| Συνδεθείτε στην Υπηρεσία Νομοσκόπιο | | | | | Νέοι χρήστες | | Εάν είστε νέος χρήστης, θα πρέπει να δημιουργήσετε ένα ΔΩΡΕΑΝ λογαριασμό προκειμένου να φύγει το παράθυρο αυτό και να αποκτήσετε πλήρη πρόσβαση στην υπηρεσία Νομοσκόπιο. | | Δημιουργία νέου λογαριασμού | | |
ΙΑ. Έλεγχος θεματικής ακρίβειας τύπων οικοτόπων
Σκοπός των ελέγχων είναι η αξιολόγηση της θεματικής ακρίβειας των τύπων οικοτόπων του δικτύου NATURA 2000 σε σχέση με τις απαιτήσεις των τεχνικών προδιαγραφών. Οι έλεγχοι πραγματοποιούνται με ευθύνη της Κτηματολόγιο Ανώνυμη Εταιρεία είτε με δικά της μέσα είτε μέσω ανάθεσής τους σε τρίτο. Οι έλεγχοι είναι επίγειοι στο σύνολο του δείγματος.
ΙΑ.1. Μέθοδος δειγματοληψίας και μέγεθος δείγματος
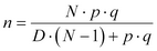
Ο έλεγχος της θεματικής ακρίβειας των τύπων οικοτόπων πραγματοποιείται με τη λήψη συγκεκριμένων επίγειων σημειακών δειγματοληπτικών μονάδων. To μέγεθος του συνολικού πληθυσμού (Ν) περιλαμβάνει όλα τα πολύγωνα οικοτόπων στην υπό έλεγχο προστατευόμενη περιοχή. Ο συνολικός πληθυσμός κάθε προστατευόμενης περιοχής διαχωρίζεται σε στρώματα, ένα για κάθε τύπο oικοτόπου, με μέγεθος πληθυσμού σε κάθε στρώμα (Ni), i = 1,2,3, ..... κ. Το δείγμα λαμβάνεται τυχαία σε κάθε στρώμα ανά προστατευόμενη περιοχή, σύμφωνα με τις αρχές της τυχαίας δειγματοληψίας.
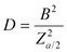
Το συνολικό μέγεθος δείγματος (n) δίνεται από τον παρακάτω τύπο:
(1)
όπου:
p, είναι ίση με 0,50
q, είναι ίση με (1-p) ή 0,50
Ν, είναι ο αριθμός των πολυγώνων σε κάθε προστατευόμενη περιοχή

όπου:
za/2, είναι τιμή που προκύπτει από πίνακα της κανονικής κατανομής για επίπεδο σημαντικότητας α (αυτή η τιμή είναι ίση 2) και
Β, είναι το απαιτούμενο όριο σφάλματος που υπολογίζεται ως εξής:
Β = p E /100
Όπου Ε/100 είναι το οριζόμενο σφάλμα, ίσο με 5%.
Το συνολικό μέγεθος δείγματος (η) κατανέμεται σε κάθε στρώμα σύμφωνα με τον τύπο:
(1)
όπου,
Ni είναι η έκταση κάθε τύπου oικοτόπου, και
N είναι η συνολική έκταση της προστατευόμενης περιοχής.
ΙΑ.2. Έλεγχος θεματικής ακρίβειας
Ο έλεγχος αφορά στην θεματική ακρίβεια της οριοθέτησης των τύπων οικοτόπων στις ορθοφωτογραφίες, εάν δηλαδή ο χαρακτηρισμός και η θέση των ορίων ενός oικοτόπου, που έχει αποδοθεί σε συγκεκριμένη έκταση, βρίσκεται σε συμφωνία ή ασυμφωνία με τα επίγεια χαρακτηριστικά, όπως προκύπτει από τις επίγειες αυτοψίες.
