υγειονομικής φύσεως προϊόντων ζωικής προέλευσης, στη διενέργεια πραγματογνωμοσυνών που αφορούν πιστοποίηση της καταλληλότητας ή μη του κάθε φύσης φυτικού πολλαπλασιαστικού υλικού, καθώς και της πιστοποίησης της καταλληλότητας ή μη των εκτρεφομένων για αναπαραγωγή διαφόρων ειδών και φυλών παραγωγικών ζώων, αρρένων ή θηλέων.
ι)ζ) Σε εκτιμήσεις και πραγματογνωμοσύνες για κάθε απαλλοτρίωση γεωργικών εκτάσεων, εγκαταστάσεων και δικαστικών διανομών αυτών.
ι)η) Στη διενέργεια εκτιμήσεων για βλάβες και καταστροφές χλοοταπήτων, χώρων πρασίνου και δενδροστοιχιών.
ι)θ) Σε συνεταιριστικές ή ιδιωτικές επιχειρήσεις παραγωγής και τυποποίησης μιγμάτων ζωοτροφών, φυραμάτων, συμπληρωμάτων και ισορροπιστών.
κ) Σε δειγματοληψίες για την καταλληλότητα των ουσιών της προηγούμενης περίπτωσης.
κ)α) Στη διενέργεια δειγματοληψιών για τον έλεγχο της σύνθεσης των γεωργικών φαρμάκων και λιπασμάτων και υπογραφή των αντίστοιχων εκθέσεων.
κ)β) Σε επιχειρήσεις επεξεργασίας, μεταποίησης, τυποποίησης, διαχείρισης, διανομής και εμπορίας νωπών ή αποθηκευμένων ή συντηρημένων γεωργοκτηνοτροφικών προϊόντων και υποπροϊόντων αυτών, μεγάλης δυναμικότητας, κατά την έννοια της παραγράφου 3 του άρθρου αυτού.
κ)γ) Στο σχεδιασμό, οργάνωση, ίδρυση και λειτουργία εργαστηρίων ποιοτικού και τεχνολογικού ελέγχου τροφίμων.
κ)δ) Σε γεωργοκτηνοτροφικές επιχειρήσεις και επιχειρήσεις τροφίμων για τη μελέτη, εφαρμογή και πιστοποίηση συστημάτων διασφάλισης ποιότητας ISO και HACCP.
κ)ε) Σε συνιστώμενες από φυσικά ή νομικά πρόσωπα αξιόλογες, κατά την έννοια της παραγράφου 3 του άρθρου αυτού, γεωργοκτηνοτροφικές επιχειρήσεις.
κ)στ) Σε αξιόλογες, κατά την έννοια της παραγράφου 3 του άρθρου αυτού, μελισσοκομικές και σηροτροφικές επιχειρήσεις.
κ)ζ) Στην κατασκευή προγραμμάτων Η/Υ για την οργάνωση, διαχείριση και έλεγχο των γεωργοκτηνοτροφικών μονάδων, μαζί με άλλους συναρμόδιους επιστήμονες.
κ)η) Στη σύνταξη αγροτικών κτηματολογίων και χαρτών εδαφολογικών, βλάστησης γεωργικών εδαφών και υδατικών πόρων.
κ)θ) Στην κατάρτιση και διαχείριση του Εθνικού Κτηματολογίου σε ό,τι αφορά εκτάσεις του αγροτικού χώρου (οριοθέτηση αγροτικών εκτάσεων, χρήση γης, αξιολόγηση εδαφών).
λ) Στις αγοραπωλησίες για την εκτίμηση μεγάλων ζώων αναπαραγωγής, πάχυνσης ποιμνίων, σμηνών, πτηνών και λοιπών ζώων εκτρεφομένων για παραγωγικούς σκοπούς, εφόσον η αγορά πραγματοποιείται με δάνεια, επιδοτήσεις ή κρατικά προγράμματα.
