| Συνδεθείτε στην Υπηρεσία Νομοσκόπιο | | | | | Νέοι χρήστες | | Εάν είστε νέος χρήστης, θα πρέπει να δημιουργήσετε ένα ΔΩΡΕΑΝ λογαριασμό προκειμένου να φύγει το παράθυρο αυτό και να αποκτήσετε πλήρη πρόσβαση στην υπηρεσία Νομοσκόπιο. | | Δημιουργία νέου λογαριασμού | | |
Οι κανόνες του Κεφαλαίου αυτού ισχύουν για δομικά στοιχεία από οπλισμένο ή προεντεταμένο σκυρόδεμα , με ή χωρίς απαιτήσεις πλαστιμότητας.
Ειδικότερα και μόνο για στοιχεία με αυξημένες απαιτήσεις πλαστιμότητας διακρίνονται κρίσιμες ή μη κρίσιμες περιοχές, για τις οποίες και δίνονται ειδικοί κανόνες κατά περίπτωση.
1. Πλάκες
1.1. Είδη πλακών
Η παράγραφος αυτή ισχύει για συμπαγείς ορθογωνικές πλάκες που διαστρώνονται επιτόπου, οι οποίες ικανοποιούν τις συνθήκες της παραγράφου 7.2.1.2)α και για τις οποίες είναι: l > 4 h (l = μικρότερο άνοιγμα, ή = πάχος πλάκας). Οι διατάξεις αυτές μπορούν να εφαρμόζονται ανάλογα για πλάκες μη ορθογωνικής μορφής (π.χ. λοξές ή κυκλικές πλάκες) με γραμμικές εδράσεις.
Οι πλάκες διακρίνονται ανάλογα με τη στατική τους λειτουργία σε διέρειστες ή τετραέρειστες.
Οι διέρειστες πλάκες καταπονούνται κυρίως κατά μία διεύθυνση (διεύθυνση οπλισμού αντοχής). Απαραίτητος θεωρείται ο ελάχιστος δευτερεύων (εγκάρσιος) οπλισμός.
Στις τετραέρειστες πλάκες λαμβάνεται υπόψη η στατική λειτουργία και των δύο διευθύνσεων.
1.2. Έδραση πλακών
Τα ελάχιστα πλάτη έδρασης πρέπει να είναι:
α) για στήριξη πάνω σε δομικά στοιχεία από τοιχοποιία ή σκυρόδεμα, 100 mm
β) για στήριξη πάνω σε δομικά στοιχεία από χάλυβα, 70 mm
1.3. Ελάχιστα πάχη πλακών
Το πάχος της πλάκας πρέπει να είναι τουλάχιστον:
α) γενικά, 70 mm
β) για πλάκες κυκλοφορίας επιβατικών αυτοκινήτων, 100 mm
γ) για πλάκες κυκλοφορίας φορτηγών αυτοκινήτων, 120 mm
δ) για πλάκες μόνο κατ' εξαίρεση βατές, όπως για εργασίες συντήρησης ή καθαρισμού (π.χ. ορισμένες πλάκες στεγών), 50 mm
1.4. Οπλισμός κάμψης πλακών
1.4.1. Γενικά
Ο οπλισμός κάμψης είναι αυτός που παραλαμβάνει τα μεγέθη ορθής έντασης, Μ και Ν. Το εμβαδόν των διατομών του κυρίου οπλισμού πρέπει να είναι μεγαλύτερο από:
| • | min As = 0.6 b d/fyk, fyk σε MPa (18.1) |
| • | min As = 0.0015 b d (18.2) |
Το εμβαδόν των διατομών του κύριου οπλισμού δεν μπορεί να υπερβαίνει το 4% της διατομής του σκυροδέματος εκτός των περιοχών ενώσεων με υπερκάλυψη.
Το εμβαδόν του δευτερεύοντος οπλισμού πρέπει να είναι τουλάχιστον ίσο προς το 20% του εμβαδού του κύριου οπλισμού και τουλάχιστον 4Φ6/m, ανεξαρτήτως της ποιότητας του χάλυβα.
Σε τετραέρειστες πλάκες και όταν δεν ελέγχεται με ακρίβεια η κάλυψη των ροπών, επιτρέπεται ο οπλισμός των ανοιγμάτων να μειώνεται στο μισό στις ακραίες λωρίδες πλάτους c = 0.20 min l.
Η απόσταση μεταξύ των ράβδων δεν πρέπει να είναι μεγαλύτερη από:
| • | 250 mm για τον δευτερεύοντα οπλισμό |
| • | 1.50 h ή 200 mm για τον κύριο οπλισμό. |
Στις κύριες ακραίες στηρίξεις πλακών στις οποίες δεν ελήφθη υπόψη ενδεχόμενη μερική πάκτωση της πλάκας, πρέπει να προβλεφθεί ένας κύριος άνω οπλισμός ίσος με το 1/4 του οπλισμού ανοίγματος. Ο οπλισμός αυτός πρέπει να εκτείνεται πέρα από την παρειά του στηρίγματος, σε απόσταση τουλάχιστον ίση με 0.2 φορές το μήκος του ανοίγματος.
Ένα ποσοστό ίσο με το 1/2 του οπλισμού ανοίγματος πρέπει να συνεχίζεται και στις στηρίξεις.
Οι οπλισμοί αυτοί πρέπει να αγκυρώνονται κατάλληλα (βλέπε παραγράφους 17.8.4 και 17.8.5).
Ο διαμήκης κύριος οπλισμός που προκύπτει λόγω συγκεντρωμένων ή τμηματικών συνεχών φορτίων πρέπει να κατανέμεται σε πλάτος (βλέπε παράγραφο 9.1.6) sy = 0.5 bm≥ty.
Αν δεν γίνεται ακριβέστερος έλεγχος, κάτω από τα προηγούμενα φορτία πρέπει να διατάσσεται πρόσθετος εγκάρσιος οπλισμός, ίσος τουλάχιστον με το 60% του οπλισμού που προέκυψε από το υπόψη φορτίο.
Σε προβόλους με συγκεντρωμένα φορτία πρέπει να διατάσσεται στην κάτω πλευρά εγκάρσιος οπλισμός ίσος με το 60% του οπλισμού που απαιτείται για την ανάληψη της ροπής στήριξης, η οποία προκαλείται από το υπόψη φορτίο.
Ο πρόσθετος αυτός οπλισμός πρέπει να κατανέμεται σε πλάτος ίσο με το μισό του πλάτους διανομής bm του συγκεντρωμένου φορτίου, αλλά όχι μικρότερο του πλάτους εισαγωγής του συγκεντρωμένου φορτίου στο μέσο επίπεδο της πλάκας κατά τη διεύθυνση του κύριου οπλισμού, tx. Οι ράβδοι του πρόσθετου εγκάρσιου οπλισμού πρέπει να αγκυρώνονται πέρα από το πλάτος διανομής bM του συγκεντρωμένου φορτίου.
Όταν ο κύριος οπλισμός είναι παράλληλος σε στήριξη που δεν έχει ληφθεί υπόψη στον υπολογισμό της πλάκας, οι εγκάρσιες εφελκυστικές τάσεις που αναπτύσσονται πάνω σε αυτή τη στήριξη πρέπει να αναλαμβάνονται από αντίστοιχο άνω οπλισμό, ίσο τουλάχιστο με το 60% του κύριου οπλισμού της πλάκας και τουλάχιστον 5Φ8/m, ανεξαρτήτως της ποιότητας του χάλυβα.
Ο οπλισμός αυτός πρέπει να φθάνει σε απόσταση από την παρειά στήριξης ίση με το τέταρτο του ανοίγματος υπολογισμού της πλάκας.
1.4.2 Οπλισμοί γωνιών πλακών μη μονολιθικώς συνδεδεμένων με τα στοιχεία εδράσεώς των
Σε περίπτωση που παρεμποδίζεται η ανύψωση της γωνίας μιας πλάκας της οποίας δύο διαδοχικές πλευρές εδράζονται μη ολόσωμα, και εφόσον αυτό δεν έχει ληφθεί υπόψη στον υπολογισμό, πρέπει γενικά να προβλέπεται ένας οπλισμός τουλάχιστον ίσος με τον οπλισμό του ανοίγματος στην άνω και κάτω επιφάνεια:
α) κατά τις κύριες διευθύνσεις των εφελκυστικών τάσεων, ή
β) με ορθογωνικό πλέγμα παράλληλο στις πλευρές.
Αν στην γωνία η μια πλευρά εδράζεται απλά, ενώ η άλλη είναι πακτωμένη, ο οπλισμός αυτός θα πρέπει να είναι τουλάχιστον ίσος με το μισό του οπλισμού ανοίγματος.
Οι οπλισμοί αυτοί των γωνιών θα πρέπει να εκτείνονται πέρα από την παρειά της στήριξης σε μήκος τουλάχιστον ίσο με 0.3 φορές το μήκος του μικρότερου ανοίγματος.
1.5. Οπλισμός διάτμησης και διάτρησης πλακών
1.5.1. Γενικά περί οπλισμού διάτμησης
Οι πλάκες με οπλισμό διατμήσεως θα πρέπει να έχουν πάχος τουλάχιστον ίσο με 200 mm.
Οι οπλισμοί διάτμησης πλακών, εφόσον απαιτούνται (βλέπε παράγραφο 11.1.1), μπορούν να αποτελούνται από κλειστούς ή ανοικτούς συνδετήρες και/ή λοξές ράβδους. Το ποσοστό οπλισμού διατμήσεως, εφόσον απαιτείται, δεν μπορεί να υπολείπεται του 60% των τιμών που δίνονται στον Πίνακα Σ18.1 για δοκούς.