Κατά τον έλεγχο εξετάζεται με επίγειο έλεγχο κάθε σημείο που επιλέγεται στο δείγμα. Για κάθε δείγμα συμπληρώνεται πίνακας ελέγχου, που περιλαμβάνει τα στοιχεία του επιλεγμένου πολυγώνου (κωδικός, τύπος oικοτόπου, συντεταγμένες (Χ,Υ) σε ΕΓΣΑ '87 του δείγματος, θέση, κ.λ.π.), τα στοιχεία του ελεγκτή (ονοματεπώνυμο, υπογραφή, κ.λ.π.) και τα αποτελέσματα του ελέγχου (σφάλματα ή όχι, είδος σφάλματος και περιγραφή) και γεωαναφερμένη φωτογραφία του σημείου ελέγχου. Υπόδειγμα με τη μορφή, τη δομή και τα στοιχεία του ανωτέρου πίνακα ελέγχου χορηγείται από τον εργοδότη.
Ως σφάλματα θεωρούνται τα παρακάτω:
α) Λανθασμένη απόδοση του ορίου ενός πολυγώνου oικοτόπου, με αποτέλεσμα να περιλαμβάνει εκτάσεις που δεν ανήκουν στο συγκεκριμένο τύπο oικοτόπου,
β) Λανθασμένη απόδοση του ορίου ενός πολυγώνου oικοτόπου, με αποτέλεσμα να μην περιλαμβάνει εκτάσεις που ανήκουν στο συγκεκριμένο τύπο oικοτόπου,
γ) Λανθασμένος χαρακτηρισμός του τύπου oικοτόπου στο υπό έλεγχο σημείο (π.χ. αποδόθηκε ως τύπος oικοτόπου 9110: Δάση οξιάς της Luzulo - Fagetum ενώ είναι 9130: δάση οξιάς της Asperulo - Fagetum κ.λ.π.),
δ) Απόδοση oικοτόπου ή/και ορίων μη σύμφωνα με τα οριζόμενα στις τεχνικές προδιαγραφές.
ε) Άλλα είδη σφαλμάτων.
Το υπό έλεγχο πολύγωνο καταχωρείται ως εσφαλμένα προσδιορισμένο με την ύπαρξη 1 τουλάχιστον σφάλματος των ανωτέρω περιπτώσεων.
Τα αποτελέσματα που προέκυψαν με βάση τη δειγματοληψία και αυτών της οριοθέτησης των τύπων οικοτόπων στις ορθοφωτογραφίες, καταγράφονται σε αντίστοιχους πίνακες με τη δομή του Πίνακα ΙΑ.1, με σκοπό τον υπολογισμό των κατάλληλων στατιστικών μεγεθών που προσδιορίζουν την ακρίβεια της οριοθέτησης. Ο συγκεκριμένος πίνακας περιλαμβάνει το σφάλμα παράλειψης και το σφάλμα αναπλήρωσης.
Πίνακας ΙΑ.1: Σφάλματα οριοθέτησης οικοτόπων (confusion matrix).
Κατηγορία
|
Ανεξάρτητος Έλεγχος
|
Σφάλμα αναπλήρωσης
|
Ακρίβεια οριοθέτησης χρήστη
|
Οικότοπος Α
|
Οικότοπος Β
|
|
Οικότοπος Χ
|
Σύνολο
|
Α.Τ.
|
%
|
%
|
Οριοθέτηση
|
Οικότοπος Α
|
|
|
|
|
|
|
|
|
Οικότοπος Β
|
|
|
|
|
|
|
|
|
|
|
|
|
|
|
|
|
|
Οικότοπος Χ
|
|
|
|
|
|
|
|
|
Σύνολο
|
|
|
|
|
|
|
|
|
Σφάλμα παράλειψης
|
Α.Τ.