λ)α) Στην προμήθεια γεωργικού μηχανολογικού εξοπλισμού και στην κατασκευή γεωργικών εγκαταστάσεων, εφόσον η προμήθεια ή κατασκευή πραγματοποιείται με δάνεια, επιδοτήσεις ή κρατικά προγράμματα.
λ)β) Στα κέντρα γενετικής βελτίωσης των ζώων, καθώς και στα κέντρα σπερματοληψίας, επεξεργασίας και διακίνησης του σπέρματος των αρρένων ζώων αναπαραγωγής
λ)γ) Σε γεωργοκτηνοτροφικές εκθέσεις, και ιπποφορβεία εκτροφής ίππων καθαρόαιμων φυλών.
λ)δ) Σε διαγωνισμούς όσον αφορά τη φυτοτεχνική διαμόρφωση πρασίνου και φυτοκαλύψεων.
λ)ε) Στο σχεδιασμό και εφαρμογή ιδιωτικών και δημοτικών χώρων πρασίνου, που χαρακτηρίζονται ως κοινόχρηστοι από το Υπουργείο Περιβάλλοντος, Χωροταξίας και Δημοσίων Έργων, Οργανισμούς, Οργανισμούς Τοπικής Αυτοδιοίκησης και ιδιώτες.
λ)στ) Σε επιχειρήσεις ή οργανισμούς πιστοποίησης προϊόντων φυτικής ή ζωικής παραγωγής.
λ)ζ) Στα εδαφολογικά και φυτοπαθολογικά εργαστήρια.
λ)η) Σε απολυμάνσεις εδάφους ή υποστρωμάτων καλλιέργειας που διενεργούνται από επιχειρήσεις ή φυσικά πρόσωπα.
λ)θ) Στους οργανισμούς κοινής ωφέλειας για θέματα σχετικά με τις επαγγελματικές δραστηριότητες του άρθρου 8.
μ) Στο πρόγραμμα συμπλήρωσης των δηλώσεων στα πλαίσια του Ολοκληρωμένου Συστήματος Διαχείρισης.
μ)α) Σε έργα αποκατάστασης του περιβάλλοντος σε γεωργικές εκτάσεις, ανεξάρτητα από την επιφάνεια και το φορέα που έχει την ευθύνη της αποκατάστασης.
μ)β) Σε μελέτες εγκατάστασης και διαγωνισμούς για την εκτέλεση έργων πρασίνου, που κατασκευάζονται από το δημόσιο, δήμους, κοινότητες, νομικά πρόσωπα δημοσίου ή ιδιωτικού δικαίου, εταιρίες, αθλητικά σωματεία και ιδιώτες, καθώς και στην επίβλεψη εκτέλεσης των έργων αυτών.
μ)γ) Στη σύνταξη και αξιολόγηση συνθετικών χαρτών δημόσιου οικονομικού συμφέροντος (χάρτες χρήσης γης).
μ)δ) Σε τράπεζες που χορηγούν δάνεια σε γεωργοκτηνοτροφικές εκμεταλλεύσεις και επιχειρήσεις, καθώς και σε επιχειρήσεις μεταποίησης, τυποποίησης και εμπορίας γεωργοκτηνοτροφικών προϊόντων.
μ)ε) Σε οργανισμούς, ινστιτούτα και κέντρα επαγγελματικής εκπαίδευσης και κατάρτισης του δημόσιου και ιδιωτικού τομέα για θέματα σχετικά με τις επαγγελματικές δραστηριότητες του άρθρου 8.
μ)στ) Σε γενικούς και τοπικούς οργανισμούς εγγείων βελτιώσεων και διαχείρισης υδατικών πόρων.
μ)θ) Στις ομάδες έργου των συμβούλων διαχείρισης αξιολόγησης επιχειρησιακών προγραμμάτων, των οποίων το αντικείμενο έχει σχέση με τη γεωργία, κτηνοτροφία, ανάπτυξη της υπαίθρου και του αγροτικού χώρου, τουριστική ανάπτυξη του αγροτικού χώρου, περιβαλλοντική διαχείριση αγροοικοσυστημάτων, καθώς και με την τοπική και περιφερειακή ανάπτυξη.