Οι ράβδοι που κάμπτονται προς τα πάνω πρέπει να προέρχονται από τους οπλισμούς κάμψης. Γενικά, η γωνία κλίσης των ράβδων αυτών ως προς την οριζόντια δεν θα πρέπει να είναι μικρότερη των 45°. Εάν, όμως, προβλέπεται μόνο μια σειρά κεκαμμένων ράβδων (για κάθε κατεύθυνση) η γωνία κλίσης μπορεί να μειωθεί μέχρι 30°.
Η απόσταση s μεταξύ των διαφόρων σειρών του οπλισμού διάτμησης, πρέπει να ικανοποιεί την συνθήκη:
s ≤ 0.6 d (1+cot α) (18.3)
Η απόσταση μεταξύ της παρειάς μιας στήριξης ή της περιμέτρου μιας φορτιζόμενης επιφάνειας και της πλησιέστερης σειράς του οπλισμού διάτμησης δεν θα πρέπει να είναι μεγαλύτερη του d / 2 .
Η απόσταση αυτή θα μετριέται:
| • | για συνδετήρες, στο μέσο επίπεδο της πλάκας, |
| • | για λοξές ράβδους, στο επίπεδο του πάνω οπλισμού κάμψης. |
1.5.2 Γραμμικές στηρίξεις πλακών
Στις γραμμικές στηρίξεις των πλακών απαιτείται οπλισμός διάτμησης όταν δεν ικανοποιείται η εξίσωση (11.1). Για αυτόν τον οπλισμό απαιτείται ένα ελάχιστο ποσοστό (παράγραφοι 11.1 και 3.4).
Όταν τοποθετούνται συνδετήρες πρέπει να περιβάλλουν τουλάχιστον το μισό των ράβδων του εξωτερικού εφελκυόμενου οπλισμού, ενώ δεν απαιτείται να περιβάλλουν τους οπλισμούς της θλιβόμενης ζώνης.
Η παράλληλη προς την στήριξη απόσταση των σκελών οπλισμού διάτμησης σε μια διατομή δεν πρέπει να υπερβαίνει το 1.0 d ή τα 800 mm.
Ο οπλισμός διάτμησης μπορεί να αποτελείται μόνο από λοξές ράβδους αν:
VSd < VRd2 / 3.
Εάν όχι, τότε μόνο συνδετήρες πρέπει να ικανοποιούν την απαίτηση ελάχιστου οπλισμού, με αποστάσεις smax που να ικανοποιούν τις απαιτήσεις της παραγρ. 18.3.4.
1.5.3 Οπλισμός διάτρησης πλακών
Το ποσοστό οπλισμού διάτρησης, εφόσον απαιτείται, δεν μπορεί να υπολείπεται του 60% των τιμών που δίνονται για δοκούς.
Ως οπλισμοί διάτρησης (παράγραφος 13.4.2) μπορούν να ληφθούν υπόψη:
α) Σε περίπτωση συνδετήρων, εκείνοι οι συνδετήρες που περιλαμβάνονται σε μια ζώνη η οποία εκτείνεται σε απόσταση όχι μεγαλύτερη από 1.5 d ή 800 mm από την φορτιζόμενη επιφάνεια. Η συνθήκη (18.3) θα πρέπει να ικανοποιείται για όλες τις διευθύνσεις.
Τα κατακόρυφα μέλη των συνδετήρων θα ξεκινούν από απόσταση το πολύ 0.5 d από την παρειά του στύλου, θα απέχουν μεταξύ τους το πολύ 0.75 d και θα περιβάλλουν τουλάχιστον ανά μία στρώση τους άνω και κάτω οπλισμούς κάμψης. Οι συνδετήρες μπορούν να τοποθετηθούν σε κύκλο ή ορθογώνιο γύρω από το υποστύλωμα.
β) Σε περίπτωση λοξών ράβδων εκείνες μόνο που διατέμνουν την επιφάνεια, η οποία βρίσκεται σε απόσταση όχι μεγαλύτερη από 2 d ή 800 mm από την φορτιζόμενη επιφάνεια.
Για να περιορισθεί η πιθανότητα αλυσωτής κατάρρευσης, που θα μπορούσε να ξεκινήσει από μια τοπική αστοχία σε διάτρηση, συνιστάται να προβλέπεται στην πλάκα κάτω διαμήκης οπλισμός, ο οποίος να διέρχεται από τις διεπιφάνειες πλάκας - υποστυλώματος και να έχει καλή αγκύρωση εκατέρωθεν.
1.5.4. Ελεύθερα άκρα πλακών
Κατά μήκος ενός ελεύθερου άκρου, μία πλάκα πρέπει να περιέχει:
| • | Διαμήκη οπλισμό από δύο τουλάχιστον ράβδους, την μία στην πάνω ακμή και την άλλη στην κάτω ακμή. Το ελάχιστο εμβαδόν αυτού του οπλισμού είναι 0.005 h2 για S220 και 0.0025 h2 για S400 και S500, τουλάχιστον όμως 2Φ8. |
| • | Εγκάρσιο οπλισμό κάθετο προς τον προηγούμενο και του οποίου τα ελεύθερα σκέλη έχουν μήκος τουλάχιστον 2 h. Ο ελάχιστος εγκάρσιος οπλισμός είναι τουλάχιστον 4 0 6/m, ανεξαρτήτως της ποιότητας του χάλυβα. |
2. Πλάκες με νευρώσεις (ή με σώματα πλήρωσης)
2.1. Ορισμός και πεδίο εφαρμογής
Οι πλάκες με νευρώσεις (ή με σώματα πλήρωσης) συντίθεται από πλακοδοκούς με ελεύθερη απόσταση νευρώσεων το πολύ 700 mm και με πλάτος νευρώσεων τουλάχιστον 70 mm.
Σε αυτές τις περιπτώσεις δεν απαιτείται έλεγχος της πλάκας μεταξύ των νευρώσεων, με την προϋπόθεση ότι το ομοιόμορφα κατανεμημένο μεταβλητό φορτίο δεν είναι μεγαλύτερο από 5 kN/m2 και ότι δεν κυκλοφορούν οχήματα με φορτίο τροχού μεγαλύτερο από 7.5 kN.
2.2 Διέρειστες πλάκες
2.2.1. Πλάκες
Το πάχος της πάνω ή της κάτω πλάκας πρέπει να είναι τουλάχιστον το 1/10 της ελεύθερης απόστασης των νευρώσεων ή 50 mm.
Η πάνω πλάκα πρέπει να οπλίζεται με σταυροειδή οπλισμό, με διατομή σε κάθε διεύθυνση τουλάχιστον ίση με το 0.001 της διατομής της πλάκας (S400, S500).
Η κάτω πλάκα, αν υπάρχει, πρέπει να οπλίζεται κι αυτή με σταυροειδή οπλισμό, τουλάχιστον ίσον με το 75% του οπλισμού της πάνω πλάκας (S400, S500).
2.2.2. Διαμήκεις νευρώσεις
Οι νευρώσεις πρέπει να έχουν πλάτος τουλάχιστον 70 mm. Εφόσον προς τις στηρίξεις διαπλατύνονται οι νευρώσεις, η αύξηση του πλάτους της νεύρωσης b επιτρέπεται να τίθεται στον υπολογισμό με κλίση το πολύ 1:3.
Ο διαμήκης οπλισμός πρέπει να διανέμεται στις επιμέρους νευρώσεις όσο το δυνατό ομοιόμορφα.
Στη στήριξη μπορεί να κάμπτεται λοξά κάθε δεύτερη ράβδος οπλισμού, εφόσον σε κάθε νεύρωση υπάρχουν 2 ράβδοι τουλάχιστον.
Στις εσωτερικές στηρίξεις συνεχών πλακών επιτρέπεται να λαμβάνεται στον υπολογισμό ως θλιβόμενος οπλισμός μόνο ο οπλισμός του ανοίγματος που είναι μικρότερος από το 0.01 της διατομής του σκυροδέματος (S400, S500). Ο θλιβόμενος οπλισμός πρέπει να εξασφαλίζεται έναντι λυγισμού, π.χ. με συνδετήρες.
Στις νευρώσεις πρέπει να διατάσσονται συνδετήρες όταν το ομοιόμορφα κατανεμημένο μεταβλητό φορτίο είναι μεγαλύτερο από 3 kN/m2 και η διάμετρος του διαμήκους οπλισμού των νευρώσεων είναι μεγαλύτερη από 16 mm.
Στην περιοχή των εσωτερικών στηρίξεων συνεχών πλακών και σε πλάκες με ειδικές απαιτήσεις πυρασφάλειας πρέπει να διατάσσονται πάντοτε συνδετήρες.
Σε όλες τις στηρίξεις πλακών με νευρώσεις (ή με σώματα πληρώσεως) συνιστάται να κατασκευάζεται συμπαγής λωρίδα σκυροδέματος, με πλάτος ίσο προς το 5% του αντίστοιχου θεωρητικού ανοίγματος της πλάκας.
2.2.3. Εγκάρσιες νευρώσεις
Σε πλάκες με θεωρητικό άνοιγμα μέχρι 6 m πρέπει να τοποθετείται τουλάχιστον μία εγκάρσια νεύρωση στο μέσον.
