| Συνδεθείτε στην Υπηρεσία Νομοσκόπιο | | | | | Νέοι χρήστες | | Εάν είστε νέος χρήστης, θα πρέπει να δημιουργήσετε ένα ΔΩΡΕΑΝ λογαριασμό προκειμένου να φύγει το παράθυρο αυτό και να αποκτήσετε πλήρη πρόσβαση στην υπηρεσία Νομοσκόπιο. | | Δημιουργία νέου λογαριασμού | | |
1. Η αμοιβή Α για την εκπόνηση των μελετών που αναφέρονται στο άρθρο 1 κατηγοριών έργων και εργασιών καθορίζεται κατά τμήματα και κεφάλαια του παρόντος με έναν από τους ακόλουθους τρόπους:
α. Σε ποσοστά επί τοις εκατό του προϋπολογισμού (Σ) των έργων που μελετώνται που υπολογίζονται βάσει τύπου.
β. Κατά μονάδα έργου (π.χ. km οδού, στρέμμα επιφάνειας κ.λ.π.) με βάση τιμές μονάδας.
γ. Κατ' αποκοπή ή ανάλογα με το χρόνο απασχόλησης.
δ. Κατά ειδικό τρόπο που καθορίζεται στις επιμέρους διατάξεις του παρόντος.
2. Οι αμοιβές Α για τις μελέτες, που υπολογίζονται με βάση τον προϋπολογισμό του έργου (εδάφιο α της παραγράφου 1 του παρόντος άρθρου), προκύπτουν από τον τύπο:

όπου:
Σ: Ο προϋπολογισμός κάθε έργου υπολογιζόμενος σύμφωνα με τα αναφερόμενα στο άρθρο 3.
β: Συντελεστής που υπολογίζεται σύμφωνα με την παραγράφου 4 του παρόντος άρθρου και τα οικεία άρθρα για κάθε κατηγορίας έργων.
λ: Ο συντελεστής του άρθρου 4 παραγράφου 2 στη χρονική περίοδο t σύνταξης του προϋπολογισμού του τελευταίου σταδίου της μελέτης ή της εργασίας που έχει ανατεθεί.
λ': Ο συντελεστής του άρθρου 4 παραγράφου 2 στη χρονική περίοδο t έγκρισης του προϋπολογισμού του τελευταίου σταδίου της μελέτης ή της εργασίας που έχει ανατεθεί.
3. Οι αμοιβές Α για τις υπόλοιπες κατηγορίες μελετών της παραγράφου 1 του παρόντος άρθρου (εδάφια β, γ και δ, που αμείβονται με καθορισμένες τιμές μονάδας, προκύπτουν από τον τύπο:

όπου:
Τ: Οι βασικές τιμές μονάδας αμοιβής, που καθορίζονται από τα οικεία κατά περίπτωση άρθρα του παρόντος διατάγματος.
λ: Ο καθοριζόμενος από το άρθρο 4, παραγράφου 2 του παρόντος διατάγματος συντελεστής, που αντιστοιχεί στην χρονική περίοδο t έγκρισης του τελευταίου σταδίου της μελέτης ή της εργασίας που έχει ανατεθεί.
4. Ο συντελεστής β που υπεισέρχεται στον τύπο υπολογισμού της αμοιβής του αντίστοιχου έργου (παραγράφου 1 του παρόντος άρθρου) υπολογίζεται με βάση τον τύπο:

όπου:
Σ: Ο ολικός προϋπολογισμός κάθε έργου στη χρονική περίοδο t σύνταξης του προϋπολογισμού της μελέτης.
κ και μ: Συντελεστής που προβλέπονται για κάθε κατηγορία έργων.
λ: Ο συντελεστής του άρθρου 4 παράγραφος 2 στη χρονική περίοδο t σύνταξης του προϋπολογισμού της μελέτης.
Ο συντελεστής β στρογγυλεύεται πάντα στο δεύτερο δεκαδικό ψηφίο.
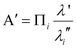
5. Σε περίπτωση προκαταβολών ή πληρωμής ενδιάμεσων σταδίων τα αντίστοιχα καταβληθέντα ποσά (Πι, ι = 1, 2, κ.λ.π.) αφαιρούνται από την τελική αμοιβή Α ως ανωτέρω (παραγράφου 2 και 3 του παρόντος) που αναθεωρούνται ως εξής:

όπου:
Πι: Η συγκεκριμένη προκαταβολή, η πληρωμή ενδιαμέσου σταδίου.
λ': Ο συντελεστής του άρθρου 4, παράγραφος 2 στη χρονική περίοδο έγκρισης του προϋπολογισμού Σ.
λι'': Ο συντελεστής του άρθρου 4, παράγραφος 2 στη χρονική περίοδο πληρωμής του ποσού Πι.
Οπότε η πέραν των προκαταβολών ή πληρωμών ενδιάμεσων σταδίων καταβαλλομένη αμοιβή υπολογίζεται ως εξής;