|
|
|
|
|
|
|
|
|
%
|
|
|
|
|
|
|
|
|
Ακρίβεια οριοθέτησης κατασκευαστή
|
%
|
|
|
|
|
|
|
|
|
Η συνολική ακρίβεια (%) της οριοθέτησης υπολογίζεται ως εξής:
Σ (τιμές της διαγωνίου) / Σ (τιμές όλων των στηλών ή σειρών) * 100
Η ακρίβεια (%) της οριοθέτησης κάθε κατηγορίας υπολογίζεται ως εξής:
Σ (αριθμός πολυγώνων κατηγορίας που ταξινομήθηκαν σωστά) / Σ (αριθμός πολυγώνων της κατηγορίας) * 100
Το σφάλμα παράλειψης (%) υπολογίζεται ως εξής:
Απόλυτη Τιμή (ΑΤ) σφάλματος παράλειψης της x κατηγορίας / Σ (αριθμός πολυγώνων που διαπιστώθηκε κατά τον έλεγχο ότι ανήκουν στην x κατηγορία) * 100
Το σφάλμα αναπλήρωσης (%) υπολογίζεται ως εξής:
(Απόλυτη Τιμή (ΑΤ) σφάλματος αναπλήρωσης της x κατηγορίας) / Σ (αριθμός πολυγώνων που κατά την οριοθέτηση ταξινομήθηκαν στην x κατηγορία) * 100
Τα στατιστικά μεγέθη τα οποία υπολογίζονται και αναγράφονται στο Πίνακα Ι.1 προσδιορίζουν την θεματική ακρίβεια των παραδοτέων. Αυτά για να θεωρηθούν αποδεκτά, η ακρίβειά τους απαιτείται να είναι τουλάχιστον ίση ή μεγαλύτερη με την απαιτούμενη ακρίβεια και εντός των ορίων εμπιστοσύνης, που απαιτούνται στο άρθρο 9: Κριτήρια συμμόρφωσης παραδοτέων προϊόντων.
Στις περιπτώσεις εκείνες, όπου από τους παραπάνω ελέγχους προκύψει ότι δεν ικανοποιούνται οι ζητούμενες ακρίβειες, τα παραδοτέα απορρίπτονται από τον εργοδότη και ζητείται η διόρθωση και επανυποβολή τους από τον ανάδοχο. Ο ανάδοχος αφού διερευνήσει τη φύση και την έκταση των προβλημάτων προβαίνει σε όλες τις αναγκαίες διορθώσεις/προσαρμογές αυτών και όπου δεν είναι εφικτό παράγει νέα προϊόντα. Σε κάθε περίπτωση τα προϊόντα τα οποία επανυποβάλλονται ελέγχονται εκ νέου.
ΙΒ. Έλεγχος ακρίβειας ορίων Τόπων Κοινοτικής Σημασίας και Ζωνών Ειδικής Προστασίας
Σκοπός των ελέγχων είναι η αξιολόγηση της θεματικής & γεωμετρικής ακρίβειας της οριοθέτησης των Τόπων Κοινοτικής Σημασίας και Ζωνών Ειδικής Προστασίας σε σχέση με τις απαιτήσεις των τεχνικών προδιαγραφών. Οι έλεγχοι πραγματοποιούνται με ευθύνη της Κτηματολόγιο Ανώνυμη Εταιρεία, είτε με δικά της μέσα, είτε μέσω ανάθεσης τους σε τρίτο. Ο έλεγχος διενεργείται στα τελικά προϊόντα της οριοθέτησης.