Για θεωρητικά ανοίγματα μεγαλύτερα των 6 m πρέπει να τοποθετείται τουλάχιστον μία εγκάρσια νεύρωση ανά 10 ho, όπου ho είναι το συνολικό πάχος της πλάκας.
Εάν δεν γίνεται ακριβέστερος υπολογισμός (π.χ. εσχάρα δοκών) ο οπλισμός της εγκάρσιας νεύρωσης θα είναι τουλάχιστον ίσος με τον οπλισμό μιας διαμήκους νεύρωσης. Ο οπλισμός αυτός θα τοποθετείται και στο πάνω και στο κάτω πέλμα της νεύρωσης.
Επίσης, θα τοποθετούνται συνδετήρες όπως στις διαμήκεις νευρώσεις.
Το ύψος των εγκάρσιων νευρώσεων πρέπει να είναι ίδιο με το ύψος των διαμήκων.
2.3. Τετραέρειστες πλάκες
Εφαρμόζονται ανάλογα οι κανόνες για τις διέρειστες πλάκες. Ιδιαίτερα πρέπει να τηρούνται και κατά τις δύο διευθύνσεις οι απαιτήσεις για τις μέγιστες αποστάσεις των νευρώσεων και τις ελάχιστες διαστάσεις νευρώσεων και πλακών, κατά τις παραγράφους 2.2.1 έως 2.2.3.
3. Δοκοί
Στο Κεφάλαιο αυτό δίδονται διατάξεις για τα γεωμετρικά στοιχεία και τις λεπτομέρειες όπλισης δοκών με ή χωρίς αυξημένες απαιτήσεις πλαστιμότητας (βλέπε παράγραφο 6.1.3).
Δεν επιτρέπεται η χρήση λείων χαλύβων ως διαμήκων οπλισμών σε δοκούς με αυξημένες απαιτήσεις πλαστιμότητας.
3.1 Γεωμετρικά στοιχεία
Σε όλες εν γένει τις δοκούς, πρέπει το πλάτος bw να ικανοποιεί την συνθήκη bw > 200 mm.
Σε δοκούς με αυξημένες απαιτήσεις πλαστιμότητας συνιστάται:
α) το πλάτος bw να ικανοποιεί τις συνθήκες
bw < 2 bc
bw < bc + hc/2
όπου bc και hc η διάσταση της διατομής του υποστυλώματος κάθετα και παράλληλα προς τον άξονα της δοκού,
β) ο λόγος ανοίγματος προς ύψος να είναι τουλάχιστον ίσος προς 4, και
γ) η εκκεντρότητα του άξονα της δοκού να μην υπερβαίνει το 1/3 του πλάτους του υποστυλώματος που τη στηρίζει στη θέση του κόμβου.
3.2. Διαμήκεις οπλισμοί
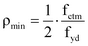
Σε όλες εν γένει τις δοκούς το ελάχιστο ποσοστό εφελκυόμενου διαμήκους οπλισμού (ρmin) πρέπει στο κάτω πέλμα (ή στο άνω πέλμα σε περίπτωση προβόλων) και στις περιοχές στηρίξεων να είναι:
(18.4)
Σε όλες εν γένει, τις δοκούς, η συνολική διατομή του διαμήκους οπλισμού, δεν μπορεί να υπερβαίνει το 4% της διατομής του σκυροδέματος, εκτός περιοχών ενώσεων.
Σε όλες εν γένει, τις δοκούς, πρέπει τουλάχιστον το 1/4 της διατομής του οπλισμού του ανοίγματος να συνεχίζεται και να αγκυρώνεται κατάλληλα στις στηρίξεις στο κάτω πέλμα (βλέπε παραγράφους 17.8.4 και 17.8.5).
Σε δοκούς με αυξημένες απαιτήσεις πλαστιμότητας και σε θέσεις στις οποίες υπάρχει πιθανότητα σχηματισμού πλαστικών αρθρώσεων (παράγραφος 3.3), το μέγιστο ποσοστό εφελκυόμενου διαμήκους οπλισμού (ρmax) πρέπει να ικανοποιεί την ακόλουθη συνθήκη:
(18.5)
όπου το fyd εκφράζεται σε MPa, ενώ τα ρ και ρ' είναι τα ποσοστά του εφελκυόμενου και θλιβόμενου διαμήκους οπλισμού. Όταν η θλιβόμενη ζώνη περιέχει και πλάκα (πλακοδοκός) τα ποσοστά οπλισμού ανάγονται σε ορθογωνική διατομή με ισοδύναμο πλάτος.
Οι παρακάτω κανόνες α έως δ ισχύουν μόνο για δοκούς με αυξημένες απαιτήσεις πλαστιμότητας:
α) Στις περιοχές πιθανών πλαστικών αρθρώσεων κοντά στα άκρα (σε μήκος 2 hb από τις εσωτερικές παρειές στήριξης το ποσοστό ρ' του θλιβόμενου οπλισμού πρέπει να είναι τουλάχιστον ίσο με το μισό του εφελκυόμενου οπλισμού στην ίδια διατομή.
β) Σε όλο του μήκος του πάνω πέλματος πρέπει να εκτείνεται τουλάχιστον το 1/4 του μεγαλύτερου από τους οπλισμούς πάνω πέλματος των εκατέρωθεν στηρίξεων.
γ) Σε όλο το μήκος του πάνω και κάτω πέλματος απαιτούνται τουλάχιστον 2 ράβδοι διαμέτρου 12 mm / S400 ή S500.
δ) Σε πλακοδοκούς διατομής Τ ή Γ μονολιθικά συνδεδεμένες με την πλάκα, μπορεί να συνυπολογιστούν στον οπλισμό στηρίξεων, επιπλέον των διαμήκων ράβδων που βρίσκονται μέσα στο πλάτος της δοκού, και οι ράβδοι που βρίσκονται στα τμήματα της πλάκας εκατέρωθεν της δοκού και εντός πλάτους, από την παρειά του υποστυλώματος ή της δοκού (οποιοδήποτε βρίσκεται σε μεγαλύτερη απόσταση από τον άξονα της δοκού), ίσου με:
I σε εσωτερικά υποστυλώματα με εγκάρσιες δοκούς παρόμοιου ύψους: 4 φορές το πάχος της πλάκας,
II σε εξωτερικά υποστυλώματα χωρίς εγκάρσιες δοκούς ή τοιχώματα: 2.5 φορές το πάχος της πλάκας,
III σε εξωτερικά υποστυλώματα με εγκάρσιες δοκούς παρόμοιου ύψους και εφόσον ο οπλισμός της δοκού αγκυρώνεται εκεί: 2 φορές το πάχος της πλάκας,
IV σε εξωτερικά υποστυλώματα ή τοιχώματα χωρίς εγκάρσιες δοκούς: μηδέν.
Το συνολικό πλάτος που καθορίζεται παραπάνω δεν πρέπει να είναι μεγαλύτερο από το συνεργαζόμενο πλάτος της δοκού σύμφωνα με την παράγραφο 8.4.
Οι οπλισμοί αυτοί δεν περιλαμβάνονται στα ελάχιστα ποσοστά οπλισμών.
Σε όλες τις περιπτώσεις, τουλάχιστον το 75% του οπλισμού που λαμβάνεται υπόψη στον έλεγχο της καμπτικής αντοχής στη στήριξη, πρέπει να περνά μέσα από ή να αγκυρώνεται μέσα στο πλάτος του υποστυλώματος.
3.3. Κρίσιμες περιοχές δοκού με αυξημένες απαιτήσεις πλαστιμότητας
Ως κρίσιμες περιοχές θεωρούνται τα ακραία τμήματα της δοκού με μήκος lcr από τις παρειές στήριξης σε υποστύλωμα ή τοίχωμα ίσο με 2 φορές του ύψος δοκού (lcr = 2 hb).
3.4. Οπλισμοί διατμήσεως
Κάθε δοκός θα πρέπει να έχει σε όλο το μήκος της έναν ελάχιστο αριθμό ανοικτών ή κλειστών συνδετήρων.
Για να εξασφαλιστεί ικανή απομένουσα αντοχή μετά την ρηγμάτωση και πριν από την θραύση, απαιτείται ένα ελάχιστο ποσοστό οπλισμού.
Οι συνδετήρες συνιστάται να μην έχουν διάμετρο μεγαλύτερη από 12 mm.
Η μέγιστη απόσταση smax μεταξύ διαδοχικών οπλισμών διάτμησης καθορίζεται από τις παρακάτω σχέσεις:
| • | 0.8 d≤300 mm για VSd < (1/5) VRd2 (18.6) |
| • | 0.6 d≤300 mm για (1/5) VRd2 < VSd ≤(2/3) VRd2 (18.7) |
| • | 0.3 d≤200 mm για VSd >(2/3) VRd2 (18.8) |
Η απόσταση μεταξύ των σκελών ενός συνδετήρα πρέπει να μην είναι μεγαλύτερη από d ή από 500 mm, εάν VSd < (1/5) VRd2.
Για VSd > (1/5) VRd2, ισχύουν τα όρια των σχέσεων (18.7) και (18.8).