2. Η απασχόληση, με αμοιβή, γεωπόνου είναι υποχρεωτική στις ακόλουθες περιπτώσεις μελετών και εκτέλεσης έργων:
α) Στη μελέτη, οργάνωση και πραγματοποίηση κατασκευαστικών αναπτυξιακών έργων εξυπηρέτησης γεωργοκτηνοτροφικών και τουριστικών σκοπών, σε φυτοτεχνικά έργα διαχείρισης, ανάπτυξης, αισθητικής και περιβαλλοντικής αναβάθμισης πρασίνου εντός και εκτός των πόλεων, στη φυτοτεχνική αποκατάσταση πρανών συγκοινωνιακών έργων, ανενεργών χώρων υγειονομικής ταφής απορριμμάτων καθώς και στη σύνταξη μελετών και εφαρμογή των αρδευτικών και αποστραγγιστικών τους δικτύων.
β) Στη σύνταξη και υπογραφή ή συνυπογραφή με άλλους συναρμόδιους επιστήμονες, μελετών εγγειοβελτιωτικών έργων αξιοποίησης γεωργικής γης (αρδευτικών, αποστραγγιστικών, αντιδιαβρωτικών, αντιπλημμυρικών, αγροτικής οδοποιίας, υδροταμιευτήρων αρδευτικού νερού), καθώς και στην κατασκευή, λειτουργία, συντήρηση και διαχείριση των έργων αυτών.
γ) Στη σύνταξη και υπογραφή μελετών άρδευσης και αποστράγγισης καλλιεργούμενων γαιών και χώρων πρασίνου, καθώς και στην κατασκευή, λειτουργία, συντήρηση και διαχείριση των έργων αυτών.
δ) Στη σύνταξη και υπογραφή ή συνυπογραφή με άλλους συναρμόδιους επιστήμονες, μελετών διαχείρισης υδατικών πόρων που αφορούν στο γεωργικό τομέα καθώς και στην κατασκευή, λειτουργία, συντήρηση και διαχείριση των έργων αυτών.
ε) Στη σχεδίαση, ίδρυση, κατασκευή, επέκταση, μετεγκατάσταση, εκσυγχρονισμό και λειτουργία γεωργοκτηνοτροφικών εγκαταστάσεων, βιομηχανιών και βιοτεχνιών επεξεργασίας, μεταποίησης, τυποποίησης και συντήρησης γεωργοκτηνοτροφικών προϊόντων, ψυκτικών χώρων και χειρισμού των αποβλήτων αυτών των έργων, καθώς και στην κατάρτιση, υπογραφή ή συνυπογραφή, σε συνεργασία με άλλους συναρμόδιους επιστήμονες, των αντίστοιχων σχεδίων που αφορούν τη λειτουργικότητα των αναφερόμενων μονάδων και τον εξοπλισμό αυτών.
στ) Στη σύνταξη και υπογραφή μελετών διαχείρισης των αποβλήτων (συλλογή, επεξεργασία, διάθεση) γεωργικών και κτηνοτροφικών μονάδων καθώς και στην παρακολούθηση της πιστής εφαρμογής των μελετών αυτών κατά τη φάση της κατασκευής των αναγκαίων εγκαταστάσεων και της καλής λειτουργίας αυτών.
ζ) Στη σύνταξη και υπογραφή μελετών οργάνωσης, λειτουργίας και διαχείρισης σύγχρονων γεωργικών και κτηνοτροφικών επιχειρήσεων.
η) Στη σύνταξη και υπογραφή μελετών διαχείρισης βοσκοτόπων όλων των κατηγοριών καθώς και στον υπολογισμό της βοσκοϊκανότητας και βοσκοφόρτωσης ενός βοσκοτόπου.
θ) Στη μελέτη, εγκατάσταση και λειτουργία βοτανικών και ζωολογικών κήπων, ενυδρείων πάρκων και στη μελέτη βιοτόπων.