Οι έλεγχοι της γεωμετρικής και της θεματικής ακρίβειας των τελικών προϊόντων πραγματοποιούνται για το σύνολο των παραδοτέων ή για συγκεκριμένες δειγματοληπτικές γραμμές ελέγχου. Η επιλογή και η κατανομή των δειγματοληπτικών γραμμών καθορίζεται από την Κτηματολόγιο Ανώνυμη Εταιρεία. Ο έλεγχος της ακρίβειας των παραδοτέων προϊόντων περιλαμβάνει:
| • | Έλεγχο συνέχειας και ατελειών ψηφιοποίησης των γραμμών |
| • | Έλεγχο ψηφιοποίησης ορίων |
| • | Έλεγχο θεματικής ακρίβειας χάραξης των ορίων |
ΙΒ.1. Έλεγχος συνέχειας και ατελειών ψηφιοποίησης των ορίων
Ατέλειες ψηφιοποίησης θεωρούνται:
| • | Τα προεξέχοντα τμήματα γραμμών. |
Ο έλεγχος συνέχειας γραμμών αναφέρεται στον εντοπισμό κενών μεταξύ:
| • | των τμημάτων κάθε ψηφιοποιημένης γραμμής |
| • | των ψηφιοποιημένων γραμμών |
| • | των ψηφιοποιημένων γραμμών στα όρια των πινακίδων ορθοφωτογραφιών |
Ο έλεγχος αυτός θα πραγματοποιηθεί στο γραφείο για το σύνολο των δεδομένων ανά τμηματική παράδοση.
Τα σφάλματα που αναγνωρίζονται θα καταγράφονται σε πίνακα. Το επιτρεπτό ποσοστό σφαλμάτων είναι 0%.
Για τις περιπτώσεις εκείνες όπου από τους παραπάνω ελέγχους προκύψει ότι δεν ικανοποιούνται οι ζητούμενες ακρίβειες, τα παραδοτέα θα απορρίπτονται και θα ζητείται από τον Ανάδοχο η διόρθωση και επανυποβολή τους.
ΙΒ.2. Έλεγχος ψηφιοποίησης ορίων
Το ανεκτό όριο απόκλισης του ψηφιοποιημένου ορίου των Τόπων Κοινοτικής Σημασίας και Ζωνών Ειδικής Προστασίας ορίζεται σε 2.00 m (μετρημένο κάθετα) από το όριο - φυσικό χαρακτηριστικό που είναι δυνατό να αναγνωριστεί με σαφήνεια και ευκρίνεια στις ορθοφωτογραφίες.
Ο έλεγχος θα διενεργηθεί με ανεξάρτητη φωτοερμηνεία, επί των ψηφιοποιημένων ορίων.
Οι έλεγχοι θα καλύπτουν όσο το δυνατόν πληρέστερα το σύνολο της υπό εξέταση περιοχής και σε ό,τι αφορά στην χωρική κατανομή τους αυτή θα είναι όσο το δυνατόν ομοιόμορφη. Οι περιοχές ελέγχου θα επιλεγούν με τυχαία δειγματοληπτική διαδικασία.
Ο έλεγχος θα πραγματοποιηθεί για το 80% του μήκους των ορίων επί των παραδοτέων προϊόντων. Το επιτρεπτό όριο εσφαλμένης επιλογής κριτηρίου χάραξης των ορίων θα είναι 0.5% του δείγματος.
Για τις περιπτώσεις εκείνες όπου από τους παραπάνω ελέγχους προκύψει ότι δεν ικανοποιούνται οι ζητούμενες ακρίβειες, τα παραδοτέα θα απορρίπτονται και θα ζητείται από τον Ανάδοχο η διόρθωση και επανυποβολή τους.
Σε κάθε περίπτωση τα προϊόντα τα οποία επανυποβάλλονται θα ελέγχονται σε νέες περιοχές ελέγχου.
ΙΒ.3. Έλεγχος θεματικής ακρίβειας χάραξης των ορίων
Ο έλεγχος της θεματικής ακρίβειας χάραξης των ορίων αφορά στην ορθή επιλογή κριτηρίου χάραξης των ορίων και θα αξιολογηθεί με ελέγχους στο γραφείο, με χρήση φωτοερμηνευτικών μεθόδων και τεχνικών αλλά και στο έδαφος. Κατά τον έλεγχο αυτό θα εξετάζεται αν το κριτήριο χάραξης, που έχει αποδοθεί σε συγκεκριμένα δειγματοληπτικά τμήματα των ορίων βρίσκεται σε συμφωνία ή ασυμφωνία με τα επίγεια χαρακτηριστικά, όπως αυτά αναγνωρίζονται - φωτοερμηνεύονται στις ορθοφωτογραφίες ή στην πραγματική κατάσταση, όπως προκύπτει από τις επίγειες αυτοψίες.
