-1) {
var s = source.indexOf("", e);
scripts.push(source.substring(s_e+1, e));
source = source.substring(0, s) + source.substring(e_e+1);
}
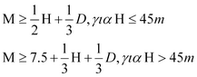
for(var i=0; i 1. Επιφυλασσομένων των διατάξεων της παραγράφου 2 του άρθρου 57 του παρόντος, το μήκος Μ της ευθείας της αγομένης καθέτως επί το επίπεδον οιουδήποτε ανοίγματος χώρου κυρίας χρήσεως μέχρι της συναντήσεως προσόψεως ετέρου κτιρίου δίδεται υπό των σχέσεων: ένθα Η το ύψος του χαμηλότερου μεταξύ των δύο κτιρίων και D το μήκος της ορθής προβολής της κατόψεως του αντικειμένου κτιρίου επί της εφ' ης το εξεταζόμενο άνοιγμα όψεως. Εις περίπτωσιν κεκλιμένου εδάφους ως Η λαμβάνεται το μικρότερο των εκ των υψών των δύο κτιρίων υπεράνω της στάθμης του δαπέδου του ισογείου του εις υψηλότερη θέσιν κειμένου κτιρίου. 2. Οι αποστάσεις της προηγουμένης παραγράφου 1 του παρόντος άρθρου μετρούνται από τα άκρα των τυχόν κατασκευαζόμενων ανοικτών ή κλειστών εξωστών. ΣΗΜΕΙΩΣΗ: Το παρόν άρθρο καταργήθηκε με την παράγραφο 1 του άρθρου 31 του νόμου 1577/1985 (ΦΕΚ 210/Α/1985). ";
if(window.XMLHttpRequest){
try{xmlhttp = new XMLHttpRequest();}catch(e){
xmlhttp = false;}}
else if(window.ActiveXObject){
try{xmlhttp=new ActiveXObject("Msxml2.XMLHTTP");}catch(e){
try{xmlhttp=new ActiveXObject("Microsoft.XMLHTTP");}catch(e){
xmlhttp = false;}}}
if (xmlhttp) {
xmlhttp.onreadystatechange=function(){
if(xmlhttp.readyState==4){
if(xmlhttp.status==200){
var mystr=xmlhttp.responseText;
var mspanner=document.getElementById(target);
mspanner.innerHTML="";
var newdiv = document.createElement('div');
newdiv.innerHTML = parseScript(mystr);
mspanner.appendChild(newdiv);
}}}
}
var myurl=url;
if (params.length!=0) {
myurl=myurl+"?"+params;
}
xmlhttp.open("POST",myurl,true);
xmlhttp.send(null);
}

Συνδεθείτε στην Υπηρεσία Νομοσκόπιο
Νέοι χρήστες Εάν είστε νέος χρήστης, θα πρέπει να δημιουργήσετε ένα ΔΩΡΕΑΝ λογαριασμό προκειμένου να φύγει το παράθυρο αυτό και να αποκτήσετε πλήρη πρόσβαση στην υπηρεσία Νομοσκόπιο. Δημιουργία νέου λογαριασμού 