ι) Στις μελέτες σύνταξης προγραμμάτων μεγιστοποίησης του γεωργικού εισοδήματος και της ορθολογιστικότερης εκμετάλλευσης των συντελεστών παραγωγής, αύξησης της παραγωγικότητας και ελαχιστοποίησης του κόστους παραγωγής (επιχειρησιακά σχέδια γεωργοκτηνοτροφικών επιχειρήσεων).
ι)α) Στη σύνταξη και υπογραφή ή συνυπογραφή με άλλους συναρμόδιους επιστήμονες μελετών χωροταξικού σχεδιασμού κτιρίων, νέων οικισμών και πολεοδομικών συγκροτημάτων ή επέκτασης οικισμών, όσον αφορά τις ζώνες αστικού και περιαστικού πρασίνου και τη διαμόρφωση του περιβάλλοντος.
ι)β) Στη σύνταξη και υπογραφή ή συνυπογραφή με άλλους συναρμόδιους επιστήμονες κάθε προέγκρισης χωροθέτησης και μελέτης περιβαλλοντικών επιπτώσεων που αφορά τη χωροθέτηση έργου ή δραστηριότητας στο γεωργικό χώρο (συγκοινωνιακά έργα, βιομηχανία, τουρισμός).
ι)γ) Στη σύνταξη και υπογραφή ή συνυπογραφή με άλλους συναρμόδιους επιστήμονες μελετών χωροταξικού σχεδιασμού και προγραμματισμού (γενικού ή ειδικού).
ι)δ) Στη σύνταξη και υπογραφή ή συνυπογραφή με άλλους συναρμόδιους επιστήμονες κάθε φύσης κοινωνικών και οικονομικών μελετών που αφορούν τον αγροτικό τομέα και την ανάπτυξη της υπαίθρου.
ι)ε) Στη σύνταξη και υπογραφή ή συνυπογραφή με άλλους συναρμόδιους επιστήμονες μελετών περιβαλλοντικής διαχείρισης αγροοικοσυστημάτων, φυσικών πόρων, φυσικού χώρου και αγροτικού τοπίου.
ι)στ) Στη σύνταξη και υπογραφή ή συνυπογραφή με άλλους συναρμόδιους επιστήμονες μελετών οικοανάπτυξης οικοτουρισμού και επέκτασης οικιστικών περιοχών.
ι)ζ) Στη σύνταξη και υπογραφή ή συνυπογραφή με άλλους συναρμόδιους επιστήμονες αναπτυξιακών μελετών, μελετών ανάπτυξης της υπαίθρου, μελετών τοπικής και περιφερειακής ανάπτυξης, καθώς και μελετών τουριστικής ανάπτυξης του αγροτικού χώρου.
ι)η) Στη σύνταξη και υπογραφή ή συνυπογραφή με άλλους συναρμόδιους επιστήμονες κάθε φύσης εδαφολογικών μελετών, μελετών εξυγίανσης ή εμπλουτισμού εδαφών, μελετών διαχείρισης εδαφικών πόρων και μελετών αφαλατώσεων.
ι)θ) Στη σύνταξη και υπογραφή μελετών φυτοτεχνικής διαμόρφωσης χώρων πρασίνου που προκηρύσσονται από το Δημόσιο, Δήμους, Κοινότητες και Νομικά Πρόσωπα Δημοσίου Δικαίου.
κ) Στη σύνταξη και υπογραφή μελετών φυτοτεχνικής διαμόρφωσης χώρων πρασίνου στα πλαίσια σύνταξης αναπτυξιακών μελετών, μελετών τουριστικής ανάπτυξης και μελετών εγκατάστασης αθλοπαιδιών.
κ)α) Σε έργα πρασίνου (πάρκα, κήπους, δενδροφυτεύσεις, δενδροστοιχίες συγκοινωνιακού δικτύου, χλοοτάπητες, γήπεδα) που κατασκευάζονται από το Δημόσιο, Δήμους, Κοινότητες, Νομικά Πρόσωπα Δημοσίου Δικαίου, Νομικά Πρόσωπα Ιδιωτικού Δικαίου, εταιρίες, αθλητικά σωματεία και από κάθε άλλο φορέα, καθώς και στη διαχείριση και συντήρηση των έργων αυτών.