Στις κρίσιμες περιοχές δοκών με αυξημένες απαιτήσεις πλαστιμότητας, οι συνδετήρες πρέπει να έχουν διάμετρο τουλάχιστον 8 mm και αποστάσεις που δεν υπερβαίνουν την ελάχιστη από τις εξής τιμές:
| • | το 1/3 του ύψους της δοκού, |
| • | 10 φορές τη διάμετρο της λεπτότερης διαμήκους ράβδου, |
| • | 20 φορές τη διάμετρο των συνδετήρων, |
Ο πρώτος από τη στήριξη συνδετήρας δεν επιτρέπεται να απέχει από την παρειά στήριξης της δοκού περισσότερο από 50 mm γενικώς.
Ενώσεις του διαμήκους οπλισμού με υπερκάλυψη των άκρων επιτρέπονται μόνο εκτός των κρίσιμων περιοχών της δοκού (βλέπε και παράγραφο 17.7.2.1). Οι αποστάσεις συνδετήρων στην περιοχή μιας τέτοιας ένωσης δεν μπορούν να υπερβαίνουν τα 150 mm, το τέταρτο του ύψους της δοκού και το οκταπλάσιο της μικρότερης διαμέτρου των ράβδων που ενώνονται.
3.5. Αγκύρωση διαμήκους οπλισμού
Δοκοί με αυξημένες απαιτήσεις πλαστιμότητας πρέπει να ακολουθούν τις εξής διατάξεις αγκύρωσης του διαμήκους οπλισμού:
α) Οι ράβδοι του πάνω και κάτω πέλματος που φθάνουν έως μια ενδιάμεση στήριξη σε υποστύλωμα πρέπει να συνεχίζονται, εφόσον είναι κατασκευαστικά δυνατόν, πέρα από τη στήριξη στο επόμενο άνοιγμα και για μήκος τουλάχιστον ίσο με lb.min (βλέπε παράγραφο 17.6.3).
β) Όταν δεν είναι κατασκευαστικά δυνατή η ευθύγραμμη συνέχιση των οπλισμών πελμάτων μιας δοκού πέρα από τον κόμβο στήριξης, (π.χ. σε ενδιάμεσα υποστυλώματα όπου καταλήγουν ανισοϋψείς δοκοί, ή σε ακραία υποστυλώματα), τότε οι ράβδοι των πελμάτων της δοκού μπορούν να αγκυρώνονται μέσα στον κόμβο δοκού - υποστυλώματος (ή δοκού - τοιχώματος), ως εξής:
| • | Οι ράβδοι πρέπει να επεκτείνονται όσο γίνεται πιο κοντά στην απέναντι πλευρά του κόμβου, όπου και θα κάμπτονται κατά 90° προς το εσωτερικό του κόμβου (δηλαδή οι πάνω ράβδοι προς τα κάτω και οι κάτω προς τα πάνω). |
| • | Το μήκος αγκύρωσης μετράται από απόσταση 5Φ πέρα από το σημείο εισόδου της ράβδου στον κόμβο. Σχετικώς μπορεί να ληφθεί υπόψη η ευνοϊκή επιρροή της εγκάρσιας θλίψης κατά την παράγραφο 17.5. |
3.6. Οπλισμός σύνδεσης πελμάτων-κορμού πλακοδοκών και τοιχωμάτων
Απαιτείται ένα ελάχιστο ποσοστό εγκάρσιου οπλισμού σύνδεσης, ο οποίος εξασφαλίζει τη σύνδεση των πελμάτων με τον κορμό μιας δοκού ή ενός τοιχώματος.
3.7. Οπλισμοί στρέψης
Οι διατάξεις των παραγράφων 18.3.2 και 18.3.4 που αναφέρονται σε δοκούς χωρίς αυξημένη απαίτηση πλαστιμότητας ισχύουν για τον διαμήκη οπλισμό και τους κλειστούς συνδετήρες δοκών οι οποίες καταπονούνται σε στρέψη.
Οι αποστάσεις μεταξύ των κλειστών συνδετήρων δεν πρέπει να υπερβαίνουν την τιμή uk/8.
Οι διαμήκεις ράβδοι πρέπει να διατάσσονται έτσι ώστε μία τουλάχιστον ράβδος να τοποθετείται σε κάθε γωνία του συνδετήρα, οι δε υπόλοιπες να κατανέμονται ομοιόμορφα στην εσωτερική περίμετρο του συνδετήρα, κατ' αποστάσεις που δεν υπερβαίνουν τα 350 mm.
3.8. Φορτία αναρτημένα από τα κάτω
Για φορτία αναρτημένα από τα κάτω οι διατάξεις ανάρτησης, εφόσον τερματίζουν μέσα στο σκυρόδεμα, πρέπει να αγκυρώνονται σαν αναβολείς.
Τα φορτία αυτά μπορούν επίσης να αναρτώνται με προεντεταμένες ράβδους χωρίς σύνδεση, που αγκυρώνονται στην πάνω πλευρά της δοκού.
Οι οπλισμοί ανάρτησης πρέπει να είναι ικανοί να αναλάβουν ολόκληρο το αναρτώμενο φορτίο.
Σε ανεστραμμένες πλακοδοκούς, οι οπλισμοί αναρτήσεως (για τα φορτία των πλακών) πρέπει να αποτελούνται από κλειστούς συνδετήρες.
4. Υποστυλώματα
4.1. Γενικά
Δεν επιτρέπεται η χρήση λείων χαλύβων ως διαμήκων οπλισμών σε υποστυλώματα.
4.2. Γεωμετρικά στοιχεία
Σε όλα εν γένει τα υποστυλώματα, οι διαστάσεις της διατομής πρέπει να ακολουθούν τους εξής κανόνες:
α) Ελάχιστη πλευρά υποστυλώματος τουλάχιστον 250 mm, ελάχιστη διάμετρος υποστυλώματος τουλάχιστον 300 mm. Αν δεν απαιτείται οπλισμός περίσφιξης σύμφωνα με την παράγραφο 4.4.2 επιτρέπεται ελάχιστη πλευρά ή διάμετρος 200 mm ή 250 mm, αντιστοίχως.
β) Σε γωνιακά υποστυλώματα με διατομή μορφής Γ, το κάθε σκέλος πρέπει να έχει πάχος τουλάχιστον 200 mm και μήκος τουλάχιστον 350 mm.
Για να εξασφαλίζεται επαρκής πλαστιμότητα σε υποστυλώματα με αυξημένες απαιτήσεις πλαστιμότητας, πρέπει η διατομή τους να είναι τέτοια, ώστε να πληρούται η συνθήκη:

για τους συνδυασμούς δράσεων με σεισμό.
Υδρορροές δεν επιτρέπεται να τοποθετούνται μέσα στα υποστυλώματα.
4.3. Διαμήκεις οπλισμοί
Ο ελάχιστος συνολικός αριθμός διαμήκων ράβδων είναι τέσσερις για ορθογωνικά και έξι για κυκλικά υποστυλώματα. Στην περίπτωση πολυγωνικών υποστυλωμάτων, τοποθετείται τουλάχιστον μία διαμήκης ράβδος σε κάθε γωνία. Η διάμετρος των διαμήκων ράβδων δεν πρέπει να είναι μικρότερη από 14 mm.
Το ποσοστό του περιμετρικά διατεταγμένου διαμήκους οπλισμού πρέπει να κυμαίνεται μεταξύ 0.01 (ή 0.008, αν δεν απαιτείται οπλισμός περίσφιξης σύμφωνα με την παράγραφο 18.4.4.2) και 0.04. Στην περιοχή των ενώσεων με υπερκάλυψη, το ποσοστό του διαμήκους οπλισμού μπορεί να φθάσει στο 0.08.
Σε υποστυλώματα με αυξημένες απαιτήσεις πλαστιμότητας, οι διαμήκεις οπλισμοί πρέπει να συγκρατούνται από συνδετήρες ή και εγκάρσιους συνδέσμους και διατάσσονται κατά μήκος της περιμέτρου της διατομής έτσι ώστε η απόστασή τους να μην ξεπερνά τα 200 mm. Εξαίρεση της απαίτησης αυτής επιτρέπεται σε υποστυλώματα με πλευρά 300 mm, όπου επιτρέπεται να τοποθετούνται ράβδοι μόνο στις γωνίες αυτής της πλευράς.
Σε υποστυλώματα χωρίς αυξημένες απαιτήσεις πλαστιμότητας επιτρέπεται να διατάσσονται διαμήκεις ράβδοι σε αποστάσεις 300 mm.
4.4. Εγκάρσιοι οπλισμοί (συνδετήρες και σύνδεσμοι)
4.4.1. Γενικά
Οι διαμήκεις οπλισμοί πρέπει να συγκρατούνται από πυκνούς συνδετήρες, με μικρή κατά το δυνατόν διάμετρο.
Για μεγάλα υποστυλώματα η συγκράτηση μπορεί να γίνει με την βοήθεια σιγμοειδούς οπλισμού (εγκάρσιοι σύνδεσμοι), με άγκιστρα σύμφωνα με την παράγραφο 17.9.4.
Σε κυκλικά υποστυλώματα η σωστή συγκράτηση μπορεί να επιτευχθεί με την βοήθεια κυκλικών συνδετήρων (ή σπειροειδούς οπλισμού), οι οποίοι περιβάλλουν τις διαμήκεις ράβδους ή δέσμες ράβδων.