Ο έλεγχος θα πραγματοποιηθεί για το 80% του μήκους των ορίων επί των παραδοτέων προϊόντων. Το επιτρεπτό όριο εσφαλμένης επιλογής κριτηρίου χάραξης των ορίων θα είναι 0.5% του δείγματος.
Ο επίγειος έλεγχος της χάραξης των ορίων περιλαμβάνεται κατά τον έλεγχο της θεματικής ακρίβειας των τύπων οικοτόπων.
Για τις περιπτώσεις εκείνες όπου από τους παραπάνω ελέγχους προκύψει ότι δεν ικανοποιούνται οι ζητούμενες ακρίβειες, τα παραδοτέα θα απορρίπτονται και θα ζητείται από τον Ανάδοχο η διόρθωση και επανυποβολή τους. Σε κάθε περίπτωση τα προϊόντα τα οποία επανυποβάλλονται, ελέγχονται εκ νέου.
ΙΓ. Έλεγχος θεματικής ακρίβειας μορφών κάλυψης / χρήσεων γης
Ο έλεγχος της θεματικής ακρίβειας των μορφών κάλυψης / χρήσεων γης πραγματοποιείται στο έδαφος κατ' αντιστοιχία σύμφωνα με τα οριζόμενα στην παράγραφο ΙΑ του παρόντος Παραρτήματος Ι.
ΙΔ. Στοιχεία καταγραφής κατά τον επίγεια έλεγχο
Για κάθε σημείο του δείγματος που λαμβάνεται για τον έλεγχο της θεματικής ακρίβειας των τύπων οικοτόπων, της ακρίβειας των ορίων των Τόπων Κοινοτικής Σημασίας και Ζωνών Ειδικής Προστασίας και της θεματικής ακρίβειας των μορφών κάλυψης / χρήσεων γης καταγράφονται τα παρακάτω στοιχεία σε ειδικό έντυπο, σύμφωνα με υπόδειγμα που χορηγείται από την Κτηματολόγιο Ανώνυμη Εταιρεία:
Ημερομηνία ελέγχου, όνομα ερευνητή, μοναδικός αύξων αριθμός σημείου του δείγματος ανά site, κωδικός υφιστάμενου oικοτόπου, κωδικός νέου oικοτόπου σε περίπτωση αλλαγής, κωδικός ΤΚΣ, γεωγραφικές συντεταγμένες (Χ,Υ) σε ΕΓΣΑ '87 του σημείου, διάφορες τοπογραφικές ενδείξεις (υψόμετρο, έκθεση, κλίση, ορεογραφική διαμόρφωση του εδάφους), μορφή κάλυψης / χρήσεων γης, κωδικός μορφής κάλυψης / χρήσεων γης, αποτελέσματα ελέγχου, φωτογραφία του σημείου ελέγχου, γεωγραφικές συντεταγμένες (Χ,Y) του σημείου λήψης της φωτογραφίας και τη γωνία λήψης της φωτογραφίας ως προς το Βορρά (διόπτευση).
ΙΕ. Συμμόρφωση γεωχωρικών δεδομένων, μεταδεδομένων και υπηρεσιών
Κάθε παραδοτέο αρχείο γεωχωρικών δεδομένων, αρχείο μεταδεδομένων και υπηρεσιών (εφόσον τέτοιο προβλέπεται), θα ελέγχεται για τη συμμόρφωσή του με τους αντίστοιχους κανονισμούς εφαρμογής, όπως αυτοί εξειδικεύονται στο Παράρτημα V του παρόντος τεύχους, ενώ η τήρηση της συμμόρφωσής τους με τις διατάξεις του νόμου 3882/2010, θα πιστοποιείται με τις διαδικασίες της παραγράφου 4 του άρθρου 22 του σχετικού νόμου.