κ)β) Στη σύνταξη και υπογραφή ή συνυπογραφή με άλλους συναρμόδιους επιστήμονες μελετών φωτοερμηνείας και τηλεπισκόπησης αγροτικών εκτάσεων, καθώς και στη χρησιμοποίηση γεωγραφικών πληροφοριακών συστημάτων αξιοποίησης εκτάσεων γεωργικού ενδιαφέροντος, εδαφικών και υδατικών πόρων, για επιστημονικούς, διοικητικούς, δικαστικούς, κτηματολογικούς ή άλλους σκοπούς.
κ)γ) Στη σύνταξη και υπογραφή ή συνυπογραφή με άλλους συναρμόδιους επιστήμονες μελετών αντιμετώπισης της διάβρωσης και της απερήμωσης περιοχών που έχουν σχέση με το γνωστικό τους αντικείμενο.
κ)δ) Στη σύνταξη και υπογραφή ή συνυπογραφή με άλλους συναρμόδιους επιστήμονες μελετών αξιοποίησης της γεωθερμίας και ήπιων μορφών ενέργειας σε τομείς που έχουν σχέση με το γνωστικό τους αντικείμενο.
κ)ε) Στη σύνταξη και υπογραφή ή συνυπογραφή με άλλους συναρμόδιους επιστήμονες μελετών συστημάτων αυτομάτου ελέγχου σε τομείς που έχουν σχέση με το γνωστικό τους αντικείμενο.
κ)στ) Στη σύνταξη και υπογραφή ή συνυπογραφή με άλλους συναρμόδιους επιστήμονες μελετών και πραγματογνωμοσυνών καταλληλότητας ποιότητας αρδευτικών υδάτων.
κ)ζ) Στη σύνταξη και υπογραφή γεωργικών μελετών (γεωργοοικονομικών, γεωργοτεχνικών, εγγείων βελτιώσεων, γεωργοκτηνοτροφικού προγραμματισμού, γεωργοκτηνοτροφικών εκμεταλλεύσεων).
3. Ως αξιόλογες, κατά την έννοια των παραγράφων 1 και 2 του άρθρου αυτού, νοούνται οι εξής εκμεταλλεύσεις:
α) Γεωργικές εκμεταλλεύσεις φυτικής παραγωγής:
α)α) Θερμοκηπιακές καλλιέργειες:
α)α)1) Καλλιέργειες εδάφους:
| • | Λαχανοκομικά: πάνω από 5 στρέμματα |
| • | Γαρύφαλλα: πάνω από 10 στρέμματα |
| • | Τριαντάφυλλα: πάνω από 5 στρέμματα |
| • | Λοιπά: πάνω από 15 στρέμματα |
α)α)2) Καλλιέργειες εκτός εδάφους:
| • | Υδροπονικές καλλιέργειες: πάνω από 2 στρέμματα |
| • | Φυτά ανθοκομίας σε γλάστρα: πάνω από 2 στρέμματα |
| • | Λοιπά: πάνω από 2 στρέμματα |
β)β) Υπαίθριες καλλιέργειες:
| • | Κηπευτικά και δενδροκομικά - αμπέλια: για καλλιέργειες πάνω από 100 στρέμματα |
| • | Ξηρικά φυτά μεγάλης καλλιέργειας: για καλλιέργειες πάνω από 500 στρέμματα |
| • | Ποτιστικά μεγάλης καλλιέργειας: για καλλιέργειες πάνω από 200 στρέμματα |
γ)γ) Καλλιέργειες παραγωγής πιστοποιημένων προϊόντων (βιολογικά, ολοκληρωμένης διαχείρισης, προϊόντα ονομασίας προέλευσης, γεωγραφικής προέλευσης).
Για τις καλλιέργειες της περίπτωσης αυτής, η απασχόληση γεωπόνου είναι υποχρεωτική ανεξάρτητα από την έκταση της καλλιέργειας.