Γενικά, η διάμετρος του εγκάρσιου οπλισμού δεν πρέπει να είναι μικρότερη από 6 mm ή από το 1/4 της μέγιστης διαμέτρου των διαμήκων ράβδων. Η μεταξύ τους απόσταση δεν πρέπει να είναι μεγαλύτερη από:
| • | 12 φορές την ελάχιστη διάμετρο των διαμήκων ράβδων, |
| • | τη μικρότερη πλευρά του υποστυλώματος, |
Ειδικώς στις κρίσιμες περιοχές των υποστυλωμάτων με αυξημένες απαιτήσεις πλαστιμότητας (παράγραφος 4.5), η διάμετρος του εγκάρσιου οπλισμού δεν μπορεί να είναι μικρότερη από 8 mm ή από 1/3 της μέγιστης διαμέτρου διαμήκους ράβδου. Η μεταξύ τους απόσταση δεν μπορεί να είναι μεγαλύτερη από:
| • | 8 φορές την ελάχιστη διάμετρο των διαμήκων ράβδων, |
| • | 50% της μικρότερης πλευράς του υποστυλώματος, |
Όταν οι ενώσεις με υπερκάλυψη των διαμήκων ράβδων γίνονται μέσα στις κρίσιμες περιοχές υποστυλωμάτων με αυξημένες απαιτήσεις πλαστιμότητας, η μέγιστη απόσταση των συνδετήρων περιορίζεται σε 4 φορές την ελάχιστη διάμετρο των διαμήκων ράβδων. Σε υποστυλώματα χωρίς αυξημένες απαιτήσεις πλαστιμότητας και σε μη κρίσιμες περιοχές υποστυλωμάτων με αυξημένες απαιτήσεις πλαστιμότητας, η μέγιστη απόσταση των συνδετήρων στις περιοχές ενώσεων περιορίζεται σε 6 φορές την ελάχιστη διάμετρο των διαμήκων ράβδων.
4.4.2. Οπλισμός περίσφιξης
Στις κρίσιμες περιοχές υποστυλωμάτων με αυξημένες απαιτήσεις πλαστιμότητας (παράγραφος 4.5) θα πρέπει να υπάρχει ικανοποιητικός οπλισμός περίσφιξης. Η διάταξη αυτή αφορά μόνο υποστυλώματα αμιγών πλαισιακών φορέων και όχι υποστυλώματα σε κτίρια με κατάλληλα διαμορφωμένο μικτό σύστημα σύμφωνα με την παράγραφο 4.1.4.2)β του Ελληνικού Αντισεισμικού Κανονισμού με την προϋπόθεση όμως ότι ο λόγος ην της σχέσης 4.8 του Ελληνικού Αντισεισμικού Κανονισμού είναι >0.75.
α) Ο οπλισμός περίσφιξης οφείλει να είναι επαρκής:
| • | Για την αντιστάθμιση της απώλειας εμβαδού διατομής σκυροδέματος έξω από τους συνδετήρες, μετά την υπέρβαση της κρίσιμης παραμόρφωσης του μη-περισφιγμένου σκυροδέματος (αποφλοίωση), και |
| • | Για την πρόσδοση αρκετής ικανότητας πλαστικής στροφής της κρίσιμης περιοχής του υποστυλώματος (πλαστιμότητα), έτσι ώστε η στροφή αυτή να είναι συμβιβαστή με την προεκτιμηθείσα στάθμη συνολικής απορρόφησης ενέργειας του δομήματος, όπως εκφράζεται από τον δείκτη σεισμικής συμπεριφοράς που έχει προ-επιλεγεί. |
β) Εάν δεν διατίθεται αναλυτικότερη αιτιολόγηση στηριγμένη στην διεθνή βιβλιογραφία και εμπειρία, η πρόβλεψη του οπλισμού περίσφιξης θα γίνεται ως εξής:
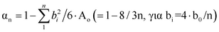
i) Το μηχανικό ογκομετρικό ποσοστό του οπλισμού περίσφιξης

οφείλει να ικανοποιεί την παρακάτω σχέση:

όπου:
α συντελεστής αποδοτικότητας περίσφιξης εξαρτώμενος από τη διάταξη των συνδετήρων, α=αn αs
Ac το εμβαδόν ολόκληρης της διατομής του σκυροδέματος του υποστυλώματος
Aο το εμβαδόν της διατομής του περισφιγμένου σκυροδέματος (πυρήνας)
vd=NSd/(Ac fcd) ανηγμένο αξονικό φορτίο το οποίο σε κάθε περίπτωση οφείλει να πληροί την συνθήκη vd ≤ 0.65
NSd η τιμή σχεδιασμού του μεγίστου θλιπτικού φορτίου υπό τον σεισμικό συνδυασμό δράσεων.
ii) Ο συντελεστής αποδοτικότητας της περίσφιξης εκτιμάται ως εξής:
1) Αναλόγως της διάταξης των συνδετήρων

όπου:
n αριθμός κορυφών συνδετήρων ή κόμβων με εγκάρσιους συνδέσμους που συγκρατούν διαμήκεις ράβδους
bi απόσταση μεταξύ διαδοχικών κορυφών ή κόμβων, όχι μεγαλύτερη από 200 mm ή από 300 mm (βλέπε παράγραφο 4.3).
Για κυκλικά υποστυλώματα αn=1.
2) Αναλόγως της απόστασης των συνδετήρων

όπου:
s' η καθαρή ελεύθερη απόσταση μεταξύ συνδετήρων (s'<b0/2).
b0 το πλάτος της διατομής του πυρήνα (Αο=b02).
Για σπειροειδώς οπλισμένα υποστυλώματα (κυκλική ή τετραγωνική σπείρα), ο συντελεστής αs είναι μεγαλύτερος, ίσος με αs = (1 - s'/ 2 bo).
iii) Σε κάθε περίπτωση, η απόσταση ανάμεσα στις διαδοχικές στρώσεις συνδετήρων οφείλει να είναι επαρκής για την άνετη ροή και συμπύκνωση του νωπού σκυροδέματος μέσα και έξω από τον κλωβό του οπλισμού. Επίσης, η διάμετρος και η κατηγορία του χάλυβα περίσφιξης πρέπει να επιλέγονται με κριτήριο την ικανότητα μόρφωσής του στα ακριβή σχήματα που απαιτεί αυτός εδώ ο Κανονισμός.
Παραλλήλως ισχύουν και οι απαιτήσεις της παραγράφου 4.4.1 που καλύπτουν τον κίνδυνο λυγισμού του κυρίου οπλισμού.
iv) Επισημαίνεται ότι στην περίπτωση ορθογωνικών υποστυλωμάτων πρέπει ο πυρήνας τους να περισφίγγεται με περίπου τετραγωνικές ή κυκλικές διατάξεις συνδετήρων και συνδέσμων σύμφωνα με τα προηγούμενα, έτσι ώστε να εξασφαλίζεται ομοιόμορφη περίπου περίσφιγξη ολόκληρου του πυρήνα.
Η αποδοτική περίσφιγξη αντιστοιχεί σε μία αξονοσυμμετρική τριαξονική εντατική κατάσταση | σ1 | > | σ2 = σ3 |. Για την πραγματοποίησή της απαιτούνται δύο προϋποθέσεις:
α) Η διάταξη των συνδετήρων οφείλει να είναι όσο γίνεται πλησιέστερη προς τον κύκλο ή το τετράγωνο, έστω και αν η διατομή του φέροντος στοιχείου είναι ορθογωνική.
β) Εξάλλου, τα προς κάθε κατεύθυνση γεωμετρικά ποσοστά συνδετήρων οφείλουν να είναι ίσα (ρx ~= ρy).
Υπό αυτές τις προϋποθέσεις υπολογίζεται το ογκομετρικό μηχανικό ποσοστό ωwd της παραγράφου β.ί:

Αν ρx≠ρy, στον υπολογισμό του ωwd θα ληφθεί υπόψη η μικρότερη των δύο αυτών τιμών, δηλαδή:

4.4.3. Οπλισμός κόμβων
Οι εγκάρσιοι οπλισμοί των άκρων των υποστυλωμάτων (με ή χωρίς αυξημένες απαιτήσεις πλαστιμότητας) πρέπει να συνεχίζουν και στην περιοχή των κόμβων, με την ίδια διάταξη και με τις ίδιες αποστάσεις.
4.5. Κρίσιμες περιοχές υποστυλώματος με αυξημένες απαιτήσεις πλαστιμότητας
Ορίζονται ως κρίσιμες περιοχές υποστυλώματος lcr:
α) Οι ακραίες περιοχές του υποστυλώματος πάνω και κάτω από τους κόμβους, σε απόσταση από την παρειά του κόμβου η οποία ισούται με το μεγαλύτερο από:
| • | το 1/5 του καθαρού ύψους ορόφου, |
| • | τη μεγαλύτερη διάσταση της διατομής του υποστυλώματος, |
β) Όταν υπάρχει τοίχος από τη μία πλευρά υποστυλώματος, τότε όλο το ύψος του θεωρείται κρίσιμο. Το ίδιο ισχύει για τα γωνιακά υποστυλώματα, τα οποία έχουν τοίχο από τη μία τους πλευρά κατά x ή και κατά y. Όταν ένα υποστύλωμα έχει από τη μία ή και από τις δύο μεριές του τοίχο, ο οποίος δεν εκτείνεται σε όλο το ύψος του ορόφου, το σύνολο του ύψους του θεωρείται κρίσιμο.
γ) Όταν το υποστύλωμα συνδέεται με τοίχωμα σε μέρος του ύψους του τότε κρίσιμο θεωρείται όλο το υπόλοιπο ύψος.
