| Συνδεθείτε στην Υπηρεσία Νομοσκόπιο | | | | | Νέοι χρήστες | | Εάν είστε νέος χρήστης, θα πρέπει να δημιουργήσετε ένα ΔΩΡΕΑΝ λογαριασμό προκειμένου να φύγει το παράθυρο αυτό και να αποκτήσετε πλήρη πρόσβαση στην υπηρεσία Νομοσκόπιο. | | Δημιουργία νέου λογαριασμού | | |
1. Η παράγραφος του άρθρου 84 του Γενικού Οικοδομικού Κανονισμού η καθορίζουσα τα πάχη των εξωτερικών τοίχων των κτιρίων τροποποιείται ως ακολούθως όσον αφορά τις τοιχοποιίας εξ οπτόπλινθων.
Το εφαρμοστέο πάχος οπτοπλινθοδομών για του εξωτερικούς τοίχους των οικοδομών εκτός των λόγων στατικής αντοχής επηρεάζεται και εκ λόγων θερμικής μονώσεως και επομένως ποικίλλει από τόπου εις τόπον.
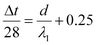
2. Τα κατά τόπους Πολεοδομικά Γραφεία δέον όπως ανεξαρτήτως λόγων στατικής αντοχής επιβάλλουν πάχη οπτοπλινθοδομών εξασφαλίζοντα μίαν καλή θερμική μόνωση και τα οποία προκύπτουν εκ του τύπου:

ένθα:
Δt η διαφορά μεταξύ μέγιστης εξωτερικής θερμοκρασίας και της εσωτερικής του Δωματίου ήτις λαμβάνεται σταθερά 18°
d το πάχος του τοίχου άνευ κονιαμάτων και
λ1 ο σύμφωνα με το άρθρο 1 συντελεστής θερμικής αγωγιμότητας των οπτοπλινθοδομών, αίτινες οπωσδήποτε υπολογίζονται αφενός μεν δομημένες ούτως ώστε οι οπές των διάτρητων οπτόπλινθων να μην είναι στραμμένες προς την ατμόσφαιρα, αλλά εσωτερικώς κατά μήκος του τοίχου, αφετέρου δε οι οπτοπλινθοδομές αυτές να είναι περιβεβλημένες με κονίαμα εσωτερικά και εξωτερικά.
Εις τους φέροντας τοίχους επιβάλλεται οπωσδήποτε η χρήση φερόντων διάτρητων ή συμπαγών οπτόπλινθων.