β) Γεωργικές εκμεταλλεύσεις ζωικής παραγωγής:
α)α) Μονάδες εκτροφής με:
| • | Αγελάδες γαλακτοπαραγωγής: πάνω από 100 αγελάδες |
| • | Αγελάδες κρεατοπαραγωγής: πάνω από 150 αγελάδες |
| • | Μόσχοι πάχυνσης ανά εκτροφή: πάνω από 150 μόσχοι |
| • | Αιγοπρόβατα σταβλισμένα εντατικής διατροφής: πάνω από 300 αιγοπρόβατα |
| • | Αιγοπρόβατα: πάνω από 1500 αιγοπρόβατα |
| • | Χοιρομητέρες: πάνω από 150 χοιρομητέρες |
| • | Ορνίθια κρεατοπαραγωγής ανά εκτροφή: πάνω από 50 000 ορνίθια |
| • | Όρνιθες αβγοπαραγωγής: πάνω από 50 000 όρνιθες |
| • | Όρνιθες αναπαραγωγής: πάνω από 30 000 όρνιθες |
β)β) Μονάδες εκτροφής για παραγωγή πιστοποιημένων προϊόντων και μονάδες διατήρησης σπάνιων εγχώριων φυλών:
Για τις μονάδες της περίπτωσης αυτής, η απασχόληση γεωπόνου είναι υποχρεωτική εφόσον η δυναμικότητα των αντίστοιχων μονάδων είναι ίση με το 50% της δυναμικότητας των συμβατικών μονάδων του προηγούμενου εδαφίου α)α'.
γ) Εκμεταλλεύσεις με περισσότερες της μιας καλλιέργειες και εκτροφές των προηγούμενων α' και β' κατηγοριών:
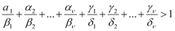
Στις εκμεταλλεύσεις της κατηγορίας αυτής, η απασχόληση γεωπόνου είναι υποχρεωτική εφόσον το άθροισμα των ποσοστών κάθε καλλιέργειας και εκτροφής είναι μεγαλύτερο από την ακέραια μονάδα. Τα ποσοστά υπολογίζονται με το πηλίκο της διαιρέσεως του αριθμού των στρεμμάτων και εκτρεφομένων ζώων των υφισταμένων στη συγκεκριμένη εκμετάλλευση καλλιεργειών και εκτροφών προς τα καθοριζόμενα αντίστοιχα μεγέθη των καλλιεργειών και εκτροφών των προηγούμενων α' και β' κατηγοριών, με τον ακόλουθο τύπο:

όπου:
α1, α2, ..., αν = αριθμός στρεμμάτων υφισταμένων καλλιεργειών
β1, β2, ...., βν = αριθμός στρεμμάτων καλλιεργειών της κατηγορίας α'
γ1, γ2, ...., γν = αριθμός εκτρεφομένων ζώων υφισταμένων εκτροφών
δ1, δ2, ...., δν = αριθμός εκτρεφομένων ζώων των εκτροφών της κατηγορίας β'
δ) Μελισσοκομικές και σηροτροφικές επιχειρήσεις:
Στις επιχειρήσεις της περίπτωσης αυτής, η απασχόληση γεωπόνου είναι υποχρεωτική, εφόσον η επιχείρηση διαθέτει περισσότερα από 800 μελισσοσμήνη ή 200 κουτιά μεταξόσπορο.
4. Ως μεγάλης δυναμικότητας, κατά την έννοια των παραγράφων 1 και 2 του άρθρου αυτού, νοούνται:
α) Οι κάθε φύσης γεωργοκτηνοτροφικές βιομηχανίες, βιομηχανίες τροφίμων και ψυκτικοί χώροι που απασχολούν προσωπικό πάνω από 20 υπαλλήλους.
β) Οι επιχειρήσεις επεξεργασίας, μεταποίησης, τυποποίησης, διαχείρισης, διανομής και εμπορίας νωπών ή αποθηκευμένων ή συντηρημένων γεωργοκτηνοτροφικών προϊόντων και υποπροϊόντων αυτών, που απασχολούν προσωπικό πάνω από 20 υπαλλήλους.