4.6. Αγκυρώσεις διαμήκους οπλισμού υποστυλώματος με αυξημένες απαιτήσεις πλαστιμότητας
Σε ακραίους κόμβους υποστυλωμάτων, η αγκύρωση ράβδων μέσα στον κόμβο πρέπει να ακολουθεί τα εξής:
Η προς αγκύρωση ράβδος πρέπει να εκτείνεται όσο γίνεται πιο κοντά στην απέναντι πλευρά του κόμβου, όπου θα κάμπτεται κατά 90° προς το εσωτερικό του κόμβου (δηλαδή οι ράβδοι της δεξιάς πλευράς του υποστυλώματος προς τα αριστερά και αυτές της αριστερής προς τα δεξιά). Το μήκος αγκύρωσης ξεκινά από απόσταση 5Φ μετά την είσοδο της ράβδου στον κόμβο. Σχετικώς, μπορεί να ληφθεί υπόψη η ευνοϊκή επιρροή της εγκάρσιας θλίψης κατά την παράγραφο 17.5.
4.7. Αναμονές υποστυλωμάτων
Σε υποστυλώματα, το μήκος αναμονών των διαμήκων ράβδων (στις στάθμες ορόφων) πρέπει να είναι τουλάχιστον ίσο με το μεγαλύτερο από τα εξής:
| • | Μήκος αγκύρωσης lb των κάτω ράβδων (lb, κάτω), ή |
| • | (1.0 ή 1.4) Χ μήκος αγκύρωσης lb των πάνω ράβδων (1.0 ή 1.4 lb, πάνω), για υποστυλώματα χωρίς ή με αυξημένες απαιτήσεις πλαστιμότητας, αντιστοίχως. |
Σε αυτές τις περιοχές διατάσσονται οι εγκάρσιοι οπλισμοί που προβλέπονται για τις περιοχές ενώσεων (παράγραφοι 4.4.1, 17.7.2.4, 17.9.1 και 17.9.2).
4.8. Υποστυλώματα με σπειροειδή οπλισμό
Για τα θλιβόμενα στοιχεία με σπειροειδή οπλισμό ισχύουν οι διατάξεις των παραγράφων 4.1 έως και 4.7 που συμπληρώνονται με τις παρακάτω διατάξεις:
α) Η διάμετρος της διατομής του πυρήνα δεν επιτρέπεται να είναι μικρότερη από 250 mm.
β) Ο ελάχιστος συνολικός διαμήκης οπλισμός είναι το 0.01 και ο μέγιστος το 0.04 του εμβαδού της διατομής του πυρήνα.
Στις περιοχές των ενώσεων με υπερκάλυψη το μέγιστο ποσοστό οπλισμού είναι 0.08.
Ο ελάχιστος αριθμός ράβδων είναι 6, οι οποίες κατανέμονται ομοιόμορφα στην περίμετρο.
γ) Το βήμα της σπείρας επιτρέπεται να είναι το πολύ 80 mm ή το ένα πέμπτο της διαμέτρου του πυρήνα, η δε διάμετρος της τουλάχιστον 5 mm.
δ) Τα άκρα της σπείρας, ακόμη και στις περιοχές των ενώσεων της σπείρας με υπερκάλυψη (που επιτρέπεται μόνο εκτός κρισίμων περιοχών και κόμβων), πρέπει να κάμπτονται προς τα μέσα υπό μορφή ορθογωνικού αγκίστρου ή να συγκολλιούνται στη γειτονική σπείρα.
ε) Η σπείρα πρέπει να εκτείνεται και στην περιοχή των κόμβων.
4.9. Κοντά υποστυλώματα
Υποστυλώματα με λόγο διατμήσεως αs ≤ 2.5 χαρακτηρίζονται ως κοντά. Σε κοντά υποστυλώματα σε μετελαστική επιπόνηση εμφανίζεται σημαντική αλληλεπίδραση κάμψης και διάτμησης, με συνέπεια τη σημαντική μείωση της διαθέσιμης πλαστιμότητας. Η μείωση αυτή γίνεται εντονότερη όσο μικρότερος είναι ο λόγος διατμήσεως.
Για τον παραπάνω χαρακτηρισμό ο λόγος διατμήσεως αs = MSd / (VSd h) υπολογίζεται από τα εντατικά μεγέθη ροπής MSd και τέμνουσας VSd του σεισμικού συνδυασμού, στην κρίσιμη διατομή του άκρου του υποστυλώματος, όπου εμφανίζεται η μέγιστη τιμή της ροπής MSd και h είναι η διάσταση της διατομής στην διεύθυνση της τέμνουσας VSd.
Οι διατάξεις αυτού του άρθρου έχουν εφαρμογή σε περιοχές υποστυλωμάτων στις οποίες κατά την σεισμική επιπόνηση σχεδιασμού και για την επίτευξη της πλαστιμότητας που αντιστοιχεί στον συντελεστή συμπεριφοράς q που χρησιμοποιείται είναι δυνατόν να αναπτυχθεί πλαστική άρθρωση.
Για τις ανάγκες αυτού του άρθρου μπορεί να θεωρηθεί ότι η παραπάνω δυνατότητα δεν υπάρχει, και επομένως δεν είναι αναγκαία η εφαρμογή του συνόλου των διατάξεων αυτού του άρθρου, όταν ισχύει μια από τις ακόλουθες συνθήκες:
α. Όταν, και στους δύο κόμβους στους οποίους συντρέχει το υποστύλωμα, εξασφαλίζεται μέσω ικανοτικών ελέγχων, σύμφωνα με τις (1) έως (4) του άρθρου 4.1.4.1 του Ελληνικού Αντισεισμικού Κανονισμού, ότι οι πλαστικές αρθρώσεις θα αναπτυχθούν μόνον στις δοκούς.
β. Όταν και στις δύο ακραίες διατομές του υποστυλώματος ικανοποιείται η σχέση:

όπου:
Mv είναι η συμβολή των μη-σεισμικών φορτίων στην ροπή MSd = Mv + MEd,
MEd είναι η σεισμική ροπή που αντιστοιχεί στην MSd, και
MRd είναι η αντοχή σχεδιασμού της διατομής με τον τελικό διαμήκη οπλισμό της και υπό την αξονική δύναμη NSd του ίδιου σεισμικού συνδυασμού.
Κατά τον μορφολογικό σχεδιασμό του φορέα συνιστάται να αποφεύγονται τα κοντά υποστυλώματα.
Όπου τούτο δεν είναι δυνατόν, θα γίνονται σεβαστές και οι ακόλουθες πρόσθετες διατάξεις.
1) Ολόκληρο το μήκος του υποστυλώματος θεωρείται κρίσιμο. Η απαιτούμενη στις κρίσιμες περιοχές περίσφιγξη (βλέπε παράγραφο 4.5) θα επεκτείνεται σ' όλο το μήκος του υποστυλώματος.
2) Η μέγιστη ανεκτή τιμή ανηγμένου αξονικού φορτίου περιορίζεται σε max νd = 0.40, για τον σεισμικό συνδυασμό δράσεων.
3) Για την μεταφορά των δυνάμεων σε κοντό υποστύλωμα στην μετελαστική περιοχή δεν ισχύει ο συνήθης μηχανισμός μεταφοράς διατμητικών δυνάμεων (βλέπε παράγραφο 11.2.1). Το σύνολο των δυνάμεων μεταφέρεται μέσω διαγωνίου θυσάνου θλιπτήρων και αντίστοιχων εγκάρσιων ελκυστήρων οπλισμού.
4) Παρά ταύτα, είναι πρακτικώς δυνατόν να γίνεται χρήση των εξισώσεων διατμητικής αντοχής διατομών των συνήθων υποστυλωμάτων, με μειωτικό συντελεστή γRd = 0.80 για τον υπολογισμό των VRd2 και VRd3 (με αμετάβλητες τις τιμές γc, γs).
5) Όταν αs < 1.5, τότε εκτός του διαμήκους οπλισμού και των συνδετήρων που προκύπτουν κατά τα ανωτέρω, απαιτείται και η τοποθέτηση δισδιαγώνιου οπλισμού, με σκοπό τη διατήρηση φέρουσας ικανότητας λοξού θλιπτήρα μετά την εξάντληση της αντοχής του σκυροδέματος του (μείωση του ρυθμού απώλειας της πλαστιμότητας).
Για λόγους πρακτικούς, συνιστάται να προβλέπεται συνολικός δισδιαγώνιος οπλισμός: (Asd) σε ποσοστό περίπου 30% του συνολικού διαμήκους οπλισμού.
6) Ο οπλισμός αυτός θα συνυπολογίζεται στον διαμήκη οπλισμό κατά το τμήμα της προβολής του στην διεύθυνση του διαμήκους οπλισμού. Επίσης η τέμνουσα δύναμη που πρέπει να αναληφθεί από συνδετήρες μπορεί να μειωθεί κατά την συμβολή του διαγώνιου οπλισμού, δηλαδή κατά Vd = γRd fsd Asd cos(φ) όπου φ είναι η γωνία κλίσης του διαγώνιου οπλισμού ως προς το οριζόντιο επίπεδο.
Οι διαγώνιες ράβδοι πρέπει να αγκυρώνονται πλήρως πέραν των ακραίων διατομών του υποστυλώματος.
7) Ανάλογη μέριμνα πρέπει να λαμβάνεται και για τις περιπτώσεις των θέσει κοντών υποστυλωμάτων, τα οποία προκύπτουν όταν ο τοίχος πληρώσεως που βρίσκεται σε επαφή με το υποστύλωμα, δεν συνεχίζεται, σε όλο το ύψος του ορόφου, είτε από την μία είτε και από τις δύο πλευρές του υποστυλώματος. Αν δεν μπορούν να αποφευχθούν αυτές οι διαμορφώσεις θα πρέπει να εφαρμόζονται οι ακόλουθες διατάξεις:
α) Τα υποστυλώματα αυτά θα ελέγχονται με εντατικά μεγέθη που προκύπτουν από προσομοίωμα για την ανάλυση στο οποίο το κατώτερο τμήμα του υποστυλώματος μήκους ΗΤ είναι πρακτικώς απαραμόρφωτο κατά την σεισμική απόκριση.
β) Θα εφαρμόζονται όλες οι προαναφερθείσες (1 έως 6) πρόσθετες διατάξεις θεωρώντας ως μήκος κοντού υποστυλώματος το μήκος L = H – HT
γ) Ο διαμήκης οπλισμός κάμψης και ο εγκάρσιος οπλισμός διάτμησης του κοντού τμήματος του υποστυλώματος θα διατηρούνται σταθεροί σε ολόκληρο το μήκος του υποστυλώματος.
8) Ο δείκτης συμπεριφοράς δομημάτων που περιλαμβάνουν φύσει ή θέσει κοντά υποστυλώματα θα λαμβάνεται για ολόκληρο το δόμημα ίσος με q' = max {1.5 ή αs + 1.0} ≤ q
όπου:
αs ο λόγος διατμήσεως των υποστυλωμάτων αυτών, και
q οι τιμές του Πίνακα 2.6 του Ελληνικού Αντισεισμικού Κανονισμού.
Από την διάταξη αυτή εξαιρούνται τα δομήματα με επαρκή σε αριθμό και διάταξη τοιχώματα, τέτοια ώστε η σχετική σεισμική μετακίνηση δ = γθ q.δελ του σημείου μηδενισμού της ροπής ως προς την κάθετο στην διατομή του άκρου του υποστυλώματος από το οποίο καθορίζεται το αsd, να μην υπερβαίνει τη μετακίνηση αστοχίας δu, όπου δελ είναι η τιμή της ίδιας μετακίνησης όπως προκύπτει από την ανάλυση με βάση τον δείκτη συμπεριφοράς q. Η συνθήκη αυτή πρέπει να ισχύει για όλα τα κοντά υποστυλώματα.
9) Δεν δημιουργούνται θέσει κοντά υποστυλώματα, με την έννοια της παραγράφου 7, όταν λαμβάνονται ειδικά κατασκευαστικά μέτρα για την διαμόρφωση αρμού μεταξύ τοίχων πλήρωσης και υποστυλωμάτων. Τα μέτρα αυτά πρέπει να εξασφαλίζουν ότι κατά την σεισμική παραμόρφωση του κτιρίου δεν αναπτύσσονται σημαντικές δυνάμεις κατά μήκος του αρμού.
5. Τοιχώματα
5.1. Γεωμετρικά στοιχεία τοιχωμάτων
Ένα κατακόρυφο στοιχείο θεωρείται τοίχωμα όταν το μήκος του, lw , είναι τουλάχιστον τετραπλάσιο του πλάτους b. Τοιχώματα που καταλήγουν σε υποστυλώματα πρέπει να έχουν πάχος b τουλάχιστον 150 mm. Στις άλλες περιπτώσεις πρέπει να έχουν πάχος b τουλάχιστον 250 mm, ή 200 mm, για τοιχώματα με ή χωρίς αυξημένες απαιτήσεις πλαστιμότητας, αντιστοίχως.
Σε κάθε περίπτωση, το πάχος δεν μπορεί να είναι μικρότερο από το 1/20 του ύψους ορόφου, εκτός αν γίνεται έλεγχος πλευρικής ευστάθειας.
Πρέπει να αποφεύγονται μη κανονικά τοποθετημένα ανοίγματα (έτσι ώστε να δημιουργείται σύζευξη, παράγραφος 5.8) στα τοιχώματα με αυξημένες απαιτήσεις πλαστιμότητας, εκτός αν η επιρροή τους στη συμπεριφορά του τοιχώματος είναι αμελητέα ή λαμβάνεται υπόψη στον υπολογισμό.
5.2. Κρίσιμη περιοχή τοιχώματος με αυξημένες απαιτήσεις πλαστιμότητας
Ως κρίσιμη περιοχή Hcr θεωρείται το τμήμα του τοιχώματος μέχρις ύψους (από τη θεμελίωση) τουλάχιστον ίσο με το μέγιστο των lw και Hw / 6, όπου Hw το συνολικό ύψος από τη βάση έως την κορυφή του τοιχώματος.
Ως βάση τοιχώματος θεωρείται η στάθμη πακτώσεως στη θεμελίωση (ή σε υποκείμενα και θεμελιούμενα τοιχώματα τουλάχιστον διπλάσιου μήκους) ή η στάθμη οροφής πρακτικά απαραμόρφωτων υπογείων (βλέπε και παράγραφο 14.3.1).
Σε κάθε περίπτωση η κρίσιμη περιοχή καλύπτει ολόκληρο το ύψος του κάτω ορόφου, ενώ οι λεπτομέρειες οπλίσεώς της συνεχίζονται και σε έναν τουλάχιστον υποκείμενο όροφο (υπόγειο), αν υπάρχει.
5.3. Κατακόρυφοι οπλισμοί τοιχωμάτων
Δεν επιτρέπεται η χρήση λείων χαλύβων ως κατακόρυφων οπλισμών τοιχωμάτων.
α) Κορμός
Η ελάχιστη διάμετρος του κατακόρυφου οπλισμού τοιχώματος είναι 10 mm.
Η μέγιστη διάμετρος των κατακόρυφων ράβδων δεν μπορεί να υπερβαίνει το 1/10 του πάχους του τοιχώματος.
Στον κορμό του τοιχώματος, μεταξύ των ακραίων περιοχών, το συνολικό ποσοστό του κατακόρυφου οπλισμού δεν μπορεί να είναι μικρότερο από 0.0025 στις κρίσιμες περιοχές τοιχωμάτων με αυξημένες απαιτήσεις πλαστιμότητας και από 0.0015 εκτός των κρισίμων περιοχών ή σε τοιχώματα χωρίς αυξημένες απαιτήσεις πλαστιμότητας. Ο οπλισμός αυτός πρέπει να σχηματίζει με τις οριζόντιες ράβδους 2 εσχάρες, μία κοντά σε κάθε όψη του τοιχώματος, οι οποίες να συνδέονται με εγκάρσιο σιγμοειδή οπλισμό 4Φ8/m2 (S220). Σε κάθε εσχάρα η απόσταση δύο γειτονικών κατακόρυφων ράβδων θα είναι γενικώς s ≤ 300 mm, πλην των κρισίμων περιοχών στη βάση τοιχωμάτων με αυξημένες απαιτήσεις πλαστιμότητας όπου πρέπει s ≤ 200 mm.
β) Άκρα
Οι ακραίες περιοχές των κρισίμων περιοχών τοιχωμάτων με αυξημένες απαιτήσεις πλαστιμότητας πρέπει να διαμορφώνονται και να οπλίζονται σαν περισφιγμένα υποστυλώματα σε μήκος από το άκρο του τοιχώματος τουλάχιστον 1.5 b ή 0.15 lw, ή όπου η ανηγμένη θλιπτική παραμόρφωση σκυροδέματος εc είναι μεγαλύτερη από 0.2%. Στις ακραίες αυτές περιοχές ο κατακόρυφος οπλισμός πρέπει να είναι μεταξύ 0.01 και 0.04 της αντίστοιχης διατομής σκυροδέματος του υποτιθέμενου υποστυλώματος. Για τον υπολογισμό της περισφίξεως (παράγραφος 4.4.2) θα λαμβάνεται υπόψη για κάθε άκρο τοιχώματος ενεργή αξονική δύναμη ίση με:

όπου:
Ζ η απόσταση των κέντρων των περισφιγμένων άκρων.
Εκτός κρισίμων περιοχών (και εφ' όλου του ύψους) ή και σε τοιχώματα χωρίς αυξημένες απαιτήσεις πλαστιμότητας συνιστάται όπως γίνεται διαμόρφωση ακραίων υποστυλωμάτων με διαμήκεις και εγκάρσιους οπλισμούς σύμφωνα με τις παραγράφους 4.3 και 4.4.1 αντιστοίχως.
5.4. Διασταυρούμενα τοιχώματα
Στις περιπτώσεις που υπάρχουν πέλματα στα άκρα των τοιχωμάτων που έχουν ληφθεί υπόψη στον σχεδιασμό πρέπει η διαμόρφωση των ακραίων υποστυλωμάτων που προβλέπεται για το άκρο του τοιχώματος να επεκτείνεται εφ' όλου του συνεργαζόμενου πλάτους του πέλματος εφόσον η ανηγμένη θλιπτική παραμόρφωση σκυροδέματος στο πέλμα είναι μεγαλύτερη από 0.2%.
Η σύνδεση τοιχώματος - πέλματος πρέπει να ελέγχεται για διαμήκη τέμνουσα δύναμη σύμφωνα με την παράγραφο 11.3.
5.5. Ενώσεις κατακόρυφων ράβδων κορμού τοιχωμάτων
Πρέπει να αποφεύγεται η ένωση των κατακόρυφων ράβδων με υπερκάλυψη στην κρίσιμη περιοχή τοιχώματος με αυξημένες απαιτήσεις πλαστιμότητας. Αν αυτό δεν είναι δυνατόν, επιτρέπεται ένωση του 33% των κατακόρυφων ράβδων ή και του 100% των κατακόρυφων ράβδων, με συντελεστή α1 κατά την σχέση (17.3) ίσο με 1.4 ή 2.0, αντιστοίχως. Δύο ενώσεις θεωρούνται ότι γίνονται στην ίδια θέση όταν απέχουν, στην κατακόρυφη διεύθυνση, απόσταση μικρότερη από 1.5 φορές το μήκος υπερκάλυψης.
5.6. Οριζόντιοι οπλισμοί κορμού τοιχωμάτων
Οι οριζόντιοι οπλισμοί κορμού θα τοποθετούνται προς την εξωτερική πλευρά του τοιχώματος και θα αγκυρώνονται κατάλληλα. Η ελάχιστη διάμετρος του οριζόντιου οπλισμού τοιχώματος είναι 8 mm. Οι απαιτήσεις για το ελάχιστο ποσοστό τους, τη μέγιστη διάμετρο τους και τις μέγιστες αποστάσεις τους είναι ίδιες με τις αντίστοιχες του κατακόρυφου οπλισμού κορμού του τοιχώματος μεταξύ των ακραίων περιοχών.
Δεν επιτρέπεται η χρήση λείων χαλύβων ως οριζόντιων οπλισμών τοιχωμάτων.
5.7. Αρμοί διακοπής εργασίας τοιχωμάτων
Στους αρμούς διακοπής εργασίας, το ποσοστό κατακόρυφου οπλισμού πρέπει να είναι αρκετό για να αντικαταστήσει όλη την αντοχή του σκυροδέματος, δίνεται δε από τη σχέση:
(18.9)
όπου As,tot περιλαμβάνει και τον κατακόρυφο οπλισμό των ακραίων στοιχείων,το Ag είναι η ευρύτερη περιοχή της συνεργαζόμενης διατομής, συμπεριλαμβανομένων και των συνοριακών στοιχείων, και NSd η ελάχιστη θλιπτική δύναμη του τοιχώματος, θεωρούμενη θετική για θλίψη.
5.8. Ανοίγματα σε τοιχώματα
Τυχόν ανοίγματα σε τοιχώματα πρέπει να έχουν κατάλληλη διάταξη και μικρή συνολική επιφάνεια, ώστε να μην παρεμποδίζουν την καμπτική και διατμητική λειτουργία του τοιχώματος. Τα ανοίγματα λαμβάνονται υποχρεωτικώς υπόψη κατά τον έλεγχο του τοιχώματος έναντι διάτμησης. Γενικώς απαιτείται η τοποθέτηση πρόσθετων οπλισμών γύρω από το άνοιγμα.
Ειδικότερα στα οριζόντια στοιχεία σύνδεσης συζευγμένων τοιχωμάτων με αυξημένες απαιτήσεις πλαστιμότητας που χωρίζονται με μια ή περισσότερες στήλες ανοιγμάτων, έτσι ώστε l/h≤3, ολόκληρη η ένταση σεισμού (τέμνουσα και ροπή) παραλαμβάνεται με κατάλληλους δισδιαγώνιους οπλισμούς, εκτός εάν ισχύουν οι σχέσεις (18.10) και (18.11):
(18.10)
(18.11)
όπου l, h και ρ = ρ' το μήκος, το ύψος και το ποσοστό οπλισμού κάμψης των οριζόντιων στοιχείων σύνδεσης.
Οι δισδιαγώνιοι οπλισμοί πρέπει να περιβάλλονται από συνδετήρες ή σπείρες με αποστάσεις ή βήματα όχι μεγαλύτερα από 100 mm. Το μήκος αγκύρωσης των δισδιαγώνιων οπλισμών θα είναι αυξημένο κατά 50%.
Οι οριζόντιοι οπλισμοί θα υπολογίζονται για τη ροπή κάμψης για όλες τις μη σεισμικές δράσεις και θα είναι τουλάχιστον 2Φ16 (S400, S500), άνω και κάτω.
Επίσης, σε κάθε παρειά τοποθετούνται διαμήκεις ράβδοι Φ10/200 mm (S400, S500). Το σύνολο περιβάλλεται με κλειστούς συνδετήρες Φ10/200 mm.
Σε αυτές τις περιπτώσεις δεν απαιτείται έλεγχος των VRd2 και VRd3 (Κεφάλαιο 11).
6. Στοιχεία θεμελιώσεως
6.1. Περιμετρικά τοιχεία υπογείων
Το ελάχιστο πάχος των στοιχείων αυτών είναι γενικώς 200 mm.
Οι οπλισμοί πρέπει να είναι υψηλής συνάφειας και να σχηματίζουν δύο εσχάρες, μία κοντά σε κάθε όψη του τοιχείου, οι οποίες να συνδέονται με εγκάρσιο σιγμοειδή οπλισμό τουλάχιστον 4Φ8/m2. Το ποσοστό του κατακόρυφου και του οριζόντιου οπλισμού δεν μπορεί να είναι μικρότερο από 0.002 για κάθε κατεύθυνση. Σε κάθε εσχάρα, η απόσταση δύο γειτονικών ράβδων κατακόρυφων ή οριζόντιων θα είναι s ≤ 200 mm. Η μέγιστη διάμετρος όλων των ράβδων δεν μπορεί να υπερβαίνει το 1/10 του πάχους του τοιχώματος. Η ελάχιστη διάμετρος των ράβδων, σε περίπτωση χρησιμοποίησης δομικών πλεγμάτων, είναι 5 ή 6 mm, για κατηγορία περιβάλλοντος 1/2 ή 3/4 αντιστοίχως (παράγραφος 5.1).
Σε περιπτώσεις ελεύθερων άκρων τοιχωμάτων, θα γίνεται διαμόρφωση κρυφο-υποστυλωμάτων.
Τα πέδιλα των τοιχείων υπογείου, εάν δεν αποτελούν στοιχεία γενικότερης θεμελίωσης υποστυλωμάτων και τοιχωμάτων, θα έχουν πλάτος τουλάχιστον 3 bw ή 600 mm και ύψος τουλάχιστον 1.5 bw ή 300 mm, και θα οπλίζονται με εσχάρα οπλισμού min. Φ12 (S400 ή S500) ανά max. 150 mm.
6.2. Πέδιλα υποστυλωμάτων / τοιχωμάτων
Το ελάχιστο πλάτος και ύψος πεδίλου είναι ίσο με bmin, hmin ≥ 0.70 m.
Σε περιπτώσεις μεμονωμένων πεδίλων σταθερού ύψους, το ελάχιστο επιτρεπόμενο ύψος είναι 0.50 m.
Η όπλιση των πεδίλων γίνεται με ελάχιστο οπλισμό κάμψης σύμφωνα με την παράγραφο 1.4.1 περί πλακών και τουλάχιστον με εσχάρες min. Φ12 (S400 ή S500) ανά max. 150 mm.
6.3. Συνδετήριες δοκοί
Το κάτω πέλμα των συνδετήριων δοκών θα διατάσσεται σε στάθμη κάτω από τον την άνω στάθμη των πεδίλων.
Η διατομή σκυροδέματος και ο συνολικός οπλισμός των συνδετήριων δοκών θα υπολογίζεται έτσι ώστε να αναλαμβάνεται ασφαλώς αξονικό φορτίο ίσο με το φορτίο που προσδιορίζεται από την παράγραφο 5.2.4.2 του Ελληνικού Αντισεισμικού Κανονισμού.
Οι ελάχιστες διαστάσεις και ο ελάχιστος οπλισμός των συνδετήριων δοκών είναι:
Για n≤3
0.25/0.40 m, 0.4% άνω και 0.4% κάτω ή min 3+3Φ14 (S400 ή S500), συνδετήρες Φ10/200
Για n≥4
0.25/0.60 m, 0.4% άνω και 0.4% κάτω ή min 3+3Φ16 (S400 ή S500), συνδετήρες Φ10/150
όπου n ο αριθμός ορόφων πέραν του τυχόν υπάρχοντος υπογείου (ή υπογείων).
Συνδετήριες δοκοί που προβλέπονται από την παράγραφο 5.2.4.2 του Ελληνικού Αντισεισμικού Κανονισμού επιτρέπεται να αντικαθίστανται με ενιαία πλάκα, το πάχος της οποίας πρέπει να είναι τουλάχιστον 0.20 m, στη άνω στάθμη των πεδίλων.
Ο ελάχιστος οπλισμός της πλάκας θα αποτελείται αφενός από δύο εσχάρες οπλισμού Φ10 (S400, S500) ανά 0.20 m στο άνω και κάτω πέλμα και αφετέρου από τον οπλισμό που θα απαιτείτο στις θέσεις των αντίστοιχων συνδετήριων δοκών που παραλείπονται.
6.4. Πεδιλοδοκοί
Για το πλάτος και ύψος των πεδιλοδοκών, ισχύουν οι ελάχιστες απαιτήσεις των περιμετρικών τοιχίων υπογείων (βλέπε παράγραφο 6.1).
Για τις πεδιλοδοκούς ισχύουν οι ελάχιστες απαιτήσεις που ισχύουν για συνδετήριες δοκούς. Επιπροσθέτως συνιστάται όπως διατάσσεται πρόσθετος καθ' ύψος οπλισμός για έλεγχο της ρηγμάτωσης (παράγραφος 15.5).